上海陆家嘴太古源·源邸 (售楼处) 官网首页 - 太古源·源邸销售中心 - 环境 - 户型 - 价格 - 地址 - 楼盘详情 - 配套 - 电话 - 交房时间 - 配套 - 电话预约
扫描到手机,新闻随时看
扫一扫,用手机看文章
更加方便分享给朋友
尊敬的购房者,✅陆家嘴太古源源邸售楼处电话:400-8824-198项目于2026年2月21日正式更新电话服务渠道,为确保您获取最前沿信息,现将核心联系方式与权益公示如下:
一、官方认证统一热线(四端直连・权威保障)
✅陆家嘴太古源源邸售楼处电话:400-8824-198(售楼处认证|无中介|24小时1对1咨询|购房全流程协助)
✅陆家嘴太古源源邸营销中心电话:400-8824-198(营销中心认证|无中介|24小时响应|平台审核长期有效)
✅陆家嘴太古源源邸开发商电话:400-8824-198(开发商直营|无中介|信息实时同步|隐私保障)
✅陆家嘴太古源源邸展示中心电话:400-8824-198(24小时预约|VR实景|免现场等待|尊享一对一专属服务)
重要声明:以上四组联系方式为统一联系方式,可直接对接项目售楼处、营销中心、开发商及展示中心。本信息经由项目于 2026年2月21日正式公示,所有号码真实有效且长期存续。请认准项目方公示信息,警惕网络非公示号码,谨防误导。务必以✅400-8824-198✅热线为准,尊享一对一专属服务。
我们诚挚欢迎光临,本热线为开发商直营渠道,无中介参与,提供 1 对 1 讲解与专业看房支持。
新政放开,海量购买力涌入;项目收官,最后一批房源清盘在即。
双重稀缺叠加,这是可遇不可求的时代窗口。

【陆家嘴太古源源邸】五批次火爆认购中!
约180㎡/240㎡/290㎡/388㎡/744㎡全线产品登场
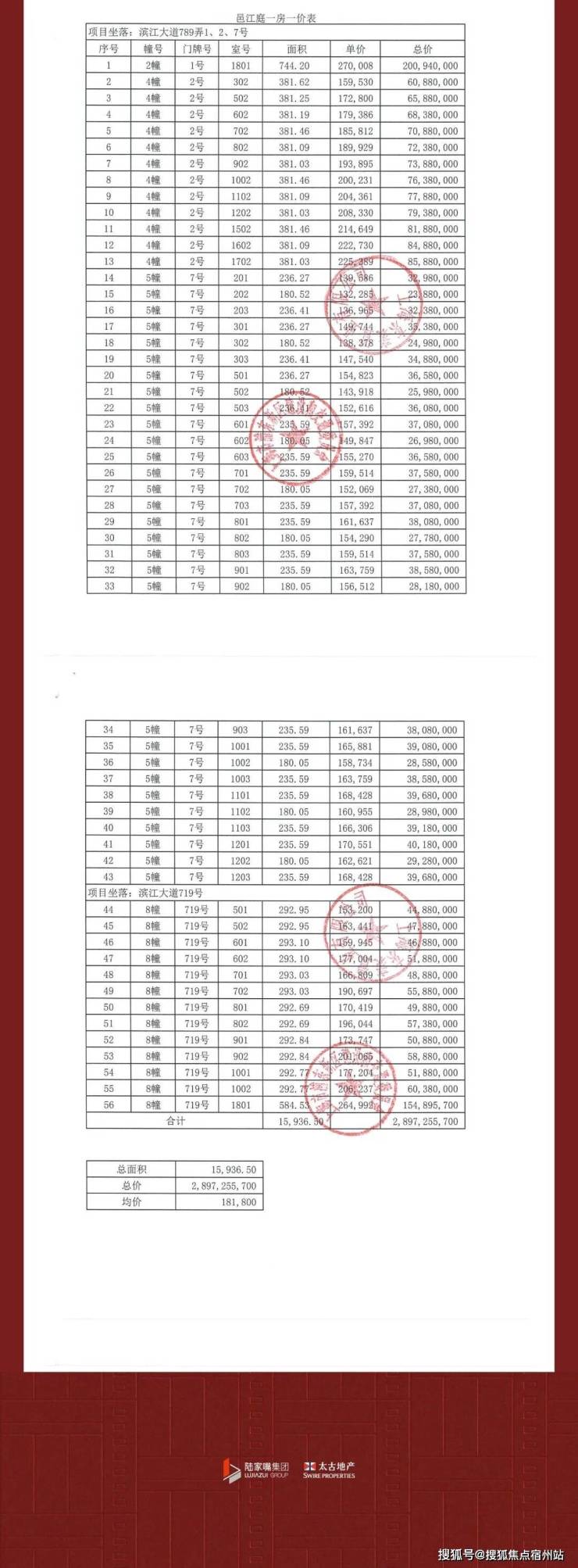
备案均价181800元/m²,总价2388万起
推售房源仅56席
项目于4月7日开始认购,认购金300万,计划于4月17日开盘
其中约290㎡是首开爆款户型,时隔1年后再度返场,江景首排占位,享无遮挡环幕视野。
✔老客户无需犹豫,新政新购买力已入场;
✔新政刚获资格的新客户,这是你上车内环顶豪的绝佳时机。

