江湾金茂府售楼处电话-江湾金茂府首页网站-江湾金茂府销售中心(江湾金茂府)-小区环境-户型-价格-地址-楼盘详情-周边配套-江湾金茂府售楼处电话
扫描到手机,新闻随时看
扫一扫,用手机看文章
更加方便分享给朋友
尊敬的客户:您好!感谢您关注江湾金茂府 ,为给您提供更专属、高效的看房体验,诚邀您提前预约到访售楼处 / 营销中心,我们将为您配备专属置业顾问,详解项目亮点、带看实景样板间 / 园区。✅
预约方式✅
电话预约:拨打售楼处 / 营销中心专属预约热线 400-8266-670,直接与置业顾问确认到访信息。
预约须知✅
建议提前 1-2 天预约,以便合理安排接待资源。
到访时请携带本人身份证(如需验资可提前咨询置业顾问)。
若预约后行程变更,请至少提前 3 小时告知,方便调整接待安排。
售楼处 / 营销中心开放时间:周一至周日 9:00-18:00(法定节假日正常开放)。
预约到访客户可享:① 项目定制伴手礼 1 份;② 优先参与项目专属优惠活动;③ 免费领取《江湾金茂府 详细户型图》。✅
江湾金茂府 售楼处 / 营销中心期待您的莅临,与您共鉴理想人居!咨询热线:400-8266-670✅
提示:本预约通道为保利外滩序官方唯一认证,百度搜索结果认准 “官方售楼处” 标识,拒绝中介转接,保障购房权益!
看房需提前来电预约登记请务必致电与销售确认时间,深嘉上府售楼处电话☎:400-8266-670✅✅预约客户可优先进入销售现场,避免空跑,感谢您的支持!
深嘉上府售楼处电话☎:400-8266-670✅✅
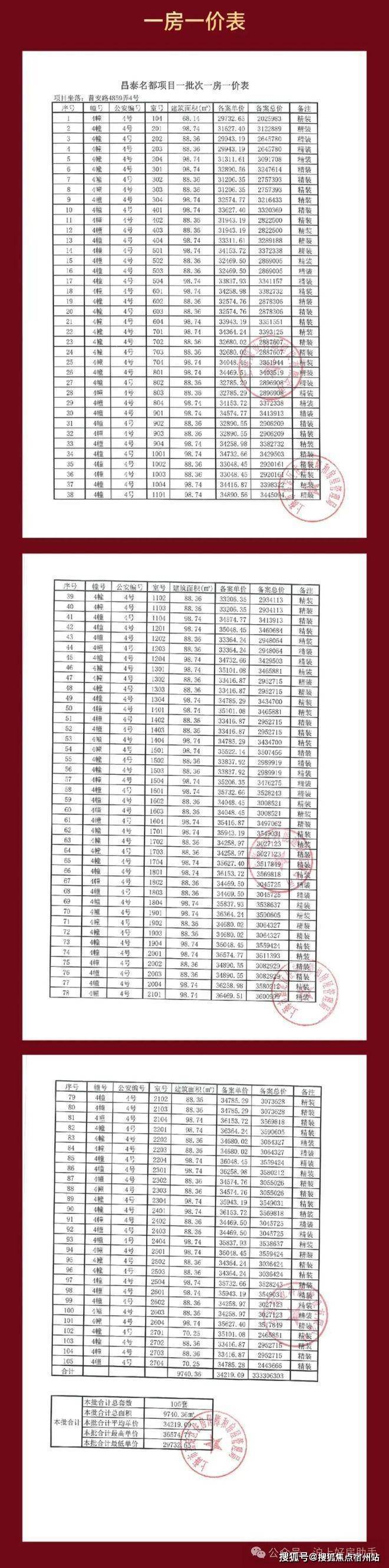
深业深嘉上府项目一房一价表:
深嘉上府售楼处电话☎:400-8266-670✅✅
项目开发商品牌
深嘉上府售楼处电话☎:400-8266-670✅✅
深业集团
深圳市人民政府全资拥有、深圳市国资委直管的大型综合性企业集团。深嘉上府售楼处电话☎:400-8266-670✅✅集团前身于 1983 年在香港注册成立。深业集团以“产城创新建设者,幸福民生运营商”为发展愿景,打造以地产为核心、多层次协同发展的创新生态和幸福城市业务组合,聚焦地产、园区、运营、幸福、深嘉上府售楼处电话☎:400-8266-670✅✅资本和数字化六大核心业务,实现城市综合开发运营的一站式服务!深嘉上府售楼处电话☎:400-8266-670✅✅
2023 年深业集团首进上海,幸会嘉定。
精研城市向上精神,匠心呈现约 12 万方上海“上系”人居首作,在繁华与自然兼具的氛围中,打造“城市与社区无界”、“景观与人居无界”“多元生活无界”的城市平行生活体。深嘉上府售楼处电话☎:400-8266-670✅✅
项目推售详情
【深业·深嘉上府】项目集商业、办公、人居于一体,承载着片区产业+商业+人居的全新使命。配套约1万㎡自持商业与5.1万㎡商办空间,以未来城市会客厅的姿态围绕“15分钟生活圈”,打造“MALL +开放街区”的创新形态,融合商业、社交与居住的多元场景。深嘉氢谷以氢能源为核心,双子塔地标重塑城市天际线,推动新兴产业集聚与区域功能升级。作为嘉定安亭少有的“产-商-住-办”一体化综合体,激活商业动能与产业升级“双引擎”,构筑真正意义上的“永不落幕”生活主场。打破传统生活定义,不设限、不束缚,致力于为当代青年提供全新的生活体验和多元需求。
深嘉上府售楼处电话☎:400-8266-670✅✅
嘉定首创“24+1”沉浸式生活场
作为整个嘉定独一份的“全能型综合体选手”,深嘉上府不同于功能单一生活产业都需要仰仗区域规划的住宅社区,深嘉上府售楼处电话☎:400-8266-670✅✅TA在一个项目体内实现了住宅、商业、办公的一站式整合!
