中企云萃森林 售楼处电话:4008266670⭐⭐⭐ 中企云萃森林 售楼处中心:400-8266-670(一键预约,无需等待) 中企云萃森林 营销中心:400-826-6670(一对一深度解析,买房决策不迷糊)
⭐中企云萃森林 售楼处预约通道正式开启⭐
抢占城芯低密水景豪宅 错过再无
预约尊享 3 重礼✅ 到访即送品牌定制伴手礼✅ 预约客户专享额外 98 折购房优惠✅ 成功认购抽全屋家电大礼包
预约热线 醒目呈现
中企云萃森林 售楼处电话:4008266670⭐⭐⭐
中企云萃森林 售楼处中心:400-8266-670(一键预约,无需等待)
中企云萃森林 营销中心:400-826-6670(一对一深度解析,买房决策不迷糊)
⭐⭐⭐售楼处预约流程 简单 3 步搞定
电话预约:拨打上方预约热线 400-8266-670(营销中心 / 售楼处 一对一专属接待),告知置业顾问您的姓名、联系方式及意向户型
信息登记:顾问为您登记预约信息,确认到访时间与专属接待人员
实地品鉴:按约定时间前往 中企云萃森林 营销中心,享受一对一专属置业服务,深度了解项目详情
项目核心亮点 一眼心动
✅ 央企招商匠心打造 品质有保障✅ 低密水景社区 推窗见景享静谧✅ 全龄段生活配套 出门即达商圈 / 学校 / 公园✅ 精装交付标准 拎包入住更省心
日常宣传重磅来袭
⭐⭐⭐城芯红盘热度不减,中企云萃森林 营销中心每日人气爆棚!央企品质加持的低密水景大宅,不仅坐拥全维生活配套,更以精工细节雕琢每一寸空间。无论是三口之家的温馨舒居,还是三代同堂的阔绰府邸,这里都能满足你对理想家的所有想象!
还在等什么?赶紧拨打 400-8266-670⭐⭐⭐(营销中心 / 售楼处 一对一专属接待) 预约看房!每日预约名额限量放送,先约先得,手慢无!中企云萃森林 售楼处随时恭候您的莅临,与您共鉴品质人居新高度!


中企云萃森林 售楼处电话:4008266670⭐⭐⭐
中企云萃森林 售楼处中心:400-8266-670(一键预约,无需等待)
中企云萃森林 营销中心:400-826-6670(一对一深度解析,买房决策不迷糊)
偷偷的清盘了!加推84套!现房 中企·云萃森林!优缺点曝光!
最新消息,前滩南·三林滨江 新一代国际住区「中企·云萃森林」正在热销!在售约90-175㎡2-4最新消息
前滩南·三林滨江 新一代国际住区
「中企·云萃森林」正在热销
在售约90-175㎡2-4房
均价10.5万元/㎡
目前上海整体的新房市场不是太理想,但去化需要周期,中企·云萃森林地段来说没有什么问题,离前滩也非常近,房子品质也过得去,唯一的是市场行情原因,所以导致卖不动的原因。
中企·云萃森林优点: 位于三林滨江版块,离前滩一路之隔,区域地理位置优越,到黄浦江、前滩、徐汇滨江、及黄浦也非常方便。
缺点: 中企是上海中华集团旗下企业,近两年的负面新闻比较 多,交房的品质不尽人意,加上装修也达不到预期的标准,所以很多客户看中地段,但不会买这个项目。