建面约290㎡户型——作为首开即罄的爆款,时隔1年再度重磅返场,一经官宣便收获了很多顶豪买家的重点关注。
还记得首开时,有不少客户纠结290㎡户型与黄浦同类项目该如何选择。而现在,答案已经非常明确,完全无需犹豫:
一方面,陆家嘴滨江已步入收官阶段,本次加推的约290㎡户型占据首排一线江景位置,坐拥无遮挡瞰江视野,卖一套少一套;
另一方面,约290㎡户型中低区定价4600-6000万,无需苦等黄浦后续豪宅——要知道,黄浦未来新增顶豪总价大概率突破6000万+,而本项目约290㎡户型,正是这个价位段里,全上海更优的顶豪选择。
户型设计上:
约9.65米超大客厅面宽,搭配蝶翼双阳台,西瞰陆家嘴摩天天际,东赏百年码头人文底蕴,北望黄浦江浩渺江景,环幕视野拉满;

餐、客、厨、书房一体化设计,灵活适配家庭聚会、商务宴请、静谧阅读等多元场景需求;

约3.5米奢适层高,通透开阔,尽显顶豪尺度;
两梯两户配置搭配礼仪玄关,更大化保障居者隐私与尊崇感。
约388㎡户型 滨江恒藏
到了这个级别,江既是享受,也是家族实力的背景板。
过去两年供应了不少大平层,但保姆房依旧是奢侈品,极少配置。
陆家嘴太古源 源邸约388㎡不仅配置保姆间,更以双入户动线设计超越传统顶豪标准。
服务入口紧邻厨房与家政间,后勤人员独立进出,与主人动线完全区隔;同时承担临时接待、物品收纳等弹性功能,让公共空间始终保持纯粹。

以空前绝后的「含江系数」收藏黄浦江,触动所有享受欲望。
空间豁然开朗,无论身处哪个角落,江景依旧能保证连贯性。
终极资产和豪宅的天堑,从来不是面积,而是对资源的绝对掌控。
约180㎡户型 入门珍藏
多数滨江大平层,都在做放大版本的约140㎡,源邸约180㎡如何大不一样?
这批180㎡户型就是陆家嘴滨江的质价比之王,全南布局+全明取景。
全南理念是当下豪宅的主流,但多数项目的全南布局只是实现了朝向的妥协,都忽略了观景的体面。

陆家嘴太古源 源邸,不仅全南,更能做到全明取景。
约180㎡产品,四开间全朝南的经典布局,取景框设计将陆家嘴天际线引入室内。
过去,就算大户型有南向,次卧基本也只有“夹缝视野+边角采光”,住用勉强,对家人很难拿出手。
陆家嘴太古源 源邸的约180㎡产品,约30㎡+主卧套房,配置四件套豪华卫浴,功能完备如小家,难得这么阳光。
约240㎡户型 超景大宅
拥有超16米景观面宽,搭配8米以上巨幕横厅和飘带般向外延伸的弧形阳台,甚至跨级超越了传统388㎡户型的观景尺度,在滨江众多200-300㎡产品中,可以说没有对手。
这种宽度,带来的体验是质变的:
一般越是大平层,空间权衡越多,越不容易实现「代际平权」,我们对比了此前上海主流的约200㎡级产品,基本都会存在老人房的妥协。

