清晨,站在自家阳台俯瞰苏州河晨景;傍晚,在人民广场的繁华灯火中漫步回家。这就是海玥黄浦源为塔尖人士勾勒的生活图景。
☑️☑️海玥黄埔源售楼处电话:400-8377-020☑️☑️
作为上海建工集团开发的黄浦区核心豪宅项目,海玥黄浦源以其独特的超高层住宅与风貌别墅复合规划,在寸土寸金的人民广场板块打造了一片集历史文脉与现代奢华于一体的高端住区。
编辑

☑️☑️海玥黄埔源售楼处电话:400-8377-020☑️☑️
项目坐拥苏州河与黄浦江双重景观资源,目前推出建面约197-600㎡高层及180-660㎡风貌别墅,以14.5万/㎡起的均价,为上海高端住宅市场提供了难得的城心置业机会-1-5。
编辑

☑️☑️海玥黄埔源售楼处电话:400-8377-020☑️☑️
01 黄金区位:城市原点的稀缺价值
海玥黄浦源雄踞黄浦区人民广场板块,地处上海公认的“地理原点”,这一区域不仅是城市历史文脉的承载地,更是现代商业与行政的核心区-7。
项目北临苏州河,南望人民广场,西侧是南北高架,东侧是南京东路商圈,形成了真正的“黄金一公里”生活圈-2。
随着上海2035总体规划将这一区域划为中央活动区,土地供应早已归零,使得海玥黄浦源成为近十年来该区域唯一新增的低密度住宅项目,稀缺性不言而喻-2。
值得一提的是,项目直线距离1号线新闸路站仅约150米,1站直达人民广场,五轨交汇(1、2、8、12、13号线) 的交通优势,让业主轻松畅达全城-2-9。
02 产品设计:超高层与风貌别墅的完美融合
☑️☑️海玥黄埔源售楼处电话:400-8377-020☑️☑️
海玥黄浦源由1号和7号两个地块组成,呈现出两种截然不同的建筑风貌。
1号地块规划有3栋超高层和1栋高层,其中1号楼高达165米,刷新了黄浦区住宅天际线,成为区域新地标-1-3。
编辑

☑️☑️海玥黄埔源售楼处电话:400-8377-020☑️☑️
7号地块则完整保留了石库门海派建筑风格,复建1900-1935年间的18栋历史建筑,外立面手工修复青砖红瓦,内部却预埋全屋智能系统,实现了“旧里新魂”的反差魅力-2-9。
在建筑品质上,开发商不惜成本,外立面采用大面积整装铝板,而非常见的小块拼接铝板,大幅提升了建筑质感与耐久性-1。
编辑