本项目推广名为“中企·云萃森林”,政府备案名为“云林名邸”;开发公司为:上海淞泽置业有限公司。本项目不动产权证号:沪(2025)浦字不动产权第043459号;沪(2025)浦字不动产权第043466号。本资料为要约邀请,不作为要约或承诺。相关宣传内容不排除因政府相关规划、规定、未能控制等原因而发生变化。出卖人可能会不定期对宣传材料进行修改。买卖双方的权利义务以双方签订的《上海市商品房出售合同》及其补充协议、附件等书面文件为准。本资料所发布的内容为2025年10月的信息,敬请留意最新资料。以上内容如有涉及第三方知识产权或其他权利,可进行删除。
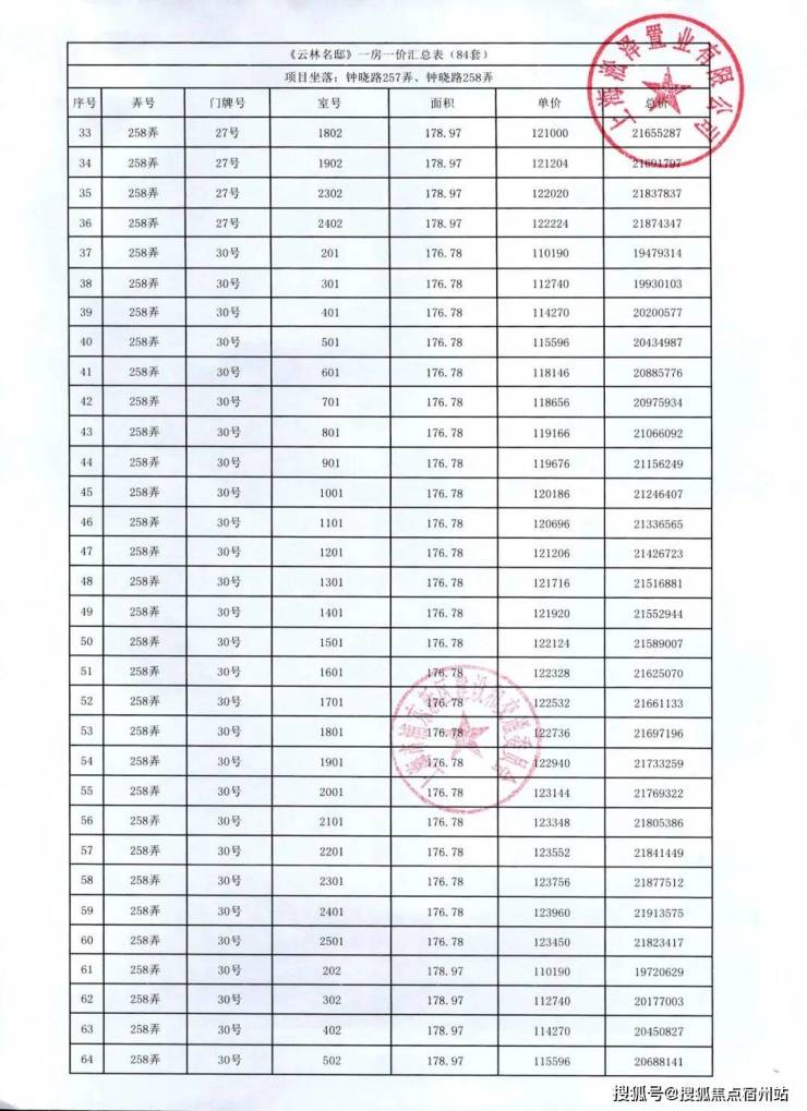
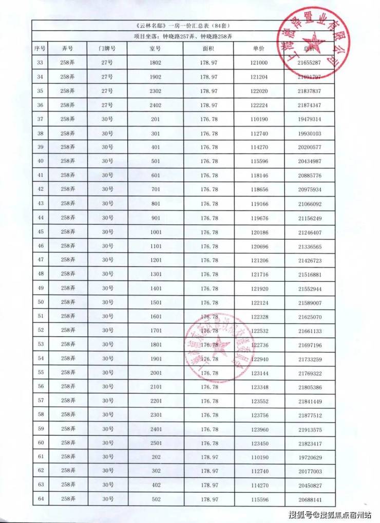
前期「一房一价表发布」


对项目有兴趣的朋友,欢迎扫描下方二维码,
进入全网唯一官方预约通道
扫码报名 或文末点击 阅读原文
扫码预约看房请保持手机畅通
等待官方销售团队与您联系
感谢配合!
01.
基本信息
2021年10月, 中华企业 &世博土控联合体以121.96亿,拿下东区9个单元的其中4幅住宅用地开发权【即中企云萃森林】,总建筑面积约19.42万方。
这4副地块分别是三林楔形绿地东区(含部分配套开发用地)15号(05-11,住宅)、17号(05-14,住宅)、19号(06-07,商业)、20号(08-02,住宅)。

东区:
东区的多块空地为动迁房,主要集中在南北两侧,地块容积率最低也有1.8,甚至能看到不少容积率在 2.5 左右的宅地。因此,未来东区住宅大概率以高层为主要住宅形式。

东区和西区最大的不同在于教育和公建设施配套,东区人口更密集,有5幅教育用地,从幼儿园至初中;而西区仅有1幅教育用地,作为幼儿园。

建成效果图如下:




05-11丶05-14这两块地的规划设计已经公示:2个都是高层住宅社区,开发商为中华企业。

建设单位:上海淞泽置业有限公司
项目名称:三林楔形绿地(含部分配套开发用地)15号(05-11)地块项目
容积率:2.3
绿地率:35%
控制高度:45m,局部80m
建设内容:该地块拟建8-25层中高层住宅,以及配套公建用房
用地面积:27717.6㎡
总建筑面积:约92121.1㎡
其中地上建筑面积:66945.4㎡、地下建筑面积:约25175.7㎡

建设单位:上海淞泽置业有限公司
项目名称:三林楔形绿地(含部分配套开发用地)17号(05-14)地块项目
容积率:2.5
绿地率:35%
控制高度:60m,局部80m
建设内容:该地块拟建7-24层中高层住宅,以及配套公建用房
用地面积:25753.9㎡
总建筑面积:约102148㎡
其中地上建筑面积:67572㎡、地下建筑面积:约34576㎡
02.
推售信息
据悉楼盘销售总监描述, 中企·云萃森林 目前在售建面 约90㎡、98㎡、123㎡、175㎡2-4房 ,均价10.5万/㎡,少量房源,臻稀递减中。

在售户型如下:
A户型 建面约98㎡3房
B户型 建面约125㎡4房
D户型 建面约90㎡2房
三期G/H户型 建面约175㎡4房
J/K户型 建面约90㎡2房
项目在售户型图发布:






附项目最新高清效果过程稿:





03.
周边配套
继前滩之后,黄浦江边又将诞生一个新版块!
三林前滩南滨江,它值得全上海关注。
有人说,这是黄浦江核心段最后的“成片开发”;有人说,这是中心城区最生态的板块;有人说,这是离前滩最近、关联最紧密的板块;也有人说,这里会是上海真正的新一代国际社区。这些说法是否准确暂且不论;但足以见得这个板块的关注度和巨大潜力。
它位于上海黄浦江核心段一线:北至前滩,南至筠溪小镇,西至黄浦江,东至南北高架-济阳路。

这里又称“真·前滩南”。之所以加个“真”,是因为前两年很多媒体给浦江镇、甚至奉贤区的新盘打广告时都自称为“前滩南”,企图蹭前滩的热度。
而前滩南滨江是紧贴着前滩的南面,二者的分界线就是中环路的道路中心线,是真正的“0”距离。

前滩南区位示意图
前滩是上海炙手可热的中央商务区,拥有超过350万方的建筑量,汇集众多外资企业。
而前滩南滨江,与前滩的规划定位、功能、风格、开发主体都截然不同。
一个是中央商务区,一个是楔形绿地;
一个是金融办公功能,一个是生态宜居功能;
一个是车水马龙,一个是宁静致远;
一个是浦东主导开发(陆家嘴集团),一个是市里主导开发(上海地产集团)……
当年前滩南滨江编制规划时提出的规划设计理念是:“进一步都市繁华,退一步田园悠然。”

前滩南滨江规划示意图
最近几年,因为前滩板块的热度,逐渐让它成为了上海楼市的“暴风中心”,但是却逐渐被购房者忽视了它隶属于三林板块。
而三林板块属于浦东区的3大单元中的 陆家嘴-世博单元 。(浦东新区的中心城区被规划分为三个单元:陆家嘴-世博单元规划、张江单元规划、金桥-外高桥单元规划。)
陆家嘴-世博单元包括陆家嘴和世博-前滩,这两块属于上海的中央活动区,还包括花木-龙阳路城市副中心,以及洋泾、北蔡、三林等热点地区。

【陆家嘴-世博单元范围】
随着前滩板块的日益满负荷和板块成熟,三林承接了部分住房需求的外溢。
三林板块原本就是因为价格的亲民,而被很多刚需客、新上海人上车的优选地,三林板块也连续多年成为上海各大板块中二手房成交大区。
一般在浦东世博板块或人民广场附近上班的人为了通勤方便会把家安在这里。
因为三林是浦东区距离市中心最近的区域。不仅轨交发达,自驾也非常便捷。
整个区域内有8/11/6号线横穿而过,在板块内部设置了凌兆新村站、三林站、三林东站和浦三路站,但是6号线灵岩路南站、上南路站、华夏西路站基本上也会利好到一部分三林板块的居民。