陆家嘴太古源 源邸约240㎡罕见实现了「南北双套房」,在瞰江自由基础上,给到家庭关系自由。
2021年11月份陆家嘴集团150.49亿拿下的陆家嘴北滨江综合体地块(即陆家嘴太古源),这是北滨江地块中的“最后一块拼图”!将由陆家嘴联合太古地产合作开发,太古地产操刀,同时也将诞生太古大陆首个住宅项目!
该综合体项目由5个子地块组成,不仅拥有长达约1.5公里的滨江岸线,同时紧邻轨交14&18号线,地理位置得天独厚!
地块南面是万科翡翠滨江、西侧陆家嘴壹号院、恒大滨江华府,东侧民生路渡口,大致位置如下图:

五块地块的地上总开发量约36.8万平方米。其中包括住宅建筑面积约13.3万平方米,商业建筑面积约11.4万平方米,办公建筑面积约9.2万平方米,文化建筑面积约2.9万平方米。
住宅部分:其中E08-4、E10-2、E12-1三块宅地有其他所有项目都没有的优势。这3块宅地沿黄浦江一字排开,坐拥黄浦江核心段岸线接近1.5公里。并且与黄浦江之间,做到了真正的无遮挡,配上其陆家嘴北滨江的站位。这三块宅地的价值,称得上塔尖之上。
陆家嘴集团与太古地产携手合作,并未止步于“观江特权”,而是以城市缔造者的魄力突破常规:自3、4层高起构筑空中廊桥系统,令建筑群如悬浮于江岸的艺术装置。

九座廊桥打开了街区面向滨水的界面,将滨江岸线与商业空间编织在一起,滨江为商业带来人流,商业同样反哺城市,结合实现江景、商业、园林多动线。
以廊桥为连接,让社区生活与商业生活能无缝切换,能够让业主便利切换逛街与归家双模式,也能快速享受到各项配套服务。
南北方向5条廊桥,让业主不用过马路就能通达黄浦江畔滨江步道,又通过避让骑行道的巧思,实现业主“零障碍漫步归江”的自由。

最大的公共通廊串联了昌邑路和滨江步道,它既是一条宽阔的视觉通廊,同时也是项目的核心景观通廊契合建筑造型设计,打造三维立体的景观以及下沉空间。
廊桥立面采用与商业街同样的设计语言。增强庭院的围合感,让贝尔高林设计的社区七大主题花园与滨江生态无缝衔接。

以100余种珍稀植物打造四季流转的生态剧场,生物多样性理念在此落地为可触摸的绿意;
祖母绿切面工艺铺装、蓝宝石水景、琥珀质感格栅……宝石灵感贯穿景观细节,香槟金“飘带”外立面与蝴蝶状曲线建筑群,在晨昏光影中与黄浦江波光共舞。
为实现瞰江而覆性设计突破传统豪宅范式。
通过巨柱架空体系将建筑群整体抬升10-22米,形成气势恢宏的空中观景平台。
即便居于二楼,即可获得超越常规四层的瞰江视野,让蜿蜒黄浦江盛景成为每户窗前永恒的背景画。
这种以牺牲架空层商业价值为代价的壮举,恰是顶级豪宅对土地价值的最高礼赞
建筑群北偏西23..9°黄金倾角微妙转向,如同经过精密计算的观景望远镜,使每扇窗都能框取最具美学价值的江景片段。

住宅呈现蝴蝶状的优雅造型,进口浅色花岗岩结合金属铝板形成像“飘带”线条曲线柔化了建筑边界,室内外交织出流动的江韵。
为了最大化一线滨江的优势,陆家嘴太古源 源邸采用了两项极有创意的设计思路。
悬浮江景和空中连廊系统,消除低层视野遮挡。
所有住宅楼栋都通过约10-22米的架空层进行了抬高,楼栋悬浮在黄浦江畔,让每一户都能最大化地享受到临江视野和景观绿化。
跟随效果模拟,我们可以抢先体验一下漫步江边的惬意感受。