☑️☑️海玥黄埔源售楼处电话:400-8377-020☑️☑️
社区内部还围合出近3000㎡的集中绿地,在市中心创造出罕见的园林空间,形成了“出则繁华、入则宁静”的居住体验-1。
03 户型赏析:全段位产品覆盖多元需求
海玥黄浦源提供了从紧凑两居到奢华别墅的全系列产品,满足不同客群的多元化需求。
高层住宅
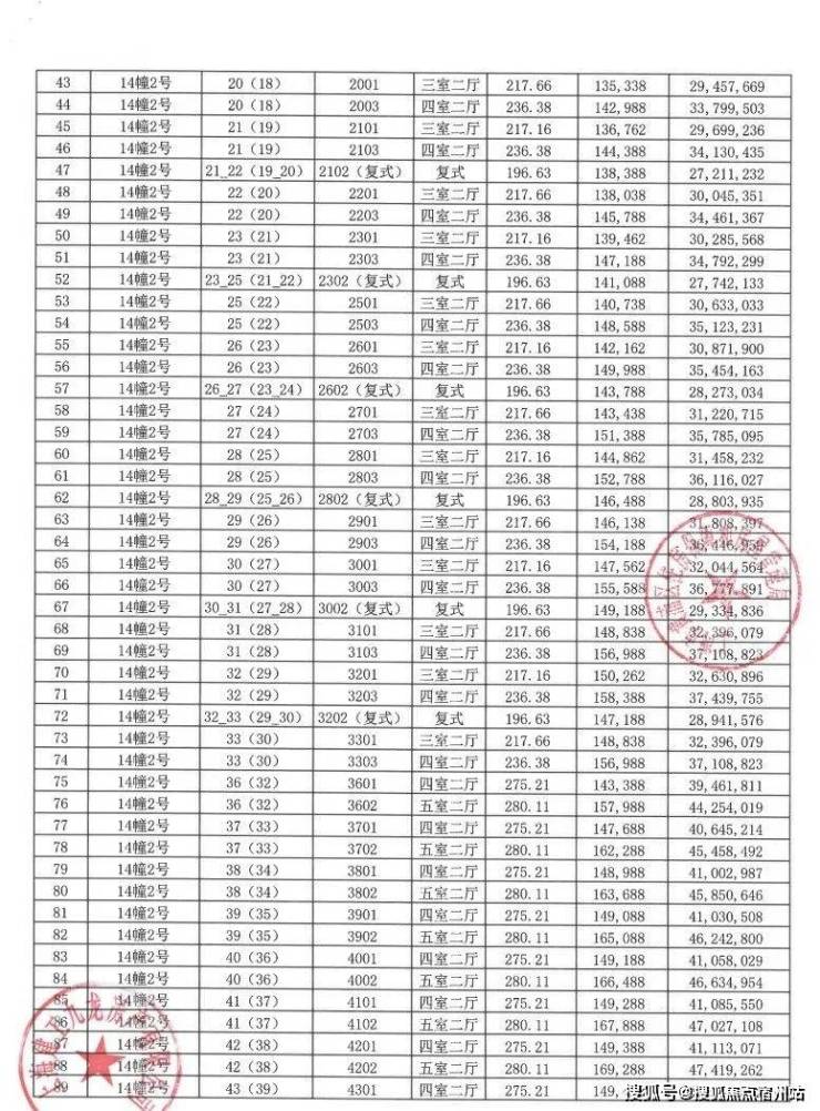
高层住宅主力户型为建面约193-303㎡的三至五房,其中303㎡户型采用五开间朝南、四卧朝南的双套房设计-5。
该户型创新性地采用“三厅联通”设计——中轴线串联阳台、客厅、餐厅和家庭厅,既保证了通透性,又创造了灵活的社交场景-1。
更值得一提的是,建面约303㎡户型标配2梯1户、私享梯厅,保证了居住的私密性与尊贵感-5。
风貌别墅☑️☑️海玥黄埔源售楼处电话:400-8377-020☑️☑️
7号地块的风貌别墅堪称项目的王冠明珠,地上面积220-550㎡,上下5层设计,实际使用面积可达600-1000㎡-5-6。
编辑

☑️☑️海玥黄埔源售楼处电话:400-8377-020☑️☑️
别墅区容积率仅1.2,在浦西内环内堪称绝版,52套的稀缺供应更显珍贵-2-5。
这些别墅不仅附赠地下空间、私家庭院及双层露台,更融合了历史风貌与现代舒适,一层层高约3.6米,营造出奢阔的空间尺度-5-6。
04 生活配套:十分钟全能生活圈
海玥黄浦源周边配套成熟完善,为业主提供全方位的高品质生活体验。
商业资源☑️☑️海玥黄埔源售楼处电话:400-8377-020☑️☑️
项目步行5分钟可达南京东路、万象天地;10分钟至上海大剧院、自然博物馆;15分钟直达外滩源-2。
周边六大沪上塔尖商圈叠合,东至南京东路商圈,西至南京西路商圈、静安寺商圈,南至新天地、淮海路商圈,满足全方位的高端购物需求-9。
教育资源
项目周边有曹光彪小学、格致初级中学等黄浦区第一梯队学校,目前落户政策按黄浦区执行,产权登记即可申请-2。
区域内还有私立永昌学校等优质教育资源,满足一站式教育需求-9。
医疗资源☑️☑️海玥黄埔源售楼处电话:400-8377-020☑️☑️
1公里内有长征医院、仁济医院西院等三甲医院;3公里范围覆盖瑞金医院等全国排名前列的医疗机构,为家人健康保驾护航-2-4。
05 价值潜力:城心资产的稀缺标的
海玥黄浦源凭借其“地段稀缺+价格倒挂+文化IP+圈层纯粹” 四大硬核逻辑,成为上海高端房产市场的重点关注对象-2。
目前,项目高层均价14.5万/㎡,风貌别墅均价24.82万/㎡,与同板块新盘普遍21万+/㎡及华侨城苏河湾二手别墅挂牌已破30万/㎡的价格形成明显倒挂-1-2。
随着东斯文里城市更新的全面推进,区域将打造成为苏州河沿岸重要的高端金融枢纽地、艺术文创集聚区,未来价值可期-4。
站在海玥黄浦源165米的超高层空中别墅,苏州河美景尽收眼底;漫步在7号地块的石库门弄堂,历史文脉触手可及。这正是海玥黄浦源的独特魅力——同时拥有城市的繁华与历史的沉淀。
编辑

