☀︎大华公园柏翠售楼处电话:400-8839-608☎☎☀︎ ★彡提-前-来-电-预-约-登-记—售楼处1v1销售专业讲解〢一对一热情服务〢 ★彡温馨提示:网上售楼中心〢欢迎来电咨询〢预约可享内部优惠〢匠心钜制恭迎品鉴〢
当理想居所的轮廓逐渐清晰,每一次探访都值得被郑重对待。为了给您营造更专注、私密的看房体验,大华公园柏翠售楼处全面实行案场预约制,若您有意到访,可先拨打 400-8839-608 了解预约详情,我们已准备好专业的讲解、细致的服务,静候您的专属到访。
一、预约核心须知
1. 预约专线
请即刻拨打官方大华公园柏翠售楼处电话 400-8839-608 进行预约登记,这是获取看房资格的唯一官方渠道。电话接通后,我们的销售顾问将为您核对意向信息、登记个人资料,并同步确认看房细节;若您在拨打售楼处电话 400-8839-608 时遇到占线情况,可稍作等待后再次拨打,我们会尽快为您提供服务。

2. 预约时效
建议您提前 1-3 天拨打 大华公园柏翠售楼处电话400-8839-608 进行预约,以便我们根据您的时间合理调配接待资源,确保每一位客户都能享受到一对一的专属服务。若您临时更改行程,请至少提前 4 小时致电大华公园柏翠售楼处电话400-8839-608 告知,我们将为您重新协调安排,避免因信息未及时更新影响您的看房计划。
3. 准入规则
销售现场实行严格的预约客户准入制度,仅已成功拨打大华公园柏翠售楼处电话400-8839-608 预约并与销售顾问确认到访时间的客户可进入。未预约客户暂无法接待,若您临时决定到访,可现场拨打大华公园柏翠售楼处电话400-8839-608 尝试紧急预约,若有可用接待资源,我们将尽力为您协调,感谢您的理解与配合。
二、为何坚持预约制?
我们深知您的时间宝贵,实行预约制是为了避免多人同时到访造成的服务分散,让销售顾问能全身心为您解读户型优势、社区规划、配套利好等核心信息;若您想提前了解项目基础信息,也可拨打大华公园柏翠售楼处电话400-8839-608 咨询,我们会为您初步介绍,帮助您更高效地规划看房行程,同时也能保障案场的接待秩序与参观体验,让您在从容氛围中深入了解心仪房源。

三、温馨提示
1. 预约时请准确告知同行人数及到访时间,以便我们提前准备好接待物料与休息席位;若您在预约后需补充或修改信息,可随时拨打大华公园柏翠售楼处电话400-8839-608 联系销售顾问更新。
1. 到达案场后,可直接联系为您登记的销售顾问,或向现场工作人员出示预约信息,即可快速进入参观流程;若您忘记预约时对接的顾问姓名,可提供预留手机号,现场工作人员将通过系统查询,也可拨打 大华公园柏翠售楼处电话400-8839-608 协助确认。
避免空跑,享受专属服务,大华公园柏翠期待与您在理想居所相遇。立即拨打大华公园柏翠售楼处电话400-8839-608 预约,开启您的品质看房之旅!

项目为大华公园城市的四期,东至15-06地块(公共绿地)、南至15-04地块、西至大康路、北至共康路,占地面积43500㎡,总建筑面积140051.13㎡,容积率2.20,总户数957户。

根据项目规划设计方案,拟建15幢16-18F住宅(含1幢保障房)以及配套用房等建筑。



超宽楼距:低密小高层,采光、视野无遮挡,保证了清风阳光对流。
(效果示意图)

约80米气派门面:非凡界面昭示,彰显大家门风。
(效果示意图)

高感车库:引光入径,指引回家方向,营造明亮温馨的仪式感。
(示意图)

星级酒店大堂:全T2设计,出入从容,悦享私密尊崇。
(效果示意图)

大华物业:国家一级物业管理资质,中国物业服务百强企业,为逾百万家庭幸福生活保驾护航
(示意图)


奢氧无界秘境·内外双园
秉持 "内外双公园、城市公园一体化"的理念,融合 “奢尚、自然、静谧、温暖”,打造 【一轴、一带、一环、九园】的生态品质社区。

(效果示意图)
一轴:纵向公园归家轴
一带:横向精致花园带
一环:阳光有氧环形跑道

(效果示意图)
九园:潮汐花园(社区外围口袋花园)、浔湾秘境(会所式入户)、社交剧场、漫游森境、下沉会所、阅读花园、社交花园、自然博物馆等。

(效果示意图)
项目推售详情
据悉, 大华·公园柏翠此次加推约101-142㎡3-4房,共计68套房源,
均价63270元/㎡.