轨交示意图
项目位置就在浦东新区前滩南的钟晓路近润林路,距离在建的19号线凌兆新村站直线仅约150米左右:

中企云萃森林所处的三林滨江东区,将建设成为三林地区的地区级公共中心,海派现代的综合宜居社区,不仅满足当地居民的动迁安置和配套需求,还能为整个三林地区提供公共服务。

交通配套方面 ,三林滨江本身就具有优越的大交通区位,整个板块紧邻中环连接陆家嘴、世博、前滩的滨江主干路从片区中部穿过,大幅增强了三林滨江与黄浦江东岸主要功能区的连通性。

图源网络
8号线已经通车并运营多年,于三林滨江设有凌兆新村站,未来在这里还将能与在建中的19号线进行换乘!而该站点便在中企·云萃森林小区门口,妥妥的正三轨交盘。
板块内还有机场联络线在建和26号线规划中以及 BRT 中运量的公共交通线路。

区位示意图
区域内的商业配套本就十分丰富。
项目北侧便是前滩,对于中企·云萃森林的业主来说:太古里、晶耀前滩、太古汇(在建中),信德文化中心(在建中)香格里拉、四方城(在建中)等,今后都在业主的生活圈内。同时项目本身也是一个集商业、时尚休闲、文娱生活、生态人居为一体的大型TOD综合体,下楼即享繁华配套。

图源网络
教育资源方面 ,东区已经确定有5幅教育用地规划,涵盖幼儿园至初中!