☑️☑️海玥黄埔源售楼处电话:400-8377-020☑️☑️
正如一位看房者感叹:“在这里,百年文脉与未来地标只有一步之遥。”海玥黄浦源不仅是一处居所,更是收藏上海城市记忆与未来的珍稀资产。
编辑

【海玥黄浦源】
真正上海老牌市中心
建面约200-400㎡3-5房
195-217-237㎡空间方正
277-281㎡ 俯瞰苏州河景观
总价2500-6600万
均价14.56万/㎡一线品牌精装交付
少量房源 直接可定
☑️☑️海玥黄埔源售楼处电话:400-8377-020☑️☑️
编辑

☑️☑️海玥黄埔源售楼处电话:400-8377-020☑️☑️
高区景观实拍
人民广场旁 一手现房【海玥黄浦源】
高区大平层277㎡、281㎡ 俯瞰苏河湾与城市中轴,无遮挡极致视野;
一线滨水小高层303㎡三面环景,得房率高达80%;
195㎡、217㎡ 、237㎡ 空间方正,动静分区,满足主流改善需求;
无论是家庭换房、资产配置,还是纯改善需求,都能在这里找到匹配答案。
总价2500-6600万 现房 直接定!
编辑

☑️☑️海玥黄埔源售楼处电话:400-8377-020☑️☑️
编辑

☑️☑️海玥黄埔源售楼处电话:400-8377-020☑️☑️
编辑

☑️☑️海玥黄埔源售楼处电话:400-8377-020☑️☑️
编辑

编辑

编辑

☑️☑️海玥黄埔源售楼处电话:400-8377-020☑️☑️
编辑

编辑

☑️☑️海玥黄埔源售楼处电话:400-8377-020☑️☑️
编辑

编辑

☑️☑️海玥黄埔源售楼处电话:400-8377-020☑️☑️
编辑

☑️☑️海玥黄埔源售楼处电话:400-8377-020☑️☑️
样板房提前线上预约
仅预约客户可实体参观!
☑️☑️海玥黄埔源售楼处电话:400-8377-020☑️☑️
请报名后静待销售电话,确认再前往 现场 !仅预约客户可进入销售现场!
编辑

☑️☑️海玥黄埔源售楼处电话:400-8377-020☑️☑️
会所实拍
编辑

☑️☑️海玥黄埔源售楼处电话:400-8377-020☑️☑️
编辑

☑️☑️海玥黄埔源售楼处电话:400-8377-020☑️☑️
编辑

☑️☑️海玥黄埔源售楼处电话:400-8377-020☑️☑️
黄浦内环内、人民广场板块,上海建工集团“正黄浦”纯豪宅项目—— 海玥黄浦源三期,项目 8、2号栋楼涵盖建面约94-402㎡多种户型,主力户型303㎡五房4月17号明日开启认购!
编辑

其中2#为超高层,北向可观小区绿化和苏河景观,高区可瞰三件套盛景。
编辑

☑️☑️海玥黄埔源售楼处电话:400-8377-020☑️☑️
项目效果图,以实际呈现为准
4#是16层小高层,为项目楼王,也是市心真正限量款、收藏级产品。
我们来简单分析一下:
1、论臻稀性:
在市心超高层成为供应主力的背景下, 小高层显得尤为稀缺,是市心金字塔尖端的物业。
☑️☑️海玥黄埔源售楼处电话:400-8377-020☑️☑️
可以大胆预测,黄浦未来的小高层就那么几栋,卖一栋少一栋。
何况,项目4#还是临苏州河的小高层,价值更上一层。
划重点:项目小高层只有48套,错过再无!
编辑

