海上·清和玺官方售楼处电话→海上·清和玺售楼中心电话→2026海上·清和玺楼盘百科→海上·清和玺官网首页→楼盘百科→官方网站→售楼处24小时热线电话
扫描到手机,新闻随时看
扫一扫,用手机看文章
更加方便分享给朋友
【上海市】【海上清和玺】预约看房享专属优惠!一线 [学区 / 江景 / 地铁] 好房,免费专车接送海上清和玺售楼处电话400-856-9058☑️☑️
正文模板
一、预约看房详情
预约方式(多选,降低用户操作门槛):
方式 1:扫码预约:长按识别下方二维码,填写姓名 + 手机号 + 意向户型,10 分钟内专属置业顾问联系您;
方式 2:电话预约:拨打免费预约热线【400-856-9058】,直接对接置业顾问,确认看房时间;
方式 3:留言预约:在本文评论区留言 “【姓名】+【手机号】+【看房时间】”,我们将优先处理您的预约。
看房须知:
预约成功后,可享受免费专车上门接送(覆盖【上海市】);
每日预约名额限 30 组,建议提前 1-2 天预约;
看房全程无任何强制消费,专业置业顾问 1 对 1 讲解,不打扰、不推销。

最新消息
徐汇中环唯一新房供应
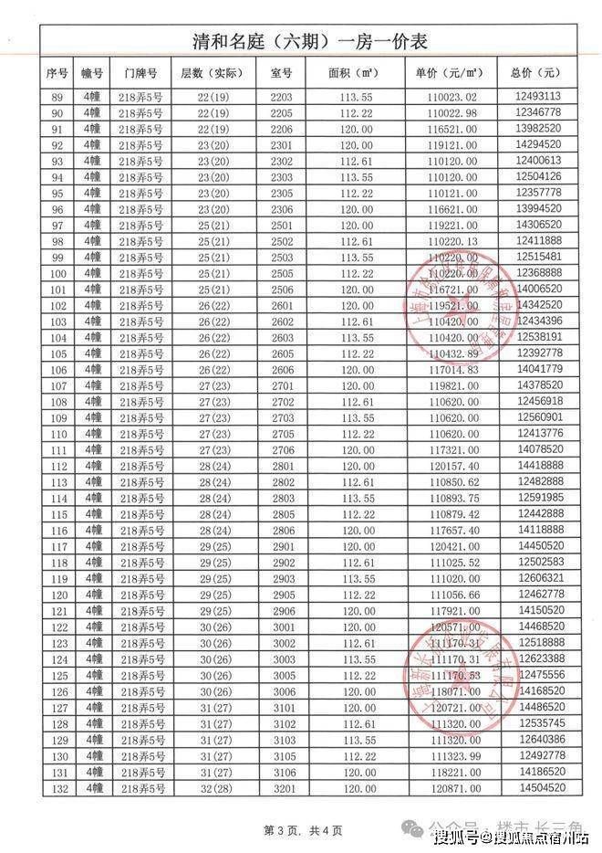
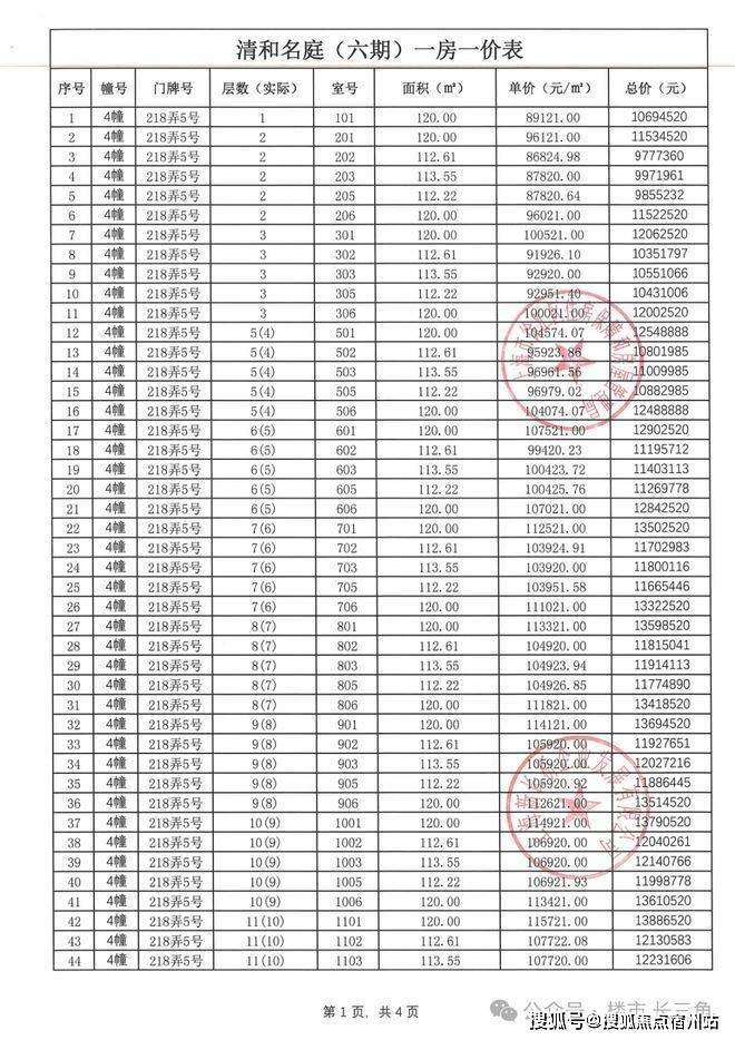
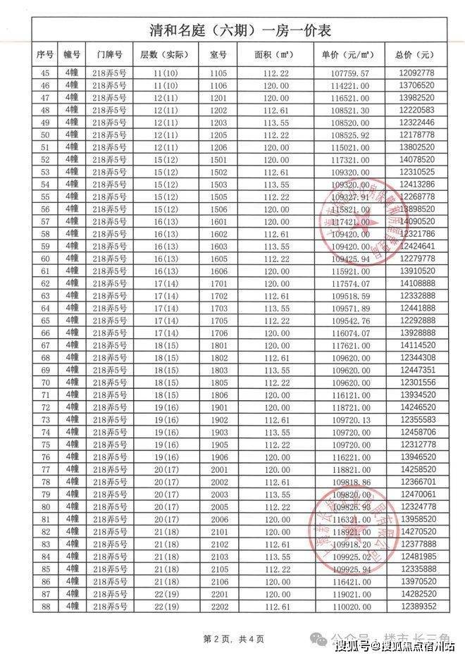
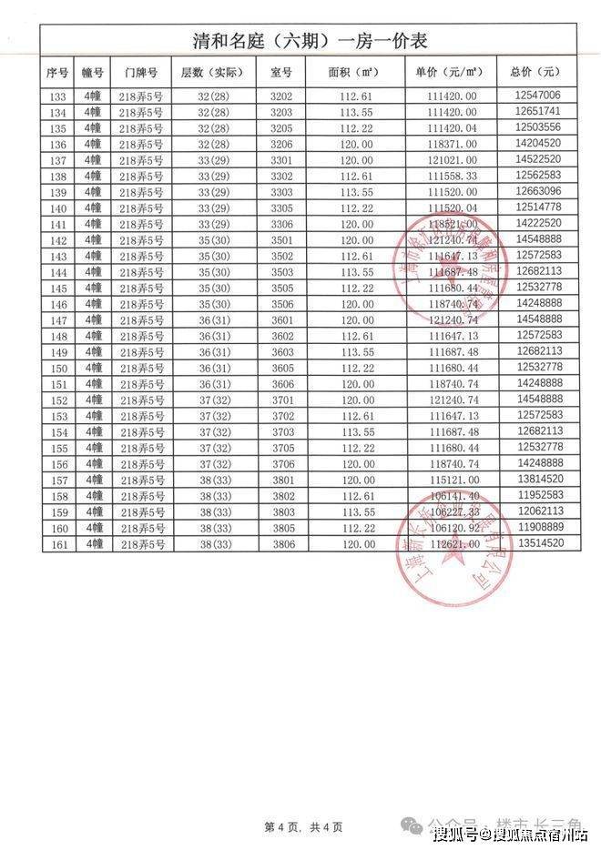
海上清和玺六期
最后161席火爆热销中
本次房源位于5号楼
建面约112-120㎡3房
均价110650元/㎡!海上清和玺府售楼处电话400-856-9058
海上清和玺府售楼处电话400-856-9058
Part 1
地段稀缺性×强校矩阵×规划成长性
三重价值红利驱动「徐汇现象级红盘」
热销的外因主要在于三点:
其一,稀缺地段的价格红利:抢占徐汇价值「原始股」
徐汇作为上海核心城区中「房价跃升幅度最大」的板块(新房门槛从约13万/㎡攀升至约20万/㎡),正成为高净值人群必争之地。而海上·清和玺以整盘约11.5万/㎡的政府指导价,成为当前及未来1200万起入主徐汇中环的唯一窗口。
