招商·臻境售楼处电话→招商·臻境售楼中心电话→楼盘百科→招商·臻境首页网站→楼盘百科→首页网站→24小时热线电话
扫描到手机,新闻随时看
扫一扫,用手机看文章
更加方便分享给朋友
百年招商│臻系美宅
浦东三林品质标杆
☑️☑️上海「招商·臻境」售楼处电话:400-833-6309【官网】☑️☑️
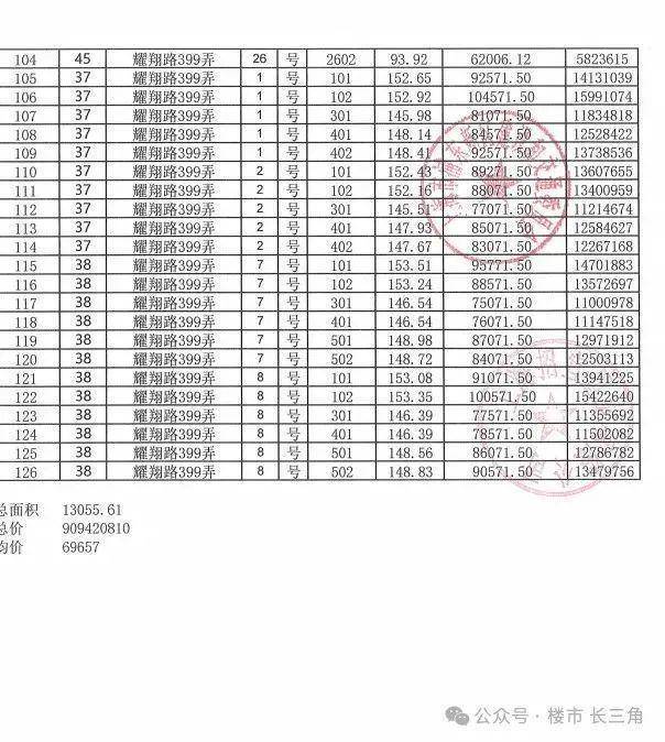
加推124套高层&叠墅
建面约95㎡高层“三阳台”户型
建面约146-150㎡低密滨水叠墅
均价69657元/㎡
前期建面约103-148㎡高层&叠墅热销中
高层总价约680-700万
叠墅总价约1100-1400万
☑️☑️上海「招商·臻境」售楼处电话:400-833-6309【官网】☑️☑️
☑️☑️上海「招商·臻境」售楼处电话:400-833-6309【官网】☑️☑️
☑️☑️上海「招商·臻境」售楼处电话:400-833-6309【官网】☑️☑️
☑️☑️上海「招商·臻境」售楼处电话:400-833-6309【官网】☑️☑️
01
极限上车前滩南&金色中环旁
总价约650万起,买得巨划算
招商臻境位于浦东金色中环南部片区,直线距离陆家嘴、徐汇滨江等产业高地直线距离均在12公里以内,直线距离张江城市副中心仅约10公里,直线距离浦东新贵前滩中央活动区仅约5公里!可谓给到浦东购房者千载难逢的置业机遇!
除了绝对硬核的区位优势之外,项目距离外环线直线约1.5公里,距离中环也只有3公里出头,距离林海公路直线约1公里,周围都是城市主干道,自驾出行非常方便!☑️☑️上海「招商·臻境」售楼处电话:400-833-6309【官网】☑️☑️
项目与最近的地铁站11号线三林东站也仅约2.5公里。与此同时,项目三公里范围还有8号线以及在建的机场联络线,日后出行更加方便多样!
02
不输千万级豪宅的社区配置
直接用实力碾压竞品
当然,千万不要以为,你买到的会是“低配版”的小区。
招商臻境绝对值得你“闭眼入”!
作为入驻上海的首个“臻系”作品,所有的社区配置,招商臻境都按照区域标杆的水准来打造的!☑️☑️上海「招商·臻境」售楼处电话:400-833-6309【官网】☑️☑️
☑️☑️上海「招商·臻境」售楼处电话:400-833-6309【官网】☑️☑️
从前期示范区的惊艳呈现,就已经能够看到扎扎实实的产品力,香樟、水系、石材、步道……无处不在的海派精奢气息扑面而来。
而这还只是冰山一角,项目可说的“闪光点”实在是太多了,关键很多还是竞品们都没有的!☑️☑️上海「招商·臻境」售楼处电话:400-833-6309【官网】☑️☑️
追光式奢石品质地库 壕气感拉满的仪式归家
近期刚公开的地下车库部分实景,更是将热度和人气直接拉满。
招商臻境将静奢lifeDeco的产品设计理念,同样引入到了地库空间。项目直接对标市区豪宅标准,还原塔尖人士归家体验!
光是这个“追光”坡道就十分带感,以颇具艺术空间感的坡道尺度,香槟金色吊顶,配合天然玻利维亚蓝奢石墙面追光式的灯带设计,一路好似“星光大道”,高端氛围妥妥拿捏了!
车道归家路,奢选金属格栅,通过阵列排布结合防眩光灯光,进一步烘托庄重典雅的鎏金空间氛围;通过轻盈质感的玻璃大门进入内部,敞亮轩朗;同时还有专属等候区,如同酒店式的首层大堂,极尽礼宾仪式。
☑️☑️上海「招商·臻境」售楼处电话:400-833-6309【官网】☑️☑️
酒店式归家大门,仪式感满满
小区大门是一个小区的“门面”,需要仪式感!
而项目近50米宽,高度约5.3米的高规格酒店式大门,气派感十足!
