2025深业·深嘉上府(营销中心)首页官方网站-深嘉上府售楼中心(售楼处)深嘉上府售楼处电话-地址-价格-户型-小区环境-楼盘详情-周边配套

搜狐焦点宿州站 2025-09-08 02:00:00
用手机看
扫描到手机,新闻随时看

扫一扫,用手机看文章
更加方便分享给朋友

深嘉上府售楼处预约电话:400-8824-198

「深业·深嘉上府」

嘉定芯 同济旁

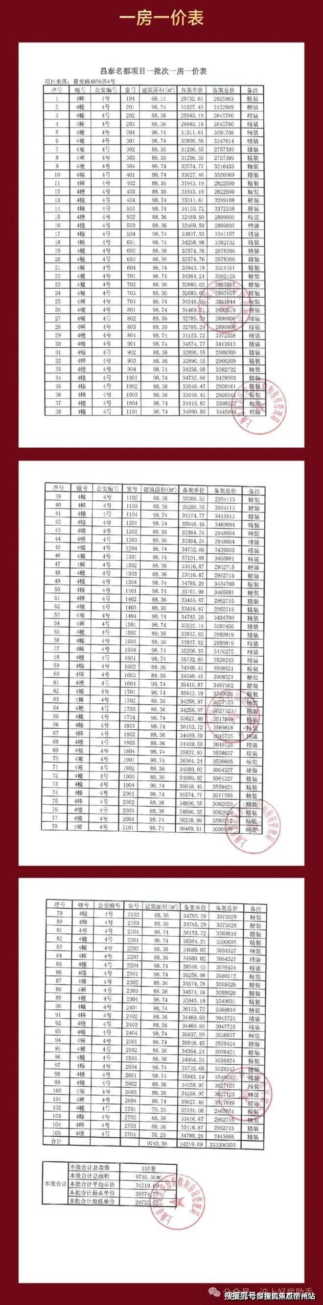
推出建面约88-99㎡三房户型

均价34219元/㎡ 总价约251万起

国企钜制+全屋精装+14号地铁口(在建)

样板房提前线上预约

深嘉上府售楼处预约电话:400-8824-198

深业·深嘉上府售楼处预约电话:400-8824-198

项目开发商品牌

深业集团

深业·深嘉上府售楼处预约电话:400-8824-198深圳市人民政府全资拥有、深圳市国资委直管的大型综合性企业集团。集团前身于 1983 年在香港注册成立。深业集团以“产城创新建设者,幸福民生运营商”为发展愿景,打造以地产为核心、多层次协同发展的创新生态和幸福城市业务组合,聚焦地产、园区、运营、幸福、资本和数字化六大核心业务,实现城市综合开发运营的一站式服务!

2023 年深业集团首进上海,幸会嘉定。

深业·深嘉上府售楼处预约电话:400-8824-198精研城市向上精神,匠心呈现约 12 万方上海“上系”人居首作,在繁华与自然兼具的氛围中,打造“城市与社区无界”、“景观与人居无界”“多元生活无界”的城市平行生活体。

项目推售详情

深业·深嘉上府售楼处预约电话:400-8824-198项目集商业、办公、人居于一体,承载着片区产业+商业+人居的全新使命。配套约1万㎡自持商业与5.1万㎡商办空间,以未来城市会客厅的姿态围绕“15分钟生活圈”,打造“MALL +开放街区”的创新形态,融合商业、社交与居住的多元场景。深嘉氢谷以氢能源为核心,双子塔地标重塑城市天际线,推动新兴产业集聚与区域功能升级。作为嘉定安亭少有的“产-商-住-办”一体化综合体,激活商业动能与产业升级“双引擎”,构筑真正意义上的“永不落幕”生活主场。打破传统生活定义,不设限、不束缚,致力于为当代青年提供全新的生活体验和多元需求。

嘉定首创“24+1”沉浸式生活场

深业·深嘉上府售楼处预约电话:400-8824-198作为整个嘉定独一份的“全能型综合体选手”,深嘉上府不同于功能单一生活产业都需要仰仗区域规划的住宅社区,TA在一个项目体内实现了住宅、商业、办公的一站式整合!