☑️☑️海玥黄埔源售楼处电话:400-8377-020☑️☑️
2、论未来价值:
物以稀为贵,小高层在市中心竞品少,执掌独立定价权,房价更容易走出独立行情。
3、论居住舒适度,小高层是市心独一档产品。
▶得房率高达约81%。
要知道,如今市面上的新房得房率普遍在约75%左右。
换算一下:
同样一套建面约302㎡房源,海玥黄浦源多出约18㎡实际使用面积。
用14万/㎡换算,那可是约252万的真金白银。
▶该栋楼南向可观3000㎡中央景观绿化;中间户型6层以上北可观苏州河景,且两侧都能看见苏州河景。
可见4#大部分楼层都直面苏州河,这栋楼的景观视野放在当下新房市场是独一份的,只有48套,错过再无!
项目效果图,以实际呈现为准
☑️☑️海玥黄埔源售楼处电话:400-8377-020☑️☑️
编辑

☑️☑️海玥黄埔源售楼处电话:400-8377-020☑️☑️
▶该栋楼拥有尊贵感、舒适度、使用率MAX的户型。
建面约193、237㎡为类一梯一户设计,拥独立门厅;建面约302㎡标配两梯一户,排面和仪式感全部All in。
主卧堪称星级套房,配置独立衣帽间、双台盆+淋浴空间+大浴缸。
另外,安排多重收纳,让每一个空间都能高效利用。
户型图如下
(过程稿仅供参考非交付标准)
建面约280㎡户型图
建面约236㎡户型图
建面约196㎡户型图
建面约275㎡户型图
建面约217㎡户型图
建面约217㎡户型图
建面约198㎡户型图
建面约281㎡户型图
建面约237㎡户型图
建面约302㎡户型图
建面约193㎡户型图
建面约237㎡户型图
☑️☑️海玥黄埔源售楼处电话:400-8377-020☑️☑️ 建面约400㎡样板间
编辑

☑️☑️海玥黄埔源售楼处电话:400-8377-020☑️☑️
编辑

编辑

☑️☑️海玥黄埔源售楼处电话:400-8377-020☑️☑️
编辑

编辑

☑️☑️海玥黄埔源售楼处电话:400-8377-020☑️☑️
样板房提前线上预约
仅预约客户可实体参观!
请报名后静待销售电话,确认再前往 现场 !仅预约客户可进入销售现场!
☑️☑️海玥黄埔源售楼处电话:400-8377-020☑️☑️
此外, 项目从建筑高度、外立面、品质等都剑指上海地标级豪宅。
海玥黄浦源一号地块由1幢小高层和3幢超高层组成, 最高的1号楼建成后将高达约165米(项目1、2号楼均提前实现结构封顶),这个高度既刷新了黄浦天际线,更超过了汤臣一品、华侨城苏河湾等超高层住宅。
这一地标属性,也为项目增添了一份收藏价值,以及油然而生自豪的身份感。
而登高之后,你就能明显感受到超高层住宅的景观优势。
华灯初上,外滩恢弘夜景、陆家嘴三件套闪耀的璀璨灯光、“恒梅泰”商圈摩天大楼灯光流转变幻,脚下街角巷陌霓虹闪烁,你所能想到的关于上海的亮眼景色,都被一一收入眼底。
在外立面上,项目与外滩万国建筑博览群的建筑风格一脉相承,为ARTDECO风格,三段式立面,塑造出有立体感的韵律天际线。
材质方面不计成本采用古铜色、深灰色+铝板、镜面铝板的完美搭配,再镶嵌竖向线条和立面层次,威仪肃穆。
另外, 项目内部围合起近3000㎡的开放式绿地。
项目效果图,以实际呈现为准
编辑

☑️☑️海玥黄埔源售楼处电话:400-8377-020☑️☑️
因为寸土寸金,市中心项目不会有太集中的中心景观。
而海玥黄浦源,因地制宜进行“一星四叶”的建筑排布,围合出了市心罕见的约3000㎡集中景观。
值得一提,项目北侧紧邻九子公园、苏州河景观步道等,这就形成了 内外双绿地的格局,为高净值人士营造了市中心难得 “出则显、入则藏”的居住氛围,可一键从繁华快生活切换到诗意慢生活。
编辑

☑️☑️海玥黄埔源售楼处电话:400-8377-020☑️☑️
海玥黄浦源直线南京西路“恒梅泰”只有约1.5公里,自行车即可达。
约2.5公里内涵盖南京东路、人广来福士、外滩、新天地、淮海路、老城厢等顶级商圈和地标。
编辑

南京西路商圈实景图
这些地标大多可通过地铁抵达,项目周边汇聚 1号线新闸路站、13号线上海博物馆站。
不仅商业浓度惊人,项目周边更是网红地标林立,比如 人民公园、自然博物馆、上海博物馆、上海大剧院、静安雕塑公园等市政配套。
编辑

