海上清和玺
海上清和玺售楼处电话:400-8894-638☑☑☑
海上清和玺售楼处电话:400-8894-638【预约热线】
海上清和玺售楼处电话:400-8894-638<官方24小时热线>
海上清和玺售楼处电话:400-8894-638@售楼处最新电话热线
海上清和玺售楼处电话:400-8894-638〖售楼处欢迎您的光临〗
海上清和玺售楼处电话:400-8894-638☏☏☏(一对一解答,欢迎您的咨询)
海上清和玺售楼处电话:400-8894-638(如有问题欢迎来电咨询,专业一对一热情服务,让您用专业眼光去买房。)
海上清和玺售楼处电话:400-8894-638☑☑☑
海上清和玺售楼处电话:400-8894-638【预约热线】
编辑

海上清和玺售楼处电话:400-8894-638☑☑☑
海上清和玺售楼处电话:400-8894-638【预约热线】
小区楼栋与户型分布
编辑

首期户型图如下:
编辑

海上清和玺售楼处电话:400-8894-638☑☑☑
海上清和玺售楼处电话:400-8894-638【预约热线】
编辑

售楼处及样板间实景
编辑

编辑

海上清和玺售楼处电话:400-8894-638☑☑☑
海上清和玺售楼处电话:400-8894-638【预约热线】
观家地产获悉,样板房这次开放了约112㎡和134㎡两个户型,也是首开房源的主流户型。
海上清和玺售楼处电话:400-8894-638☑☑☑
海上清和玺售楼处电话:400-8894-638【预约热线】
从百年底蕴到滨江规划潮头,站位1英里徐汇滨江的时代宝地,海上·清和玺未来的发展潜力,不容小觑。
编辑

交通配套:距离15号线罗秀路站约1.2公里,步行不算近,但是也能接受。
海上清和玺售楼处电话:400-8894-638☑☑☑
海上清和玺售楼处电话:400-8894-638【预约热线】
编辑

海上清和玺售楼处电话:400-8894-638☑☑☑
海上清和玺售楼处电话:400-8894-638【预约热线】
自驾方面,约800米即可上中环,距离龙吴路、上中路隧道、外环直线距离约1公里,距离虹梅南路、沪闵高架路也仅约2公里。因此,不仅是浦西,去浦东也很方便。
编辑

海上清和玺售楼处电话:400-8894-638☑☑☑
海上清和玺售楼处电话:400-8894-638【预约热线】
商业配套:项目2公里内有凌云壹街坊、百安居、东阔生活广场、规划了北杨人工智能小镇。
编辑

教育配套:海上·清和玺除了位居徐汇滨江一英里的板块之上,项目正处在徐汇文教区的核心,名牌高校、重点中学不胜枚举,上海交通大学、华东理工大学、上海音乐学院等落址于此。
海上清和玺售楼处电话:400-8894-638☑☑☑
海上清和玺售楼处电话:400-8894-638【预约热线】
优质教育资源密集且近距离地环绕在项目四周,让海上·清和玺的教育配套水准达到了全市少见的程度。
编辑

距上海“四校”之首的百年名校——上海中学直线距离仅约320米;距园南中学直线距离约650米,该校近年来中考升学成绩在徐汇区排于前列,连续三年中考区内公办第一;距公办二梯队小学园南小学直线距离约400米,对口初中即为实力不俗的园南中学;距九年一贯制上汇实验学校直线距离约500米,虽为成立于2021的新校,但作为上海中学的“亲孙子”,其影响力早已扩张开来。
海上清和玺售楼处电话:400-8894-638☑☑☑
海上清和玺售楼处电话:400-8894-638【预约热线】
而且据悉,附近的长桥第二小学即将被口碑优秀的上海小学合并,由上海小学同一管理,无疑是板块内教育配套的有一次重要升级!
编辑

(仅为介绍周边教育资源,不作为开发商对购房人家庭及相关未成年人的入学承诺。入学政策以政府教育主管部门及校方的最新政策为准。)
休闲配套:距离上海植物园直线距离约1.3公里。
编辑