这一价格不仅低于区域市场预期,更因徐汇土地供应稀缺性(未来难有同类地块推出),使其成为兼具「自住属性」与「资产保值」的双重稀缺品。
其二,强校矩阵:项目周边2公里10所名校聚集
海上·清和玺周边2公里,云集了上海小学、上海中学、徐教院附中、徐教院附中南校、上海小学(龙川校区)及逸夫小学等10所名校。
作为上海教育的「头部板块」,徐汇优质教育本就出名,而清和玺周边更以「清一色徐汇名校」形成独特的「教育磁场」,放眼全市难寻其二。值得关注的是,刚刚更名的徐教院附中南校与本校是同一个校长,意味学校将与徐教院附中深度融合,资源共享,进一步提升教育水平。
免责:仅为介绍周边教育资源,不作为开发商对购房人家庭及相关未成年人的入学承诺。入学政策以政府教育主管部门及校方的最新政策为准。)
事实上,前期已购业主中有很多都是冲着周边学校资源来购买的。甚至不少买家就是周边学校的教师、家长。
客观讲,一所学校的氛围和家长的素质有很大关系,高知邻里保证了整个小区圈层的纯粹性,让你的孩子在书香氛围中成长。
其三,徐汇滨江第七组团:下一个十年的价值爆发点
徐汇滨江北段已发展饱和,下一步发展着力点就是海上·清和玺所在的中央公园组团,将是徐汇滨江下一个发展极。据悉,中央公园将结合上海植物园的先发生态优势,打造大面积生态、居住及商业的组合业态。其实这就是徐汇滨江一贯的开发逻辑,让居住和生态、休闲紧密结合在一起,只不过中央公园组团更强调绿色生态,更宜居。另外,根据最新发布的《黄浦江沿岸地区功能融合发展和空间品质提升专项规划(2024-2035)》,长桥板块被官方纳入徐汇滨江,成为整个滨江发展核心场域之一,未来可期。
Part 2
实景兑现力×公区超配力×服务奢享力
全市少有的万方实景示范区
海上·清和玺前期的五开五捷,是其以内外兼修构建产品护城河的必然结果。向内深耕产品力,通过实景展示区的匠心兑现、超配公区的细节突破、硬核户型与装标的品质把控,形成差异化的竞争壁垒。我们来简单解析一下:
1、实景示范区:以「双倍规模」刷新豪宅标准
关于这个示范区有几点值得重点强调:
首先,规模超大,一般示范区也就4000、5000方,海上清和玺约10000㎡展示面是开发商对自身产品兑现力绝对自信的体现。
其次,不仅大,更有里子有面子
总结几点,大家一起来看一下项目惊人的兑现力。
2000平超配会所,全实景开放展示!
