升值潜力上大华公园柏翠售楼处电话:400-8894-638
2024年9月14日上海迎来第五批次土地出让,备受关注的 “大宁灵石社区地块”, 成交楼板价约68280元/㎡,刷新大宁板块纪录,除去办公,保守估计产品入市均价在 12-13万/㎡, 甚至有说高达16万/㎡。
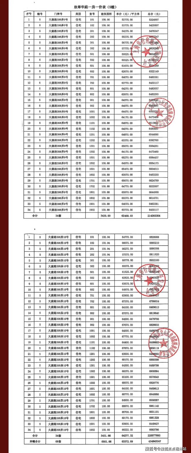
内行人看门道,大宁土地价值再次得到印证和提升,接下来买到核芯地段、品质新房的门槛将大幅度的提高,而位处 大宁之上 ,距新地块咫尺距离的 大华·公园柏翠,四批次均价约6.24万/㎡,
居住属性上大华公园柏翠售楼处电话:400-8894-638
“即使不做运动,只是在公园待上二十分钟,也能让自身状态更佳。”
这是《国际环境健康杂志》提出的“二十分钟公园效应”,可见自然对于人类的重要性。
在寸金寸土的城市里,公园变得愈发弥足珍贵。
公园是生活的自然入口,它诠释着都市人对于自然栖居的梦想,是人与人产生链接的重要场所,更是身心安顿的自然空间。
公园是天然的健康磁场,1棵树每天约能产生15kg鲜氧、1平米草地每天能制造约0.9kg鲜氧,并能降低7-8分贝噪音。一座公园,等同于一个造氧、静音、调节温湿度的「天然氧吧」。
公园是永恒的财富价值,从伦敦的海德公园(公园资产最高约合15.6亿人民币/套),到纽约的曼哈顿中央公园(公园资产最高约合16.5亿人民币/套),再到日本新宿的御苑(公园资产单价约6万人民币/㎡),公园旁一直都是豪宅诞生最密集的地方。
大华公园柏翠 ,因其约 2公里范围内拥有总量约80万方的生态公园 (相当于2个长风公园)而火爆于市场,成为公园生活的理想。
其中,包含一个千亩绿境,是家门口的生态绿境,可以随时随地亲近自然。
以及,4大城市公园。例如,约3万方庙行公园、约4.2万方共和公园、约2.7万方三泉公园以及约9.3万方彭浦四季公园, 居住在此,可以尽情的享受公园生活。大华公园柏翠售楼处电话:400-8894-638

(示意图,数据来源于网络)
项目凭借天然大氧吧旁,板块的价值、低密的规划以及轻奢的品质,都是爆火市场的理由。大华公园柏翠售楼处电话:400-8894-638

收官房源开盘热卖中!
164套建面约101-142m²3-4房
过会均价65327元/m²,总价520万起
124㎡户型已售罄大华公园柏翠售楼处电话:400-8894-638




大华公园柏翠售楼处电话:400-8894-638