项目整体宛如一个微缩城市,能够轻松构建“24+1 时”生活圈,在家门口就能实现“24 小时不打烊”的快乐!

玻璃幕墙+金色格栅塔冠

深业·深嘉上府售楼处预约电话:400-8824-198远远望去,外立面宛如镶嵌在城市间的水晶,质感满满!同时,四栋楼一字排开,每一栋都尽享超大楼间距,每一户都能将室内采光度拉满!哪怕是低楼层也不用担心晒不到太阳!

全龄段公区部分

宝妈带娃有儿童活动区,滑滑梯、大草坪一应俱全!

年轻人健身有全龄运动场,夜跑、打球功能齐全!

深业·深嘉上府售楼处预约电话:400-8824-198老人散步有林间密径、还有配置丰富的架空层空间,邻里交流活动风雨无阻!

深业·深嘉上府售楼处预约电话:400-8824-198项目还配置了以往千万豪宅才有的首层与地下双重精装入户大堂,给你满满的归家仪式感!

户型分布↓

(首开4号楼)

户型鉴赏↓

深业·深嘉上府88㎡3房样板间实拍:

深业·深嘉上府售楼处预约电话:400-8824-198

深业·深嘉上府99㎡3房样板间实拍:

深业·深嘉上府售楼处预约电话:400-8824-198

项目区位配套

深业·深嘉上府售楼处预约电话:400-8824-198安亭,嘉定新城产业根基所在。庞大汽车产业集群,约 5502.9 亿元规模以上工业产值,带动板块下一个增长极。(数据来源:安亭观微,数据截止时间:2022 年底)

安亭汽车产业链为嘉定贡献了约 70%产值、约 60%销售、约 50%GDP、约 40%就业、约 30%税收,是嘉定发展不可或缺的重要主导型产业。(数据来源:界面新闻,数据截止时间:2019 年底)

深业·深嘉上府售楼处预约电话:400-8824-198根据《嘉定新城十四五规划》,嘉定新城将以打造世界级汽车产业中心为契机,大力构建汽车“新四化”等千亿级产业和在线新经济为引领的新动能体系。目前、氢能港、蔚来、上汽、沃尔沃、丰田等均落址于此,成为嘉定二次发展的重要源泉。

深业·深嘉上府售楼处预约电话:400-8824-198嘉定新城立足打通长三角一体化和虹桥国际开放枢纽的链接通道,构建“一核一枢纽、两轴四片区”的规划新格局。“一枢纽”即安亭枢纽——以安亭北站、安亭西站为核心,无缝连接虹桥国际开放枢纽,打造站城一体化、辐射长三角的综合交通枢纽。(信息来源:《嘉定新城总体城市设计》)

除此之外,上海 2035 规划中的宝嘉线、嘉青松线即将启动,嘉安高速延展嘉定向东,与宝山互通,以安亭为枢纽核心,嘉定再次站在了时代发展的风口之上。

交通配套方面:

深业·深嘉上府售楼处预约电话:400-8824-198项目位于曹安路,为东西向重要干道四通八达,快速接驳沪嘉高速公路、沪宜公路、外环高速公路、中环路等多条黄金动脉链接市区及周边城市;本案距离地铁11号线上海汽车城站约3.5KM,快速高效通达市区

深业·深嘉上府售楼处预约电话:400-8824-198全系配套,将向上的生活理想兑现于日常丰盛城市资源,日常烟火气息、松弛自然氛围,都是这里的生活常态。热气腾腾的生活场域,熨贴向上的身心。