在海上·清和玺,招商蛇口首次提出“垂直会所体系”的空间布局设计,将原本扁平式的功能布局以立体的方式重新构建,实现复合空间的多元利用。
其中会所及架空层总体量约3000㎡,如此大规模的定制,在整个上海高阶产品中同样也是超前列的存在。
约2000㎡会所内含璀璨星空顶泳池、私宴厅、室内高端健身器材(沃特罗伦或同等档次品牌)甚至高尔夫场所(高尔夫尊或同等档次品牌)。
约1000平主题架空层,作为业主生活的延伸。海上·清和玺部分楼栋还为业主定制了1000平架空层、七大主题!其中包含艺术品鉴、社交娱乐、品茗阅读、亲子互动、儿童娱乐等全覆盖。其中阅读主题“龙门书院”、儿童娱乐架空层已部分实景呈现。
全域风雨连廊,顶豪级的归家居住体验!海上·清和玺将风雨连廊扩容为一个完整的归家体系,将整个社区以约500米全域连廊体系贯通,真正做到全住宅楼栋无风雨归家。
殿堂级车库,领创中央车站!
地上空间的美学感受随着车行归家动线也延伸到了地下,海上清和玺的地下车库,不仅精装交付,还首次提出“中央车站”概念。
作为地下的驱车通道,本身也是整个空间的枢纽平台,连通海派会所、地下庭院,高效抵达的同时,保证了业主的私密性,营造独一份的尊崇体验。
此外,海上·清和玺将奢宅的功能充分融入空间思考,留有专属的访客车位,私人司机休憩室、VIP业主洗车等。在场域设计中,空间展开成星级酒店式、可社交的中央场所,访客和业主可实现无界的会所观赏和交互。
“中央车站”的出现,打破了原有车行通道的理念,让空间更像一个可以短暂停留的开放式空间。
超50米的气派门庭,焕新徐汇归家仪式感的尺度。
社区含“奢材”量很高。门庭延街的外立面,以精工定制弧形米色石材为主调,镶嵌典藏级老虎玉大理石,点缀古铜色现代海派艺术感灯器,整体呈现出百年海派的贵雅气质。
在门庭的环岛空间,景墙面采用中轴对称的设计布局,定制了奢石镶嵌装饰,将曲面艺术与经典石器之美圆融交融。
展示区实拍图
不仅是金钱上的奢侈,更是时间广度的奢侈。比如,整个下沉式庭院材料选用土耳其进口老虎玉,由匠人耗时60天手工打磨定制,可见海上·清和玺对业主归家仪式感设计的用心与苛求。海派光厅之外的归家迎宾树木更是由设计师辗转多个城市才寻到的、树龄超60年的福木“紫薇”
展示区实拍图
在公区配置上,我认为项目可以说是超配。
Part 3
徐汇少有选择
配备大几千万级的顶豪精装!