不论是地段还是配套能级,中企·云萃森林所在的三林滨江毫不逊色!
最新消息
前滩南·三林滨江 新一代国际住区
「中企·云萃森林」正在热销
在售约90-175㎡2-4房
均价10.5万元/㎡
兴趣的朋友
请扫描下方二维码进入报名通道
预约咨询、参观
点击下方“阅读原文”亦可进入预约看房通道,尊享一对一专属服务!
免责声明:本宣传资料仅为宣传,内附所有资料,包括任何图片、插图、设计图、文字描述或其他资料,仅供参考或识别之用,不构成合同内容,具体内容以合同内容及政府最终审批为准。项目所涉及数据均为暂定,后期如有改动,请以各项证件及政府批文等为准,本宣传资料部分素材源于网络,最终交付标准以商品房买卖合同及政府等相关部门的批准文件为准。在法律允许的范围内,开发商保留修改本资料的权利,敬请留意。
中企云萃森林 售楼处电话:4008266670⭐⭐⭐
中企云萃森林 售楼处中心:400-8266-670(一键预约,无需等待)
中企云萃森林 营销中心:400-826-6670(一对一深度解析,买房决策不迷糊)
👇 👇 👇点击【楼盘名称】可以获取上海各区项目详细信息
崇明区:
限购项目:长兴岛御岛财富公馆丨长兴岛金茂逸墅丨陈家镇览海高尔夫独栋别墅丨陈家镇上实和风院丨陈家镇仁恒海明院丨陈家镇东滩云墅三期丨陈家镇光明墅二期丨东滩花园丨融创山水拾间
不限购项目:绿地长岛丨崇明岛大爱城丨国瑞瀛台丨紫竹园丨融科托斯卡纳庄园丨海上普罗旺斯
浦东新区:
限购项目:滨江一品苑二期丨康桥中建融创壹府澜庭二期丨低积分必看川沙保利云上拾光丨陆家嘴九庐三期丨 碧云钻石酒店公寓丨周浦九龙仓兰廷丨陆家嘴中企16号公馆丨碧云尊邸二期丨前滩东方惠雅丨前滩晶鸿名邸丨东靖路站森兰名苑丨浦东宝华紫薇花园丨金桥嘉里巨峰路项目丨绿地海富东上海丨 金桥张家浜项目丨金桥金鼎首府丨康桥华发仁恒海上溪云丨御桥颐盛御中环三期丨康桥亲水湾朗廷丨周浦浦发东悦城三期丨唐镇皇廷御府丨曹路佩玛山丘丨临港电建泷悦蓝湾丨海玥瑄邸丨浦发仁恒珊瑚世纪二期丨浦开仁恒金桥世纪二期丨唐镇创新中路站浦发川杨河项目丨唐镇浦发虹湾丨前滩保利世博滨江丨唐镇融创未来金融城 丨唐镇华侨城纯水岸丨陆家嘴中企海睿滨江丨恒大滨江华府丨川沙陆家嘴锦绣观澜二期丨尚海郦景丨临港同润金色橘苑丨大华珞斐墅丨同润蓝美俊庭丨金桥浦开江南里丨嘉华陆家嘴丨浦江壹号丨航头中海云麓里丨临港陆家嘴滴水湖涟岸丨临港大名城映园丨临港首府丨滴水湖馨苑五期
不限购项目:6号线旁森兰壹品星汇丨6号线旁森兰美奂丨陆家嘴通燃气景瑞尚滨江丨森兰远洋财富中心丨野生动物园旁云栖之星丨陆家嘴良邸618丨川沙精装现房叠墅林曦水岸丨川沙迪士尼绿都绣云里丨16号线惠南星创城丨金地褐石公馆丨前滩中房晶华公馆丨融创精彩天地丨中石化大厦丨森兰美奂丨太平洋中环广场丨浦东微谷丨都汇公馆丨琉森公馆丨中洲珑悦珑玺台丨陆家嘴金融街区丨舟山嵊泗列岛海上海
宝山区:
限购项目:上外附校区旁红星宝山天铂二期丨建发云锦湾二期丨顾村上城院子丨上外附校旁中建阅澜山丨上海长滩四期丨大华时光里悦庭丨中环叠墅央玺二期丨大华朗香花园五期丨大华锦绣四季澜岸丨四季都会五期丨 美兰金色宝邸丨中企光华雅境丨华润卓越玲珑悦府丨经纬学府阳光丨招商雍和府丨大华公园荟丨上实海上菁英丨大华公园城市丨大华锦绣四季丨中集金地美兰城丨大华朗香公园里丨上港星江湾丨招商雍和府丨大华锦绣悦府丨万业紫辰苑丨金融街美兰金悦府丨宝华北岸郡庭
不限购项目:顾村公园+地铁口绿地公园广场
杨浦区:
限购项目:新江湾中企云萃江湾丨盛世御珑湾丨龙光天境丨仁恒海上源丨保利天汇二期丨信达泰禾上海院子丨八埭头滨江园三期丨杨浦金隅项目丨杨浦融创项目
不限购项目:五角场通燃气财富国际广场丨五角场黄兴公馆丨杨浦内环郡江国际领寓丨五角场华美达公寓丨复旦绿地双创中心丨通燃气带地暖莱克大厦