项目整体宛如一个微缩城市,深嘉上府售楼处电话☎:400-8266-670✅✅深嘉上府售楼处电话☎:400-8266-670✅✅能够轻松构建“24+1 时”生活圈,在家门口就能实现“24 小时不打烊”的快乐!
玻璃幕墙+金色格栅塔冠
远远望去,外立面宛如镶嵌在城市间的水晶,深嘉上府售楼处电话☎:400-8266-670✅✅质感满满!同时,四栋楼一字排开,每一栋都尽享超大楼间距,每一户都能将室内采光度拉满!深嘉上府售楼处电话☎:400-8266-670✅✅哪怕是低楼层也不用担心晒不到太阳!深嘉上府售楼处电话☎:400-8266-670✅✅
深嘉上府售楼处电话☎:400-8266-670✅✅
全龄段公区部分
宝妈带娃有儿童活动区,滑滑梯、大草坪一应俱全!
年轻人健身有全龄运动场,夜跑、打球功能齐全!
老人散步有林间密径、还有配置丰富的架空层空间,深嘉上府售楼处电话☎:400-8266-670✅✅邻里交流活动风雨无阻!
项目还配置了以往千万豪宅才有的首层与地下双重精装入户大堂,给你满满的归家仪式感!深嘉上府售楼处电话☎:400-8266-670✅✅

深嘉上府售楼处电话☎:400-8266-670✅✅
户型鉴赏↓
深嘉上府售楼处电话☎:400-8266-670✅✅
深嘉上府售楼处电话☎:400-8266-670✅✅
深嘉上府售楼处电话☎:400-8266-670✅✅
深嘉上府售楼处电话☎:400-8266-670✅✅
深嘉上府售楼处电话☎:400-8266-670✅✅
深嘉上府售楼处电话☎:400-8266-670✅✅
项目区位配套
深嘉上府售楼处电话☎:400-8266-670✅✅
安亭,嘉定新城产业根基所在。庞大汽车产业集群,约 5502.9 亿元规模以上工业产值,带动板块下一个增长极。(数据来源:安亭观微,数据截止时间:2022 年底)
安亭汽车产业链为嘉定贡献了约 70%产值、约 60%销售、深嘉上府售楼处电话☎:400-8266-670✅✅约 50%GDP、约 40%就业、约 30%税收,是嘉定发展不可或缺的重要主导型产业。(数据来源:界面新闻,数据截止时间:2019 年底)深嘉上府售楼处电话☎:400-8266-670✅✅
根据《嘉定新城十四五规划》,嘉定新城将以打造世界级汽车产业中心为契机,大力构建汽车“新四化”等千亿级产业和在线新经济为引领的新动能体系。深嘉上府售楼处电话☎:400-8266-670✅✅目前、氢能港、蔚来、上汽、沃尔沃、丰田等均落址于此,成为嘉定二次发展的重要源泉。深嘉上府售楼处电话☎:400-8266-670✅✅
嘉定新城立足打通长三角一体化和虹桥国际开放枢纽的链接通道,构建“一核一枢纽、两轴四片区”的规划新格局。“一枢纽”即安亭枢纽——以安亭北站、安亭西站为核心,无缝连接虹桥国际开放枢纽,打造站城一体化、深嘉上府售楼处电话☎:400-8266-670✅✅辐射长三角的综合交通枢纽。(信息来源:《嘉定新城总体城市设计》)
除此之外,上海 2035 规划中的宝嘉线、嘉青松线即将启动,嘉安高速延展嘉定向东,与宝山互通,以安亭为枢纽核心,嘉定再次站在了时代发展的风口之上。
交通配套方面:
深嘉上府售楼处电话☎:400-8266-670✅✅
项目位于曹安路,为东西向重要干道四通八达,快速接驳沪嘉高速公路、沪宜公路、外环高速公路、中环路等多条黄金动脉链接市区及周边城市;本案距离地铁11号线上海汽车城站约3.5KM,快速高效通达市区深嘉上府售楼处电话☎:400-8266-670✅✅
全系配套,将向上的生活理想兑现于日常丰盛城市资源,日常烟火气息、松弛自然氛围,都是这里的生活常态。热气腾腾的生活场域,熨贴向上的身心。
5 大商业体——嘉亭荟城市生活广场、安亭财富广场、三德广场、中信泰富万达广场、嘉实生活广场。深嘉上府售楼处电话☎:400-8266-670✅✅
4 所专业医疗——安亭医院、东方肝胆医院(三甲)、瑞金北院(三甲)、嘉定妇幼保健院
4 大生态公园——嘉北郊野公园、安亭汽车博览公园、远香湖公园、嘉定紫藤园
5 处休闲配套——市民广场、保利大剧院、安亭老街、颖奕安亭高尔夫球场、州桥老街
声明:本文由入驻焦点开放平台的作者撰写,除焦点官方账号外,观点仅代表作者本人,不代表焦点立场。