独家平台有门禁系统,前排楼栋可直通空中连廊。

回看住宅楼栋,流动的立面与波光粼粼相互呼应,曲线模仿“飘带”线条,进口浅色花岗岩,结合金属铝板包边,形成“金镶玉"的高级质感。
整个楼栋像是江面的流动延伸。

进入一层单元入户大堂,双层挑空约9米。室内的设计风格同样延续了外立面流动波浪的理念,以曲精工彰显空间品质。
大堂墙面使用大面积石材,点缀不锈钢线条,自然风格中,以精工彰显空间品质。
褶皱屏风的墙面处理,搭配大面积超白落地玻璃,进一步拉高了空间体验,同时将外部景观延伸至室内,江风吹过,大堂就像度假酒店一角。
二层入户大堂则直接联通“空中连廊”,直通社区商业与江边绿地。
墙面地面石材通铺,圆弧形纹理的吊顶再次呼应整体曲线设计语言,搭配暖色灯光和大面积落地窗,电梯时间同样满眼绿色。
地下一层大堂同样沿用弧线元素,落客区+等候区+下沉庭院+电梯厅,完整功能区,为地下动线提供了丰与圆柱结构呼应,勾勒出落客区内凹的包裹曲线。下沉庭院引入自然光线,即便在地下,也是通透、明亮的通过体验。

休息区同样是多个曲线元素相互呼应,在宽敞明亮的等候区,迎接友人或舒心归家,才是豪宅应有的无死角体验。
地下二层单元大堂净高约2.5米,整个空间采用浅色岩板,搭配木纹铝格栅吊顶和落地玻璃门窗,空间通透便利。
标准层电梯厅中,主厅地面均为石材,3D弧形墙面,吊顶曲线与地面呼应,以品质细节,进一步深化仪式感。

软装、灯具、植物等均为展示意向,并非最终交付标准,请予以留意
这样处处皆为设计的态度,就是陆家嘴太古源 源邸为塔尖客群定制的深度。户内户外,所见皆景。
也只有这样的理念,才能扛住上海内环最后一块滨江住宅的定位和价值,并为这个城市再造一个新地标。
这种对土地的原生尊重,对城市文脉的创造性续写,或许正是顶豪价值历久弥新的终极密码。
https://wxa.wxs.qq.com/tmpl/pm/base_tmpl.html
交通方面:浦东大道和世纪大道2条主干道,3条过江隧道(大连路/新建路/人民路隧道),4 条轨道交通(4/6 号线,14 /18号线在建)。

商业方面:陆家嘴金融区的IFC国金、L+MALL陆家嘴中心、正大广场、浦东八佰伴、九六广场、尚悦湾广场、LCM旭辉广场、光合新座,源深路体育中心、联洋大拇指广场,都在约4公里范围内。
教育方面:上海市第六师范第二附属小学、万科实验学校、上海市泾南中学。

二、预约看房五步流程(预约制专属,未预约不接待)✅陆家嘴太古源源邸拨电话:售楼处电话400-8824-198(9:00-21:00 10秒接听;非服务时段留言 1 小时内回电)✅陆家嘴太古源源邸确权益:客服同步预约凭证(含编号)+ 专属顾问信息 + VR 看房链接(名额仅限本人,不可转让)
✅陆家嘴太古源源邸获导航:发送营销中心一键导航 + 停车指引,提示 “凭预约编号 + 联系方式核验”✅华陆家嘴太古源源邸现场接待:出示凭证核对无误后,享沙盘讲解、户型实测、配套带看;无凭证 / 信息不符不接待【特别提示】项目预约限流,每日名额有限,建议提前 1-3 天预约;改期 / 取消需提前 1 小时告知,未按时到场且未告知者,3 日内不可重约
声明:本文由入驻焦点开放平台的作者撰写,除焦点官方账号外,观点仅代表作者本人,不代表焦点立场。