深业·深嘉上府售楼处预约电话:400-8824-198,5 大商业体——嘉亭荟城市生活广场、安亭财富广场、三德广场、中信泰富万达广场、嘉实生活广场。

深业·深嘉上府售楼处预约电话:400-8824-198,4 所专业医疗——安亭医院、东方肝胆医院(三甲)、瑞金北院(三甲)、嘉定妇幼保健院

深业·深嘉上府售楼处预约电话:400-8824-198,4 大生态公园——嘉北郊野公园、安亭汽车博览公园、远香湖公园、嘉定紫藤园

深业·深嘉上府售楼处预约电话:400-8824-198,5 处休闲配套——市民广场、保利大剧院、安亭老街、颖奕安亭高尔夫球场、州桥老街

深业·深嘉上府售楼处预约电话:400-8824-198

8月25日,上海市住房城乡建设管理委、市房屋管理局、市财政局、市税务局、人民银行上海市分行、市公积金管理中心等六部门联合印发《关于优化调整本市房地产政策措施的通知》(以下简称《通知》),包括调减住房限购、优化住房公积金、优化个人住房信贷以及完善个人住房房产税等政策。《通知》自2025年8月26日起施行。

一、调减住房限购政策

为更好满足居民改善性需求,促进宜居安居、职住平衡,《通知》明确进一步调减住房限购政策。一是符合条件居民家庭在外环外购房不限套数。对符合本市住房购买条件的居民家庭,包括本市户籍居民家庭、在本市连续缴纳社会保险或个人所得税满1年及以上的非本市户籍居民家庭,在外环外购买住房不限套数,包括新建商品住房和二手住房。二是成年单身人士按照居民家庭执行住房限购政策。

按照上述规定,沪籍居民家庭和沪籍成年单身人士,在外环外购买住房不限套数;在外环内限购2套住房。非沪籍居民家庭和非沪籍成年单身人士,自购房之日前在本市连续缴纳社会保险或个人所得税满1年及以上的,在外环外购买住房不限套数;自购房之日前在本市连续缴纳社会保险或个人所得税满3年及以上的,在外环内限购1套住房。

关于住房限购政策相关业务,可拨打房地产交易行业服务热线“962269”具体咨询。

二、优化住房公积金政策

为加大公积金支持住房消费力度,《通知》规定优化住房公积金政策。一是提高个人住房公积金贷款额度。对缴存人购买二星级及以上新建绿色建筑住房的,住房公积金(含补充公积金)最高贷款额度上浮15%。首套最高贷款额度从160万元提高至184万元,多子女家庭首套上浮比例可叠加计算,从192万元提高至216万元;二套最高贷款额度从130万元提高至149.5万元。二是支持提取住房公积金支付购房首付款。对缴存人购买我市新建预售商品住房的,可以按规定申请提取本人及配偶的住房公积金支付购房首付款。三是支持住房公积金“又提又贷”。对缴存人提取住房公积金支付购房首付款的,不影响其住房公积金贷款额度计算。

关于住房公积金贷款和提取业务的具体办理方式及材料,可查询上海住房公积金官网或拨打住房公积金热线“12329”具体咨询。

三、优化调整商业性个人住房贷款利率定价机制

为减轻居民购房利息负担,《通知》明确优化个人住房信贷政策。银行业金融机构根据上海市市场利率定价自律机制要求和本机构经营状况、客户风险状况等因素,在利率定价机制安排方面不再区分首套住房和二套住房,合理确定每笔商业性个人住房贷款的具体利率水平。

关于住房贷款相关业务,可向经办银行具体咨询。

四、完善个人住房房产税政策

为衔接优化住房限购政策,《通知》规定对符合条件的非本市户籍居民家庭购买的第一套住房暂免征收房产税;购买的第二套及以上住房在合并计算家庭全部住房面积后,给予人均60平方米的免税面积扣除。由于个人住房房产税按年征收,因此2025年1月1日起符合条件的购房者可享受本条政策。

声明:本文由入驻焦点开放平台的作者撰写,除焦点官方账号外,观点仅代表作者本人,不代表焦点立场。