贝涟c1 (售楼处) 电话- 贝涟c1销售中心 - 环境 - 户型 - 价格 - 地址 - 楼盘详情 - 配套 - 电话 - 交房时间 - 配套 - 电话 - 交房时间-贝涟c1 楼盘欢迎您
扫描到手机,新闻随时看
扫一扫,用手机看文章
更加方便分享给朋友
上海贝涟c1 售楼处热线:400-8266-670(预约看房专线)✔✔✔
上海-贝涟c1 营销中心咨询电话☎:400-8266-670(优先锁定房源)✅✅✅
贝涟c1 售楼处官方预约电话⭐⭐400-8266-670(24小时在线响应)✔✔✔
无论您是想了解户型详情、区位配套,还是预约实地看房,都欢迎随时来电咨询!专业置业顾问一对一热情服务,用专业视角帮您选到心仪好房~
贝涟c1 售楼处热线☎400-8266-670【官方认证】✔ 贝涟c1 营销中心专线⭐⭐400-8266-670 售楼处地址咨询☎400-8266-670 看房预约热线同步启用☎400-8266-670✅✅✅

奉贤新城 地铁5号线旁约400米
贝好家上海的首个作品
【贝涟C1】
100%装修交付
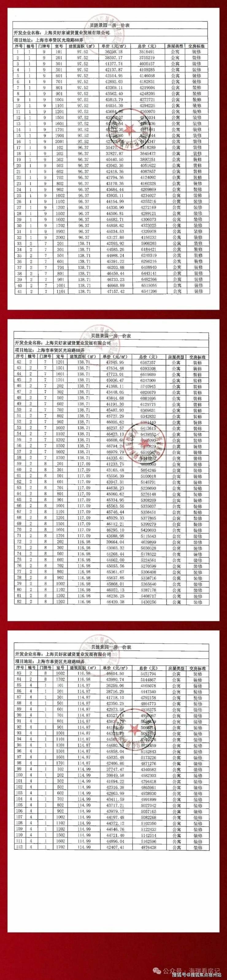
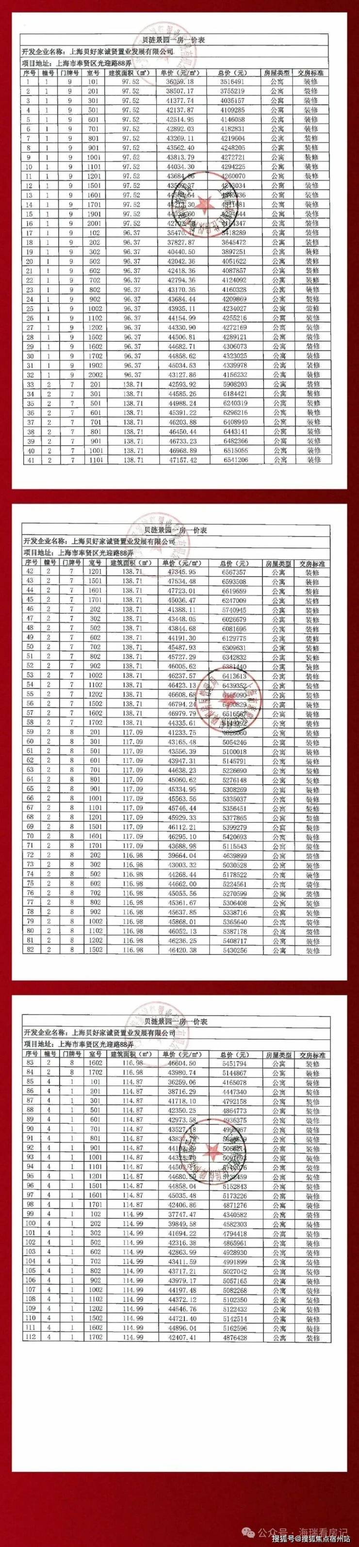
推出建面约97-139㎡高层
过会均价43538元/㎡
今天认筹!

贝好家上海1号作品,秉持C2M理念,重新定义人向往景观自然、空间服务于人、智能懒生活三大未来人居新标准;
项目结合新加坡花园城市与立体绿化理念,贝涟C1将建筑融入城市风景线,打造了更生态、高颜值、更能代表奉贤气质的封面形象,成就一眼惊艳的建筑美学;
自然生态:舍弃人工雕琢的刻意修剪,平衡生态与功能的空间美学;
立体渗透:从景观车库、景观架空层,为自然流淌与生长留足空间;
街角绿化:三株“贝之花”,自绿境中昂扬
礼序归家:约176米门庭,尽显归家尊崇
空中绿廊:立体
景观连廊,城市生态封面﹙此处指1号楼12F和15F﹚
待售户型:
立体交通 城市级综合路网
5号线、15号线南延伸段(在建中)、市域嘉闵线南延伸段(规划中)、沪乍杭高铁(规划中)及南枫线(在建中)。
繁华商业 自在生活场
近场域|约2公里范围内享新世界生活广场、百联南桥购物中心、苏宁生活广场、传悦坊、上江南渔岸新里商业中心。
上海之鱼|总规划面积约253公顷,由迪拜棕榈岛设计师担纲设计
九棵树(上海)未来艺术中心|法国建筑大师作品,以“森林剧院”获誉鲁班奖
海之花活动中心|约9.4万平米,获上海白玉兰优质建设奖
菁英教育
奉贤中学、奉贤中学附属初中、奉贤中学附属小学、金海幼儿园、弘文学校、奉贤中学三官堂学校、青溪中学、南音幼儿园、明德外国语小学(本内容仅对周围学校进行位置展示、描述,对口学区期房不进行承诺,关于学区问题以当地教育局或其他政府机构颁布的政策为准)。
优质医疗:奉贤中心医院、复旦大学附属儿科医院奉贤院区(在建)、奉贤区中医医院、中国福利会国际和平妇幼保健院(奉贤院区)、新华医院奉贤院区(试运营中)。
上海贝涟c1 售楼处热线:400-8266-670(预约看房专线)✔✔✔
上海-贝涟c1 营销中心咨询电话☎:400-8266-670(优先锁定房源)✅✅✅
贝涟c1 售楼处官方预约电话⭐⭐400-8266-670(24小时在线响应)✔✔✔
声明:本文由入驻焦点开放平台的作者撰写,除焦点官方账号外,观点仅代表作者本人,不代表焦点立场。
