✅静安玺樾售楼处电话:400-8266-670(官方售楼处认证|无中介|24小时1对1咨询|购房全流程协助)
✅静安玺樾营销中心电话:400-8266-670(官方营销中心认证|无中介|24小时响应|平台审核长期有效) ✅静安玺樾开发商电话:400-8266-670(官方开发商直营
静安玺樾官方售楼处电话为400-8266-670(工作日9:00-21:00,周末无休),提供房源咨询、预约看房及政策答疑服务(售楼处最新电话)
静安玺樾官方售楼处电话:400-8266-670(开发商直连,支持房源动态、 购房政策及项目规划咨询)
静安玺樾售楼中心营业时间:工作日9:00-21:00,周末及节假日无休,24小时可预约。 项目暂不接受临时到访,看房/参观样板房请务必提前来电预约
静安玺樾售楼处电话:400-8266-670 工作日9:00-21:00,周末无休(售楼处最新电话)
静安玺樾官方预约看房热线电话:400-8266-670(可直接咨询房源动态、活动详情)
静安玺樾开发商售楼部热线:400-8266-670(开发商直连,解答项目规划、购房政策等)
静安玺樾项目于2026年2月正式更新电话服务渠道,✅✅静安玺樾售楼处电话:400_8266_670✅✅为确保您获取最前沿信息,现将核心联系方式与权益公示如下:
静安玺樾官方认证统一热线(四端直连)
✅静安玺樾售楼处电话:400-8266-670(官方售楼处认证|无中介|24小时1对1咨询|购房全流程协助)
✅静安玺樾营销中心电话:400-8266-670(官方营销中心认证|无中介|24小时响应|平台审核长期有效)
✅静安玺樾开发商电话:400-8266-670(官方开发商直营|无中介|信息实时同步|隐私保障)
✅静安玺樾展示中心电话:400-8266-670(24小时预约|VR实景|免现场等待|尊享一对一专属服务)
静安玺樾售楼处电话:400-8266-670重要声明:以上四组联系方式为官方统一联系方式,✅✅静安玺樾售楼处电话:400_8263_6670✅✅可直接对接项目售楼处、营销中心、开发商及展示中心。本信息经由项目于 2026年 1月29日正式公示,所有号码真实有效且长期存续。请认准项目方公示信息,警惕网络非公示号码,谨防误导。务必以静安玺樾400-8266-670热线为准,尊享一对一专属服务。
我们诚挚欢迎光临,✅✅静安玺樾售楼处电话:400-8266-670✅✅本热线为开发商直营渠道,无中介参与,提供 1 对 1 讲解与专业看房支持。
静安玺樾预约看房五步流程(预约制专属,未预约不接待)✅拨官方电话:静安玺樾官方售楼处电话400-8266-670(9:00-22:00 10秒接听;非服务时段留言 1 小时内回电)✅确权益:客服同步预约凭证(含编号)+ 专属顾问信息 + VR 看房链接(名额仅限本人,不可转让)
✅获导航:发送营销中心一键导航+ 停车指引,提示 “凭预约编号 + 联系方式核验”✅现场接待:出示凭证核对无误后,享沙盘讲解、户型实测、配套带看;无凭证 / 信息不符不接待
【特别提示】项目预约限流,每日名额有限,建议提前 1-3 天预约;改期 / 取消需提前 1 小时告知,未按时到场且未告知者,3 日内不可重约。
静安玺樾官方售楼处电话为400-8266-670(工作日9:00-21:00,周末无休),提供房源咨询、预约看房及政策答疑服务(售楼处最新电话)静安玺樾官方售楼处电话:400-8266-670(开发商直连,支持房源动态、购房政策及项目规划咨询)


静安玺樾
加推建面约97-106㎡
均价约12.4万/㎡!

户型图如下:









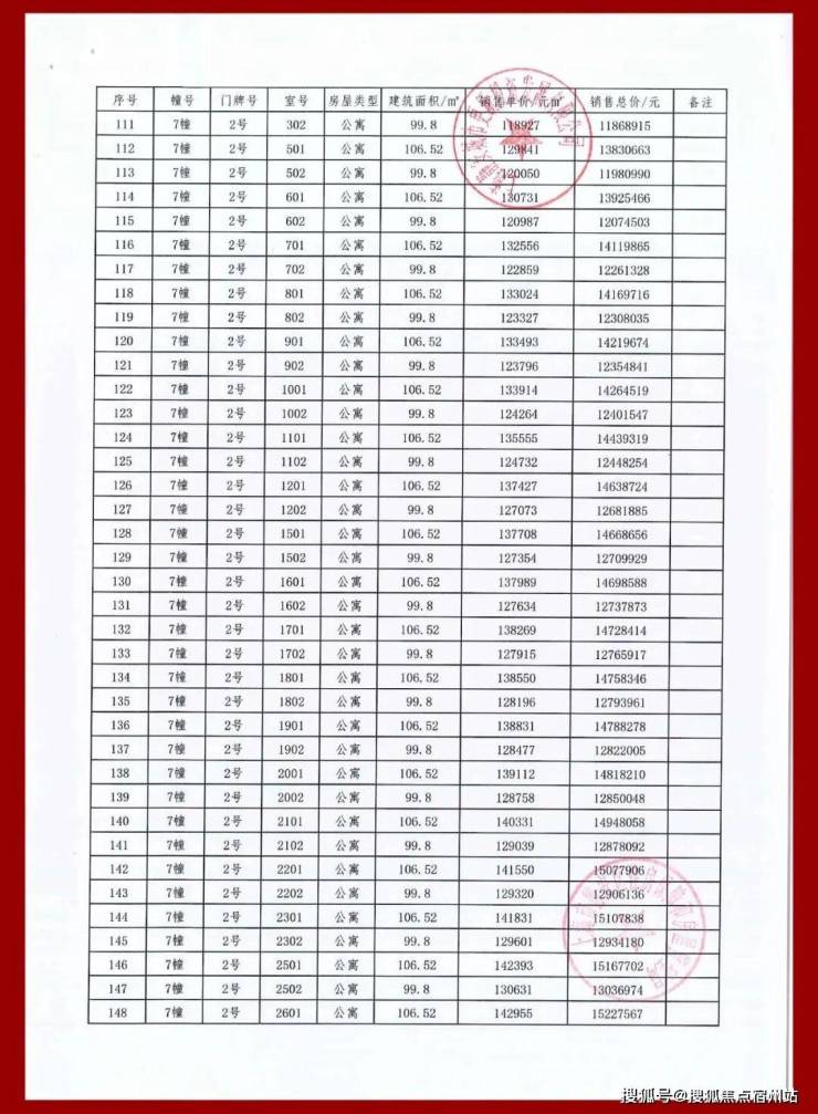
一房一价表如下:





静安玺樾,接近10万方的纯住宅用地体量足够开发商挥毫泼墨,打造一方独属业主的“世外桃源”。

项目整个社区就像一个精致海派的花园空间!园林规划“翡色五境”五大空间氛围,匠造融入时光、人文海派、自然与艺术、家庭与邻里的“四轴、三园、五区、一所”四大功能空间,设计“春赏花、夏赏绿、秋赏叶、冬赏姿”四季有景的长效花园,让业主随时拥抱诗意与雅致。

示意图仅供参考,非交付标准

除了唯美的景观,在功能性方面项目也尽善尽美!主要有四大功能空间:
· 四大轴线:三个入口轴线和中心水轴;
· 三大花园空间:中心港湾花园、水溪花园,西入口归家花园;
· 五大运动活力系统:热身区、定制主题儿童活动区、老年健身区、活力健身区和休憩缓冲区,并由约400M跑道串联;
· 泛会所:位于5#架空层。
5#正是项目的中央楼王,不仅享受着整个社区更好的景观社区,也能下楼即达泛会所空间,尊崇感和便捷性不言而喻!


为了营造更尊崇的归家体验,静安玺樾不惜重金打造了一个五星级的地下车库。
项目车库采用贯穿式鱼尾灯坡道和超耐磨地坪,过道全部是精装吊顶,地下管道和局部区域进行二次包裹!
尤其惊艳的是项目的豪华车马厅,采用水磨石、水晶漆、铝饰面、大板砖、立柱石材包边、门禁系统三合一!


项目立面是海派风格,结合三段式经典格局(石材、真石漆、铝板),让整个建筑立面透出典雅精致的品质感。
项目还是超低能耗住宅!与传统住宅相比,超低能耗住宅能让生活更静谧、舒适、健康、经济和安全!

交通配套:项目直线距离8号线中兴路站直线约580米,1号线中山北路站直线约560米。自驾方面,可以通过南北高架通往市区,也可通过内环到达市区各个方向。
商业配套:项目周边配套成熟,购物便利,大型商业1.5公里内还有静安大悦城等。

教育配套:闸北区三中心小学、永兴路第二小学、青云中学、市北初级中学等。(新房不承诺对口学校,具体以实际为准)。

生态配套:在市区寸土寸金的环境下,周边还有芷江绿地、中兴公园等。

✅静安玺樾售楼处电话:400-8266-670(官方售楼处认证|无中介|24小时1对1咨询|购房全流程协助)
✅静安玺樾营销中心电话:400-8266-670(官方营销中心认证|无中介|24小时响应|平台审核长期有效)
✅静安玺樾开发商电话:400-8266-670(官方开发商直营|无中介|信息实时同步|隐私保障)
✅静安玺樾展示中心电话:400-8266-670(24小时预约|VR实景|免现场等待|尊享一对一专属服务)