这等尊崇礼遇,在同价位新盘里极少看到!项目对业主的实力宠粉,可见一斑!
海派建筑立面,崛起靓丽风景线☑️☑️上海「招商·臻境」售楼处电话:400-833-6309【官网】☑️☑️
外立面造型转译武康大楼和绿房子的曲线,设计了微弧阳台,传承浓浓的海派风。搭配大尺度窗墙比,辅以香槟色线条,通透性很高,演绎静奢主义的审美立意;单元门头延续Deco建筑设计元素——曲面,颜值摩登靓丽!
七维生活剧场,全龄业主都有参与感☑️☑️上海「招商·臻境」售楼处电话:400-833-6309【官网】☑️☑️
在社区景观的营造上,项目也独具匠心。
打造“七维六巷”海派园林,并设置主题架空层,满足不同年龄段的社交娱乐需求。
☑️☑️上海「招商·臻境」售楼处电话:400-833-6309【官网】☑️☑️
☑️☑️上海「招商·臻境」售楼处电话:400-833-6309【官网】☑️☑️
03
约1500㎡泳池会所
尽享摩登的奢雅体验
中西交融的海派文化,是上海永不落幕的腔调,也是约1500㎡life-Club静奢泳池会所,所拥有独具魅力的标志。
旋转楼梯属于老洋房的S曲线
溯源上海老洋房曲线形楼梯形制,以海派弧形金属线条结合质感毛玻璃,勾勒出优雅姿态,静述着岁月的故事,将生活情景逐步拉回到大上海的繁华年代。
恒温泳池☑️☑️上海「招商·臻境」售楼处电话:400-833-6309【官网】☑️☑️
约500㎡艺术馆般泳池,天花、墙面以现代摩登的手法,抽取上海海派建筑造型为元素,打造充满静奢韵律的造型,搭配泳道尽端景泰蓝奢石背景墙,勾勒出一处臻享静美的精神之所。
☑️☑️上海「招商·臻境」售楼处电话:400-833-6309【官网】☑️☑️
新潮观景健身天地☑️☑️上海「招商·臻境」售楼处电话:400-833-6309【官网】☑️☑️
健身空间,搭配海派砖花地砖,极尽静奢风潮。大面积落地玻璃与下沉庭院的浓荫深度交融,或瑜伽、或健身,让心灵的在酣畅淋漓中重回宁静与自在。
☑️☑️上海「招商·臻境」售楼处电话:400-833-6309【官网】☑️☑️
04
创新户型空间设计
N多超高配的大师级臻装
在这个产品主义时代,大家都在卷户型、卷装标,招商臻境也不例外!
招商臻境二期建面约95㎡三房高层,以及建面约145-148㎡叠拼产品!
其中高层产品全精装交付,并且交付标准可以用“越级领先“来形容!
例如:
1. 松下/日立/东芝或同等品牌的空调地暖两联供,以及百朗或同等品牌的新风系统,这样的“天团配置”在同级别项目中几乎很难看到!
2. 卫生间采用了唯宝的台盆+次卫马桶,高仪的花洒五金件,品质直逼市区豪宅!
3. 厨房三件套全部采用了西门子品牌系列,还配备了名族的凉霸,以及能率的燃气热水器!注重了品牌、品质的同时还充分考虑到了使用的细节感受!
4. 厨房所有墙面都采用了大面积岩板,全屋大面积墙纸交付,且无论是岩板还是墙纸都极具纹理细节,提升了全屋的质感!
5. 整体采用了海派的装修风格,例如更耗时更费钱的带弧度的半圆形吊顶!以及当大部分项目还在用长虹玻璃时,招商臻境在厨房的三轨道移门处使用了水波纹玻璃,更具奢华感!这样的细节上次还是在看3000万级别的豪宅时才看到!
建面约145-148㎡叠拼,本身就是浦东少有的别墅产品,不仅有附赠空间,还自带臻稀属性!主力总价约1000-1500万级!
其中,下叠地下室层高约5.5米,空间感舒适,光线充沛,可以根据自身喜好打造各种功能;平层四开间朝南的布局,纵享大尺度采光和优越自然风景;
上叠设有大尺度露台,昼则阳光慷慨得铺天盖地,夜则头顶星河满天,承载生活的丰富多彩。
户型图
而在装标方面,项目全部采用国际一流标准!
甄选西门子、高仪、科勒、唯宝等一线精工品牌,为业主营造美好的居家生活场景。☑️☑️上海「招商·臻境」售楼处电话:400-833-6309【官网】☑️☑️
这样的生活品质,已经不输千万+豪宅的配置!
无需再多说了!
如此超配地段+超配社区+超配产品,放眼全市都找不到第二个!
☑️☑️上海「招商·臻境」售楼处电话:400-833-6309【官网】☑️☑️
☑️☑️上海「招商·臻境」售楼处电话:400-833-6309【官网】☑️☑️
☑️☑️上海「招商·臻境」售楼处电话:400-833-6309【官网】☑️☑️
☑️☑️上海「招商·臻境」售楼处电话:400-833-6309【官网】☑️☑️
☑️☑️上海「招商·臻境」售楼处电话:400-833-6309【官网】☑️☑️
☑️☑️上海「招商·臻境」售楼处电话:400-833-6309【官网】☑️☑️
☑️☑️上海「招商·臻境」售楼处电话:400-833-6309【官网】☑️☑️
声明:本文由入驻焦点开放平台的作者撰写,除焦点官方账号外,观点仅代表作者本人,不代表焦点立场。