海上清和玺售楼处电话:400-8894-638☑☑☑
海上清和玺售楼处电话:400-8894-638【预约热线】
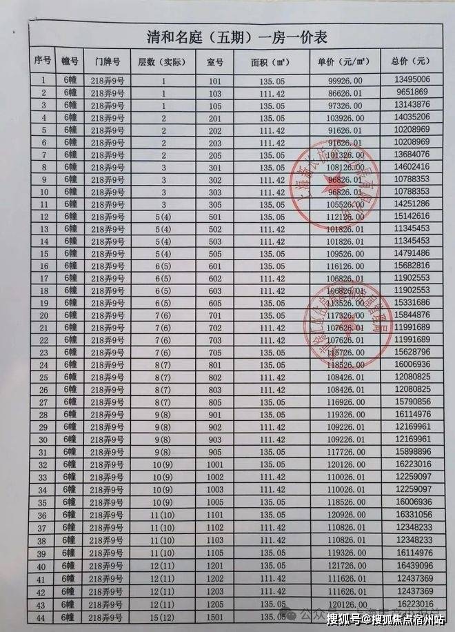
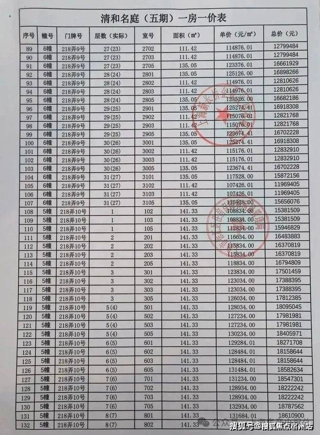
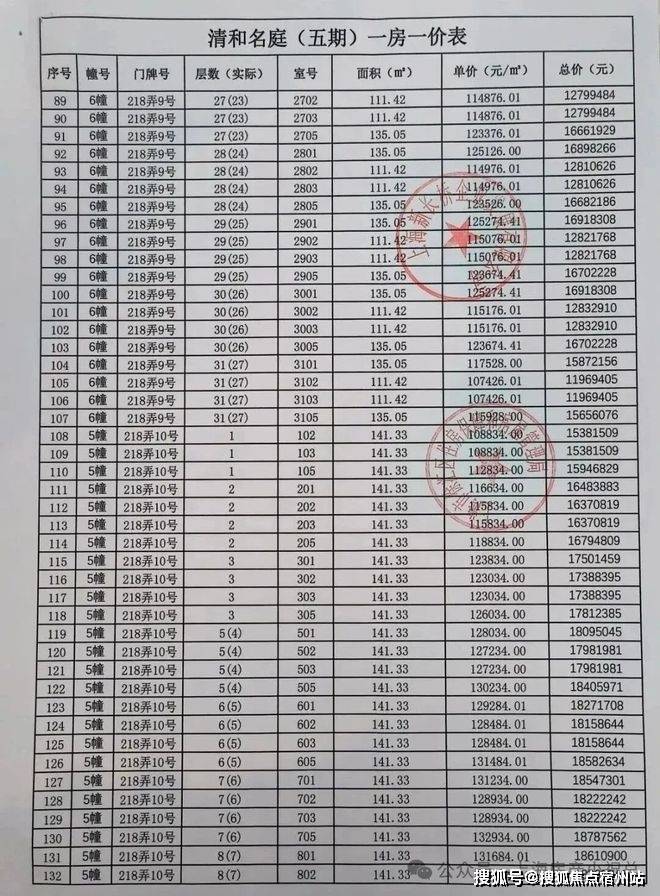
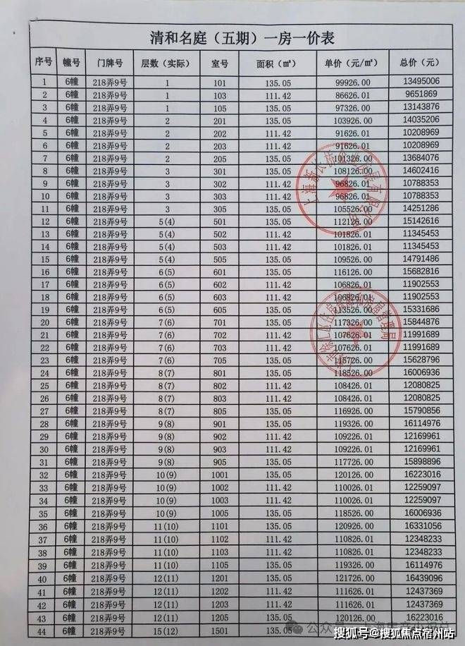
最新一房一价表公示 :
编辑

编辑

海上清和玺售楼处电话:400-8894-638☑☑☑
海上清和玺售楼处电话:400-8894-638【预约热线】
编辑

编辑

海上清和玺售楼处电话:400-8894-638☑☑☑
海上清和玺售楼处电话:400-8894-638【预约热线】
编辑

为了方便居民升级住房,改善居住条件,上海还推出了旧换新政策,内容如下:在一年内出售外环内2000年前竣工、建筑面积在70平及以下的唯一住房,并购买外环外一手住房的居民家庭,可以向购入一手住房所在区房地产交易中心申请补贴。建筑面积30平以下,每套补贴标准2万元;住房建筑面积30~50平,每套补贴标准2.5万元;住房建筑面积50~70平,每套补贴标准3万元。在办理新购一手住房不动产权证后领取补贴。
海上清和玺售楼处电话:400-8894-638☑☑☑
海上清和玺售楼处电话:400-8894-638【预约热线】