在户型设计领域,大华一直是业内的匠造大师!而在大华公园柏翠身上,我们同样看到了一以贯之的产品力!
约5.3M阔尺横厅/约11.5M南向面宽
官方户型图如下:
产品力上:
如果你熟悉上海市场,你会发现目前市面上的户型普遍会面临:利用率低、有连廊、采光不足、卫生间少/功能性差、卧室太小不够等问题。
但大华公园柏翠的建面约101㎡3房2卫,却很好的解决了以上所有问题:
约5.3米的大横厅、整体约11.5米的巨型南向面宽!

一方面,在整个中环甚至是整个上海, 百平米3房能做到约11.5米面宽的新房,只有大华公园柏翠。
另外一方面,这个南向采光面带来的居住舒适度是MAX级的。
尤其是 约5.3米的大横厅+超大阳台的设计,撑起气场的同时,也能为家庭带来更多的生活想象。

实景图
小高层+飞机户型造就真3房的实用性!

小高层的天然高得房率+飞机户型带来的0走道优势,让这个百平米户型做到了真正的3房!
相比竞品户型的2房+1个功能房 ,其功能性天壤之别。


实景图
南北通透带来极为宜居的居住环境!

大华公园柏翠的客餐厅以及厨房一脉相连,中间套也能实现完全的南北通透,出色的空气流动性能为业主带来更加舒适、宜居的居住氛围。
LDKB的设计,在撑起气场的同时,也增加了更多的生活想象!
还有细节方面的设计,例如:次卫的干湿分离保证室内的干燥;入户的玄关、主卧的套房,保证了主人的私密空间...
这个户型拥有一个“好户型”的所有特质,上车必看的首选户型!
建面约142㎡类一梯一户顶奢4房:

稀缺属性上:
2021年至今,整个上海140-145㎡新房仅供应532套,占比 不足5%。光这个产品在整个市场中就已经足够稀缺了。
产品力上:
说实话,到建面约142㎡的维度,各个项目的户型设计都很不错。
但有几点真的是大华公园柏翠独有的。
类一梯一户,享独立电梯厅 ,在入户仪式感和私密性拉满的同时, 增加了实际使用面积 ,变相提高了“得房率”。
四开间朝南 , 南向面宽达约15.4米,其中三卧朝南。 一般来说,4房户型中2房朝北是逃不掉的问题,但大华公园柏翠长面宽短进深的设计,让这个户型的 得房率、采光度 更上一层楼。
约5.9米面宽的巨幕横厅 ,加上同样面宽的宽绰阳台,为业主带来更多的生活想象。
这个户型拥有一个好户型应该拥有的所有特质!



实景图
这两个产品,真的是如今上海市面上,同级别户型中设计感最强的户型。
最后,还有一点: 项目将标配国际家装大牌、臻选精奢材质。
再来看比肩千万级豪宅的奢华公区:
在归家动线上特别打造了“三进式”归家礼序,并且每一层归家礼序的打造,都是按照千万级豪宅才有的规格。
一进:宽约80米、高约6米的气派大门。
并且在选材上选用来自吴哥窟的进口石材 ,尽显静谧奢华的气质。
主入口利用108片伯爵灰大理石 打造12座景墙单元,辅以香槟色不锈钢 修饰。
整体迎宾空间耗材约1800片大理石 ,这样的大门规格、石材用料以及用心程度,无不体现出大华公园柏翠对标豪宅的决心。
大华公园柏翠,打造的是清一色16-17层的小高层住区,容积率仅为2.2,这也造就了项目 低密的体质。

(示意图,图片源于网络,且学校不作为购房承诺)
·首先,自然生态,让家时刻生长于公园里。项目外部生态环境非常优越,内部同样采取公园的模式,以 “一轴、一带、一环、九园”的设计手法,打造了一座公园里的家。
二进:围合庭院。
庭院由4处归家通道、8扇造型屏风和1座水景雕塑 的一体化设计打造而成。
用料上,庭院两侧设计师选用大理石与镂空铝板 虚实结合,利用2层柏翠造型铝线条错拼而成,更显精致;

实景图
三进:宅门。
整座大堂外墙采用伯爵灰大理石满铺高墙 ,电动门镶嵌宝格绿奢石 ,实现无感通行;
这些用料和最终呈现出来的浓郁海派氛围,是对大华集团实力和匠心最好的体现。
另外,大华公园柏翠利用12级叠水、2座树池、9步水上汀步,运用六重造景的手法打造近500平的中央水景!