闵行区:
限购项目:上海华府天地丨七宝大上海国际花园丨上海星河湾三期丨上海桃花源三期丨颛桥宝华紫薇花园丨颛桥华发四季半岛丨阳光城未来悦三期丨华二学区兰香湖壹号丨天安豪园二期丨佳兆业8号丨融信旭辉世纪古美丨桂鸿院丨颛桥联仲都悦汇丨一品漫城丨东苑新天地丨金臣别墅丨德信交投隐秀云庐丨珠江铂世古北里丨虹桥云禧
不限购项目:龙湖天琅丨龙湖天钜丨大平层龙湖玖悦
青浦区:
限购项目:现房联排金城上品丨嘉涛湾丨徐泾小户型俊灿星城丨万科天空之城五期丨金地水悦堂丨金臣颐墅三期丨上海蟠龙天地二期丨远洋虹桥万和源二期丨虹桥御墅丨海玥虹桥金茂悦丨金地虹悦湾丨葛洲坝玉兰花园丨新华联奥莱悦府丨璟雲里丨御澜博翠丨金臣颐墅丨虹桥融景丨颐湾丽庭丨恒文星尚湾丨大豪山林别墅丨泷湾丨宝业爱多邦丨金地虹桥世家丨西晶明园丨大名城映湖丨中环境秋月三期丨首创禧悦芳菲丨虹桥金茂悦二期丨上善水樾丨安澜西郊宽境
不限购项目:美瑞清河湾丨17号线地铁上盖东渡悦来城丨兰韵文化中心丨17号线漕盈路站铂悦公馆
嘉定区:
限购项目:融信海纳印象二期丨金地嘉悦湾二期丨金地峯范四期丨万科西郊都会四期丨莫里斯花源丨南山虹桥领峯丨融侨星誉丨路劲悦茂府二期丨中骏璟尚二期丨盘古园府丨湖畔天下丨佳兆业城市广场丨云栖麓丨金隅金成府丨嘉宝新力梦之晴丨路劲海尚湾丨安亭瑞仕锦庭丨金隅大成郡丨湖畔天下瑞泷丨奥园金地格林云尚二期丨日月光伯爵天地
不限购项目:11号线南翔站通燃气中童巴比尼丨江桥虹桥领御丨江桥米拉公寓丨14号线地铁上盖V格时代广场
松江区:
限购项目:新城万达旁金地丰盛道丨景瑞江山悦丨国贸佘山原墅三期丨海伦堡兰园四期丨中海阅麓山丨同济晶萃丨光明雲庐丨路劲佘山院子丨国贸天悦丨吉宝佘山御庭丨云著深蓝丨长泰西郊别墅丨佘山东紫园丨同润玫瑰园丨佘山一品丨桂语云溪丨金地西郊风华丨绿中海丨大名城映云间丨贝尚湾丨洞泾尚云里丨国贸梧桐原丨松岳名都
不限购项目:恒都广场丨泗泾钰丰商都丨9号线御上海青橙丨万达soho公寓
普陀区:
限购项目:融创建发苏河望丨真如城投俞家弄项目丨高尚领域丨新湖明珠城三期丨中鹰黑森林三期丨长风瑞仕璟庭丨锦绣里丨品尊国际丨智富名品城丨沁和园丨祥和王宫丨
不限购项目:环球港绿洲公馆丨环球港伸大厦丨北岸长风丨星河世纪广场丨高尚领域行政公馆丨申汉大厦丨新会139
静安区:
限购项目:宁馨苑丨中兴路一号二期丨宝珀公寓丨南京西路公馆丨静安慕舍丨新湖上海青蓝丨康鑫家园丨铭德传奇漪景庭
不限购项目:中环永新国际广场丨静安世纪时空丨静安汇丨中房华东大厦丨华瑞大厦丨通燃气新平公寓
黄浦区:
限购项目:璞玉one丨新天地翠湖五集丨卢湾68丨绿地海珀外滩丨复兴珑御丨凯德茂名公馆丨中海建国里三期
不限购项目:新天地一品苑
虹口区:
限购项目:江景豪宅白金湾府邸丨祥生蝶恋花丨瑞虹新城十期臻庭丨弘久新弘北外滩丨融创青雲壹号二期丨中粮瑞虹海景壹号丨海泰北外滩丨招商外滩玺丨中皇北岸锦源丨招商虹玺
不限购项目:中环大柏树宝隆公馆丨大柏树地铁旁景明大厦
徐汇区:
限购项目:云锦东方三期丨百汇园三期丨宝能公馆1288丨汇成南街里三期丨仁恒长桥项目丨鑫耀中城二期丨承安瑞园丨香港置地西岸金融港
长宁区:
限购项目:尚晨皇家花园丨愚园名邸丨古北ONE丨淮海名邸丨华山夏都苑
不限购项目:可乐公馆丨光华大厦
奉贤区:
限购项目:低总价挂户口乐怡苑丨大家美颂二期丨绿地铂晶舍二期丨金汇龙湖春江天玺叠墅丨碧桂园凤鸣海尚丨同润蓝美俊庭丨中式别墅原筑江南丨印象花语墅丨南桥金茂悦丨临港奉发宝龙广场丨东方华璟园丨东原璞阅丨阳光城未来悦二期丨禹洲天境雍锦府丨中海戈雅园丨融信海月四季丨朗诗未来街区丨天和尚海庭前丨中国铁建香榭国际丨龙湖春江天玺丨佳兆业8号丨阳光城青溪水岸丨金地光语著丨酩悦都会丨宝华帝华园丨光明九胤丨天和前滩时代丨泰禾海上院子丨天和尚上海丨阳光星期8丨佳源梦想广场丨悦城华庭丨凤凰城天悦丨景源名墅丨保利明玥湖光丨大名城映园