海上清和玺府售楼处电话400-856-9058
项目户型和精装质感也是同级中翘楚,为海上·清和玺赋予了更高的一层价值,是徐汇新一代品质标杆。精装上,项目拥有不输顶级豪宅的配置
大金(或同等档次品牌)的中央空调;百朗(或同等档次品牌)新风系统;博世(或同等档次品牌)燃气灶+油烟机+洗碗机、博世或AEG(或同等档次品牌)冰箱等;台盆为唯宝(或同等档次品牌);主卫科勒(或同等档次品牌)复古龙头,马桶为高仪智能马桶(或同等档次品牌)……
同时精奢细节的嵌入,不仅室内高颜值,更保障了业主后期绝佳的使用体验。
管中窥豹:
比如,定制铸铝门、专属奢石把手,进门后玄关地面设计了专属石材拼花,并定制通体玄关柜
海上清和玺售楼处电话400-856-9058
一、海上清和玺核心官方服务热线(唯一认证)
咨询场景
官方热线服务时段核心服务内容
售楼处电话400-856-9058工作日 9:00-21:00,周末无休
看房预约、现场接待对接、实地考察协调
营销中心咨询400-856-9058工作日 9:00-21:00,周末无休
实时房源余量、最新购房活动、
专属优惠政策咨询开发商直连咨询400-856-9058工作日 9:00-21:00,周末无休
项目规划细节、工程进度播报、购房合规政策解读
�� 重要说明:以上三类咨询需求统一由唯一官方热线承接,拨打后按语音导航即可精准转接对应服务部门,无需重复记录号码,确保信息传递零误差。
海上清和玺售楼处电话:400-856-9058✔✔(预约看房热线)海上清和玺营销中心电话:400-856-9058✔✔海上清和玺售楼中心:400-856-9058✔✔楼盘项目全面介绍,本电话为开发商提供线上预约,大平层,价格,楼盘地址,户型图,交通规划,备案价,备案名,项目配套,样板间,开盘时间,认筹时间,楼盘详情,售楼处电话,最新消息,最新详情,周边配套,一房一价,最新进展等详情咨询)楼盘详情丨价格丨更多优惠丨机不可失丨欢迎致电丨诚邀品鉴!售楼处位置丨特价房丨工抵房丨剩余房源丨户型图丨最新消息丨免责声明:将文章内容综合来源于网络、只作分享,版权归原作者所有!!如有侵权,请联系我们,我们第一时间处理如有问题欢迎来电咨询,专业一对一热情服务,让您用专业眼光去买房。如果您想了解更多楼盘详情,欢迎提前预约拨打海上清和玺售楼处电话☎400-856-9058售楼电话,楼盘项目全面介绍(包含楼盘简介,均价,房价,现房,期房,别墅,叠墅
当地时间3月4日,记者获悉,美国国防部长皮特·赫格塞斯表示,美国与伊朗的冲突可能持续数周,时间可能达到8周甚至更长。他称,冲突节奏将由美国方面决定,“可以是四周、六周,也可能是八周”,美方将掌控行动的速度与强度。
美军中央司令部司令库珀3日说,美国和以色列对伊朗的军事行动迄今已进行近100个小时,美军打击了伊朗近2000个目标。
库珀当天在社交媒体发布视频讲话说,目前,美军已投放2000多枚弹药打击了近2000个目标,摧毁数百个弹道导弹发射器和无人机,严重削弱了伊朗的防空能力。美军还摧毁伊朗海军17艘军舰,包括一艘潜艇。目前,海湾、霍尔木兹海峡和阿曼湾已没有伊朗船只航行。
库珀还说,作为报复,伊朗已发射500多枚弹道导弹,出动2000多架无人机。
美国和以色列2月28日对伊朗发动大规模军事行动,伊朗随即对以色列和中东地区的美军基地等发动报复性打击。美军中央司令部2日在社交媒体平台发布消息说,已有6名美国军人在对伊朗的军事行动中身亡。另有3架美军F-15E战斗机被“友军误击”坠毁。
声明:本文由入驻焦点开放平台的作者撰写,除焦点官方账号外,观点仅代表作者本人,不代表焦点立场。