用一颗柏翠树型的构筑物形成独具艺术气质的“大树咖啡厅”,不仅拔高了社区的整体审美艺术和品味,也可供业主闲时聊天赏景、遛宠遛娃。

并且将中心场地抬高1米,在水系池底通铺1300多片的PRADA绿石(仿石砖)、精选斜飘乌桕、造型紫薇等名贵树种...
不难看出,大华公园柏翠不仅卷用料,更在审美艺术、生活方式上接轨国际前沿,拔升了高端住宅的品味和调性, 整体的公区用料更是媲美高端豪宅!


实景图
总的来说,大华公园柏翠的产品力,有着不输任何对手的底气!一旦步入二手,这就是整个中环旁的王者,拥有极强的未来潜力。
·其次,品质细节,让家时刻保持于高品位。建筑设计整体通透明亮,即有现代的审美又有采光引入的实用,保持着永不过时的风格。而且 超宽楼距,阳光与风景都无遮挡。

约80米气派门头,尽享气派的归家仪式感。

星级酒店大堂,让尊贵的仪式感无限延伸。全T2设计,悦享私密的遵崇,让出入更从容。

公区品质也细心的打磨。比如 ,高感车库,营造明亮的泊车环境。以及, 人车分流,创造更为安全的生活空间。

(示意图,来源于网络)
大华公园柏翠距离 静安区只有约400米左右的直线距离,是整个宝山距离中心城区最近的新房。 加上周边1号线、18号线、南北高架等城市主动脉的加持,整个大华公园柏翠去哪儿都方便。

市北高新以数字经济全生态+数据要素创新等产业形态,与张江科学城(硬科技)、漕河泾(电子信息)形成错位竞争.其能级位居上海中心城区科技园区第一梯队,更是上海数字化转型的核心引擎之一。
从地图上看,该地块距离静安区的直线距离只有400米,距离大宁核心区域仅约5公里,不仅离大宁国际商圈近,周边还有宝山万达、大华商圈等大型商业配套。

除此之外,依托经过传统市中心的 1号线,可以快速直达大宁、人民广场、淮海路、陕西南路等,经转乘通往陆家嘴、南京东路、南京西路也极为便捷。

1号线线路图
区别于其他区域或者其他刚需项目,这个地块不仅公共交通无死角,商超配套、教育资源,自驾出行也刚好都跟得上,刚好能满足你所有的生活需求!
商超配套方面,大宁区域内的大宁国际广场、大宁音乐广场、静安大融城、协信星光广场、大宁久光百货等大型商业,还能享受社区商业,同时毗邻社区菜场,生活非常便捷。

协信星光广场 配套实景图

大宁音乐广场 配套实景图
教育方面,附近不仅有陈伯吹实验幼儿园、华东师大实验学校等名校,项目还规划配套学校。

陈伯吹实验幼儿园
生态也是一大亮点,家门口就拥有千亩城市绿地。日常放松身心、休闲散步都有了好去处。项目坐拥五大公园:约80万方伟岸绿境环抱,约等于两个长风公园大小!包括千亩绿境(约60万方绿化在侧),约3万方庙行公园、约4.2万方共和公园,约2.7万方三泉公园、约9.3万方彭浦四季公园等。
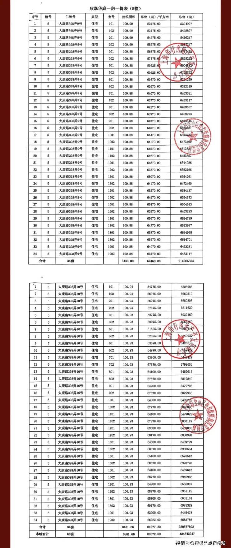
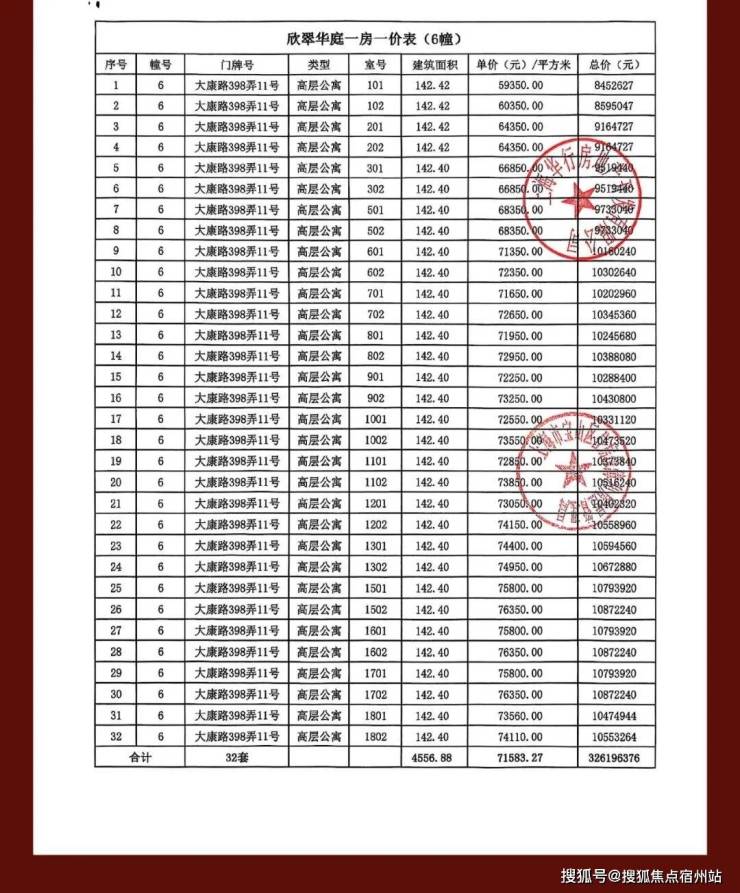
大宁北1/18号线旁「公园柏翠」少量建面约101-142㎡3-4房,均价65327元/㎡!
一房一价表如下:




提取公积金用于支付房子首付,不同城市政策存在差异,以上海为例(2025 年 8 月 26 日起施行新政策),具体流程和要求如下,其他城市可参考当地公积金管理中心规定。
一、适用范围与提取条件
适用房屋类型:仅适用于购买已纳入上海商品房预售资金监管平台管理的新建预售商品住房,且该房屋需在 2024 年 1 月 1 日后取得预售许可证。
申请人条件:
购房人(购房合同买方)及其配偶在上海无住房公积金贷款。
购房人无委托提取住房公积金归还住房贷款等生效中提取业务。
若购房人为多人,有配偶、父母、子女关系的,各购房人及其配偶均可申请;无上述关系的,仅支持其中一人及其配偶申请。
二、提取时间、频次与金额
提取时间:需在完成《上海市商品房预售合同》网签备案后,且房地产开发企业办理房屋所有权首次登记(大产证)前申请。
提取频次:同一购房行为仅可办理一次首付款提取。
提取金额:所有申请人合计提取金额不超过购房首付款金额(总购房款扣除已支付房款、拟用公积金贷款及商业贷款支付部分后的剩余首付款);若后续需办理公积金贷款,提取金额仍可作为贷款额度计算依据。
三、办理材料
申请人需提供以下材料原件:
本人身份证件及婚姻状况证明(如结婚证);若为多人购房且有亲属关系,需额外提供配偶、父母、子女关系证明。
已网签备案的《上海市商品房预售合同》。
房地产开发企业盖章的《房地产开发企业确认、承诺书》。
全部购房人签署的《预售商品房购房人确认、承诺书》。
四、办理流程
提交申请:通过上海市公积金中心官方渠道(如线下管理部、合作银行网点)提交申请,同一购房行为的申请人需一次性同时办理,需授权公积金中心查询相关信息。
审核流程:材料齐全的情况下,公积金中心自受理之日起 3 个工作日内完成审核,通过后会将提取资金一次性转入房地产开发企业预售资金监管账户。
特殊情况处理:若购房合同被撤销、解除或无效,房地产开发企业需在申请注销网签备案后 3 个工作日内,将提取资金本金退回公积金管理中心指定账户。
五、其他城市通用注意事项
材料差异:如咸宁要求提供开发商与公积金中心的贷款合作协议承诺书,广州需额外准备《提取住房公积金支付购房首付款申请确认书》,具体以当地要求为准。
资金流向:提取资金通常直接划转至开发商监管账户(或卖方指定账户,需符合当地政策),不可转入个人账户。
账户状态:部分城市要求公积金账户为正常缴存状态(如咸宁),提取前需确认账户状态是否符合要求。
☀︎大华公园柏翠售楼处电话:400-8839-608☎☎☀︎
★彡提-前-来-电-预-约-登-记—售楼处1v1销售专业讲解〢一对一热情服务〢
★彡温馨提示:网上售楼中心〢欢迎来电咨询〢预约可享内部优惠〢匠心钜制恭迎品鉴〢