金山区:
限购项目:碧桂园凤凰城丨建邦国宸府丨丨华发招商依云四季丨光明金山府丨依云湖丨长城逸府丨毕加索花园小镇 ︳海玥瀜庭︳︳枫溪别院|世纪金源梧桐印象︳新未来樾湖︳龙信御澜天樾︳︳金山澜庭︳
昆山市:
周庄古镇绿城桃李春风 |淀山湖雅居乐聆湖雅苑丨淀山湖万科常春藤丨淀山湖光明铂悦公馆(福侬庄园)丨淀山湖大自然花园丨淀山湖壹号丨淀山湖富力湾丨周庄水月源岸花园丨锦溪时代御湖丨花桥浦西玫瑰园丨花桥龙光花溪澜园丨 花桥象屿都城嘉园 | 花桥智慧城不限购公寓丨花桥保利正荣堂悦花园丨花桥朗绿花园 | 花桥建滔裕园 | 花桥万科鑫苑云璞 | 花桥宏图国际花苑 | 花桥象屿西郊御府 | 花桥香逸铂悦 | 花桥苏河公园 |花桥象屿都城怡园 |花桥伟鹏金郡丨 张浦首创禧悦棠礼花园 | 千灯德信都绘大境 | 玉山昆山玉兰公馆 | 千灯梦悦佳苑丨千灯海伦堡云璟台丨千灯奥园誉景澜庭 | 千灯尚景苑丨千灯奥园印象高迪丨花桥滨江裕花园 | 花桥梦世界 | 花桥绿地未来中心 | 陆家兰亭珑悦 | 绿地境启澜庭 | 陆家宋都如意铭著 | 张浦碧悦湾 | 万科江湾澜庭 | 花桥越洋国际
太仓市:
科教新城复星复游城丨浏河御江南丨娄江新城越秀向东岛丨新城区旭辉熹阅丨市区阳光城文澜府丨科教城湖境天著雅苑丨科教城云澜天境花园丨浏河恒大文化旅游城丨浏河恒大滨江悦府丨浏河中南春江云锦丨浏河江岸雅居丨科教城中南春风南岸 | 科教城明月辰光 丨岳王碧桂园星著丨港区公园郡雅园三期丨港区金辉悠步江来丨新区伴湖雅苑丨港区新华联滨江雅苑丨港区合生伴海花园丨科教城阳光城中南翡丽云邸 | 科教城融侨悦江南 | 双凤镇景瑞悦庭 | 沙溪象屿公园华府 | 沙溪依云悦府 | 港区合景锦著天逸花园 | 港区万和四季 | 港区依云水岸苑 | 港区海上时光 | 港区金辉海上风华 | 陆渡太仓悦园 | 沙溪越秀悦映澜庭 | 浏河太仓恒大文化旅游城 | 浏河恒大童世界 | 公园郡雅园 | 沪太锦苑 | 海伦堡溪璟园 | 合生晶萃 | 花漫九里 | 金科旭辉悦章 | 电建明悦苑 | 五洋公元府 | 星悦府 | 香塘淏华镜湖点金 | 吉宝旭辉熹阅 | 熙岸源著 | 佳源印象蓝湾 | 中梁泊景庭
南通市:
启东招商碧桂园十里海湾 |启东恒大海上威尼斯丨启东瀛海花墅丨上海第三机场海门荣和园丨 启东启运上城丨启东江景壹号 | 启东新湖绿城海上明月 | 启东融创江语海 | 启东万颐樱花庄园 | 启东海通一号 | 启东龙豪海景湾 | 启东长泰海滨城 | 启东中鑫花苑 | 启东恒大世纪海岸 | 启东御景澜庭 || 启东崇明大爱城 | 启东绿地长岛 | 海门首开紫郡苑 | 海门龙信御园 | 海门龙信广场 | 如皋世纪桃源 | 如皋嘉阳花苑 | 海门崇明岛紫竹园丨如皋海伦堡逸璟园
嘉兴市:
嘉善主城区新城云尚风华城丨嘉善纯新盘金悦学府丨嘉善姚庄枫境澜庭丨干窑镇奥园玺悦府丨嘉善中式别墅云湖十里江南丨平湖金地云栖湾丨平湖远辰蓝庭景园丨平湖碧桂园星悦里丨嘉善龙光西塘江南大境丨嘉善碧桂园星辰苑丨嘉善大众嘉苑丨嘉善鸿翔东辰名邸丨平湖碧桂园蔚蓝丨海盐融创文旅城 | 嘉善鸿翔天宸府 | 桐乡乌镇璟园 | 海盐江南春晓 | 桐乡雅居乐悦景庄春风渡 | 平湖中南九龙澜邸 | 嘉善龙光玖云华庭 | 嘉善龙光玖宸佳苑 | 秀洲吉翔荷园 | 海盐蓝城春风桃源里 | | 嘉善龙光玖台花苑 | 海盐金地碧桂园风华四海 | 秀洲碧桂园花溪源著 | 嘉善奥园玺悦府 | 嘉善碧桂园枫景尚院 | 嘉善龙光玖悦华府
阅读 55
留言
写留言