☑️☑️海玥黄埔源售楼处电话:400-8377-020☑️☑️
上海大剧院实景图
另外,上海优质医疗资源也都集中在附近,项目步行范围有长征医院(三甲综合),仁济医院西院(三甲综合),3公里范围选择更丰富,多所全国排名前列的医院,实属顶配。
海玥黄浦源绝对地段和配套浓度是你后期花再多钱都买不到的。
编辑

☑️☑️海玥黄埔源售楼处电话:400-8377-020☑️☑️
市中心大部分区域发展已固化,未来比拼更多是城市更新势能的竞争。
典型如新天地,那类似新天地的巨变还有吗?
有!且将是超越新天地的存在!
据市规划和自然资源局介绍,上海现存规模最完整的成片广式石库门建筑群—— 东斯文里将全面启动城市更新。
来源上海发布
☑️☑️海玥黄埔源售楼处电话:400-8377-020☑️☑️
超越新天地不是我定义的,而是官微上海发布的标题!
而官微之所以有这样的判断,是因为无论是 定位、规模、能级还是业态,东斯文里都全面超越新天地!
①定位:东斯文里将打造滨水高端金融枢纽地!
事实上,整个市中心除聚集高端金融业的除了陆家嘴、外滩金融城,下一个金融高地就是东斯文里。
根据规划,东斯文里将以“人文百年斯文里,静安苏河金融湾”为愿景,将打造成为 苏州河沿岸重要的高端金融枢纽地、艺术文创集聚区、城市文化标志区和多元活力展示区。
而为了承载这些高端产业,区域集中设置顶级品质商务楼宇,形成高低错落、疏密有致的建筑空间格局和新旧呼应的风貌特质。
编辑

☑️☑️海玥黄埔源售楼处电话:400-8377-020☑️☑️
更新单元概念效果图 设计单位:查普门泰勒
②规模能级:被苏州河贯穿,规模高达约80公顷的滨水城市更新!
东斯文里的总用地面积高达约90.05公顷,其中涉及风貌保护建筑量就有约6万方 ,绝对的大手笔。
更重要的是,比起新天地,东斯文里内含稀缺的生态资源——苏州河。
围绕这一天赋, 东斯文里加入了大量生态休闲元素,宜居属性指数级提升。
编辑

☑️☑️海玥黄埔源售楼处电话:400-8377-020☑️☑️
斯文绿谷是区域的亮点,这里采用立体复合式的空间结构,是聚客核心,也是多元活动场所,向四周辐射人流。
它东西结合历史里弄与当代高层建筑,南北连接静安雕塑公园与滨水景观,不同氛围延伸至此,相互碰撞影响,将成为 公共艺术浸润的诗意空间、文旅商娱集聚的文化地标、绿色低碳开放活力的金融湾区、彰显创新富于创意的科创峡谷。
编辑

更新单元概念方案效果图 来源:査普门泰勒建筑设计事务所
③业态:旧而新生,新旧共生!超越新天地张园的时尚街区蓄势待发!
要知道,东斯文里所在的区域规划酝酿了十多年,吸取新天地、张园等前辈经验,将站在巨人肩膀上再超越。
东斯文里涉及风貌保护建筑量约6万方,规划明确,要在保护整体历史风貌肌理格局的原则下,创新设计,手法也极其多样,有风貌保护、修缮、改造等,为旧的空间格局打造全新未来。功能业态也是多元复合的, 设计引入石库门风貌酒店,创意办公,合院办公,艺术街坊,重现往日活力。
内中环预计17万+,那黄浦的上限远远不止17万+,这些都大大加剧了收藏海玥黄浦源的紧迫性,不到15万/㎡买上海正中心,机遇稍纵即逝!且这次楼王产品登场,小高层+直面苏州河,臻稀性更上一层。
☑️☑️海玥黄埔源售楼处电话:400-8377-020☑️☑️ 【海玥黄浦源】
真正上海老牌市中心
建面约200-400㎡3-5房
195-217-237㎡空间方正
277-281㎡ 俯瞰苏州河景观
总价2500-6600万
均价14.56万/㎡一线品牌精装交付
少量房源 直接可定
在上海的心脏地带——黄浦,时间从不流逝,只被珍藏。
这里是外滩1.2公里内的风貌肌理之上,一座名为「海玥黄浦源*的顶级风貌住区,正以罕见的姿态重现黄浦塔尖的生活想象。
建面约240-660㎡风貌别墅, 实景准现房、 一线核心地段、 纯粹低密社区,既是传世的收藏品,更是上海中心稀有的“可居的历史”。

☑️☑️海玥黄埔源售楼处电话:400-8377-020☑️☑️
—— 恭迎品鉴 ——
CONTACT US / 联系我们
☑️☑️海玥黄埔源售楼处电话:400-8377-020☑️☑️
📍 项目名称:海玥黄浦源(1号地块)
🏗 开发商:上海建工房产
📐 建筑形态:Art Deco风貌超高层住宅
🏢 建筑高度:约165米(人民广场板块第一高住宅)
🏠 产品类型:建面约240-660㎡大平层
🧭 项目位置:黄浦区·东斯文里·苏州河沿岸
🚇 交通配套:地铁1/2/8号线人民广场站、13号线自然博物馆站
🌳 项目亮点:风貌更新首发单元|Hill静怡住宅体系|领空权大宅|Art Deco建筑群
🎨 产品状态:准现房在售

☑️☑️海玥黄埔源售楼处电话:400-8377-020☑️☑️
01

☑️☑️海玥黄埔源售楼处电话:400-8377-020☑️☑️
领空权大宅|165米超高层定义上海之巅
海玥黄浦源1号地块,以 165米的高度刷新浦西住宅封面,
成为人民广场板块第一高住宅、苏州河沿岸第一高住宅、北黄浦第一高住宅。
这不仅是一座住宅,更是一种身份的象征——
如同纽约的ONE57、432 Park Avenue之于曼哈顿,
它代表着城市精英的“ 领空权”,是站在上海上空的稀缺居住资格。
📍 上海超高层豪宅序列对比:
汤臣一品:153米(2005年)
华侨城苏河湾:150米(2012年)
海玥黄浦源:165米(2024年)
跨越20年豪宅代际, 以高度超越旧豪宅时代的第一序列。
📸 视野说明:
☑️☑️海玥黄埔源售楼处电话:400-8377-020☑️☑️
东望陆家嘴三件套、苏河湾、北外滩
南观人民广场、南京路、淮海路
东南朝向新天地、南外滩夜景带
西南远眺静安寺、梅恒泰与东斯文里风貌区
没有遮挡,无遮挡的 四向城市天际线视野,
是黄浦心中真正的“ 城市观礼台”。

☑️☑️海玥黄埔源售楼处电话:400-8377-020☑️☑️
02

☑️☑️海玥黄埔源售楼处电话:400-8377-020☑️☑️
风貌更新首发|人民广场唯一成片开发区
海玥黄浦源所在的「东斯文里」,
是 上海“三师联创”十大城市更新风貌单元首发项目,
与黄浦外滩、衡复、老城厢并列为四大核心更新单元之一。
这也是人民广场板块中 唯一的、最后的成片风貌更新区,
以“一街之隔”的位置,衔接了新天地的石库门生活与苏州河滨水文化。
风貌界面:
东斯文里风貌区
九子公园
杜月笙粮仓旧址(苏州河创意园区)
社区保留老洋房建筑群
形成 上海市中心第一风貌界面,
是黄浦区内最具“石库门传承记忆”的新一代风貌豪宅。

☑️☑️海玥黄埔源售楼处电话:400-8377-020☑️☑️
03

☑️☑️海玥黄埔源售楼处电话:400-8377-020☑️☑️
Hill静怡住宅|上海首创八大恒静系统
针对南北高架及城市中心噪声环境,
海玥黄浦源研发“ Hill静怡住宅体系”,
从建筑、社区、设备到室内系统实现主动降噪与恒静体验。
八大恒静技术体系包括:
1️⃣恒静立面(≥45dB隔声标准)
2️⃣恒静墙体(全现浇混凝土分户墙)
3️⃣恒静设备(消音减震机组)
4️⃣恒静电梯(三菱3m/s电梯+独立隔音井道)
5️⃣恒静门窗(德国旭格系统窗)
6️⃣恒静楼板(EPS隔音系统)
7️⃣恒静新风(SINKO新晃独立系统)
8️⃣恒静空调(三菱重工中央空调)
辅以风貌建筑围合式社区设计,
既消噪、降噪,又构筑尊贵静谧的 风貌门庭归家仪式感。