中国中铁·世纪尚城(售楼处) 官方 - 销售中心 - 环境 - 户型 - 价格 - 地址 - 楼盘详情 - 配套 -中国中铁·世纪尚城售楼处电话 - 交房时间 - 配套 - 电话
扫描到手机,新闻随时看
扫一扫,用手机看文章
更加方便分享给朋友
✅中铁世纪尚城售楼处电话:400-8854-706✅︎✅︎✅
✅上海中铁世纪尚城营销中心热线400-8854-706(官方预约看房热线)
为给广大意向购房客户提供更优质、高效、便捷的置业咨询服务,特制定本接待服务指引,助力您的看房选房之旅更顺畅、更省心。
一、日常营业安排售楼处日常接待时段为每日 9:00-18:00,无差别覆盖工作日晚间及周末、节假日全天,精准匹配不同客群的时间节奏:
针对上班族客群,晚间 17:00-18:00 专属接待时段保障您下班后可从容到访,无需担心工作与看房冲突;
针对家庭客群,周末及节假日全天开放,且现场配备儿童休憩区、便民饮水点等设施,让全家看房更舒适惬意。
无论您是利用午休间隙、下班之余,还是周末全家出行,都可随时到访咨询项目详情,无需为时间受限而顾虑。
为避免您到场后出现长时间等候、沟通不充分等情况,保障一对一专属洽谈的专业质量,强烈建议您提前致电 400-8854-706 预约专属销售顾问。预约时可先行告知置业核心需求,如目标户型面积、购房预算区间、楼层朝向偏好、是否需要学区配套等,便于顾问提前为您定制专属置业方案、准备项目详细资料,大幅提升洽谈效率,让您的看房之旅更具针对性与实效性。
「中国中铁世纪尚城」奉贤新城 纯新盘央企中铁大桥局品质匠造建面约 73-99㎡瞰景高层 精装交付约 105-134㎡岛居叠墅 毛坯交付总价:高层 195 万起 叠墅 353 万起售楼处线上预约火热开启背靠央企开发商
【中国中铁世纪尚城】项目是央企中铁大桥局武汉置业公司投资开发,中铁大桥局是具有120余载发展历史的中国中铁旗下的全资子公司。中国中铁是隶属于国务院国资委的特大型骨干企业,是全球最大的建筑承包商之一。排名中国建筑行业第一位。已经连续17年位列世界500强企业。2022年排名世界500强企业第34位。并且在2022年《财富》中国排行榜中位列中国500强企业第5位。
中铁大桥局集团前身为 1953 年修建万里长江第一桥 “武汉长江大桥”、经政务院批准成立的铁道部大桥局,是中国桥梁事业领军者,更是世界桥梁设计数量最多的企业,堪称中国 “一带一路” 走向世界的 “建桥国家队”。集团在全球范围内建造桥梁超 3000 座,总里程逾 3600 公里,建桥技术稳居国际领先水平。近 70 载深耕,公司先后参与建设杭州湾跨海大桥、东海大桥、港珠澳大桥、武汉长江大桥、南京长江大桥等一众知名工程,始终引领中国桥梁事业发展方向,而今更以建桥之心志,精筑品质人居。
✅中铁世纪尚城售楼处电话:400-8854-706✅︎✅︎✅
✅上海中铁世纪尚城营销中心热线400-8854-706(官方预约看房热线)
✅中铁世纪尚城售楼处电话:400-8854-706✅︎✅︎✅
✅上海中铁世纪尚城营销中心热线400-8854-706(官方预约看房热线)
总建筑面积:约15万方
产权年限:70年
容积率:1.5
绿化率:35%
物业类型:瞰景高层(14-16层)、岛居叠墅
交付标准:高层精装交付,叠墅毛坯交付
主力户型:
瞰景高层/ 73㎡二房一卫,85㎡、99㎡三房二卫
岛居叠墅/ 105㎡、 118㎡、123㎡、134㎡
✅中铁世纪尚城售楼处电话:400-8854-706✅︎✅︎✅
✅上海中铁世纪尚城营销中心热线400-8854-706(官方预约看房热线)
项目容积率仅1.5,由高层、叠墅、配套商业及酒店组团融汇成低密度舒适人居新境界。引贝港水景入园,穿行社区,绕叠墅区而过,匠造情景水系,融合绿色生态·运动健康·智慧人居多重元素,打造罕见的生态宜居岛居墅境社区。
✅中铁世纪尚城售楼处电话:400-8854-706✅︎✅︎✅
✅上海中铁世纪尚城营销中心热线400-8854-706(官方预约看房热线)
富氧绿色之城项目引水入园,打造抱水的社区中央公园,设计多元特色、适宜不同年龄人群的五大园系空间,高大乔木、灌木、花卉、草坪等多层次景观系统,丰富的植被,让项目为负氧离子环绕,在这绿意丰境之中,感受四季缤纷与鲜氧生活。
✅中铁世纪尚城售楼处电话:400-8854-706✅︎✅︎✅
✅上海中铁世纪尚城营销中心热线400-8854-706(官方预约看房热线)
全龄运动之城以智慧运动理念,将多元运动形式植入日常。室内恒温泳池、沿河景观跑道,搭配虚拟马拉松,让运动满溢乐趣。构建全龄活动与户外休闲空间,打造复合型生活场所,成就全民运动的活力社区,为每一位城市奋斗者定制多元化健身空间,让身心回归本真,重焕满满活力。
多维智慧之城
引入智慧安防变社区治理为“智”理,多重安防保障,确保方便与安全。用云计算、物联网等先进的信息化技术手段,焕新智慧家居体验,实现生活智能化覆盖,让家更智慧。新一代信息技术,为生活注入科技,中国中铁·世纪尚城争作智慧社区的践行者,开启智能人居新风范。
项目还配套了近2000平方米的会所
其实在上海,拥有这样一个超炫酷的室内恒温泳池,都是相对高端的品质住宅才会有的
与此同时,还有一个健身房,业主不用出家门就可以享受健康生活
✅中铁世纪尚城售楼处电话:400-8854-706✅︎✅︎✅
✅上海中铁世纪尚城营销中心热线400-8854-706(官方预约看房热线)
项目推售信息
【中国中铁·世纪尚城】二期加推建面约73~99㎡精装高层及建面约105-134㎡毛坯叠墅,共计336套房源,均价33182元/㎡,目前正在认购中!从鸟瞰图能够看出,项目占地以叠墅为主,形成静谧高端的墅质圈层。
瞰景高层(精装)▼
约73平两房户型,南北通透设计,南向瞰境阳台、主卧搭配飘窗,总价控制在200万不到,超低门槛,从容上车;
✅中铁世纪尚城售楼处电话:400-8854-706✅︎✅︎✅
✅上海中铁世纪尚城营销中心热线400-8854-706(官方预约看房热线)
约85平三房户型,更是做到了三开间朝南,全卧室飘窗,拥有超大赠送面积,全明双卫,甚至主卫也附带飘窗,实用性拉满,而且该户型大部分房源总价在230万左右!
约99平明星户型,舒适3居,南北通透,三开间朝南,全卧室飘窗,超大赠送面积引景入室,还配有嵌入式玄关柜,进阶优选。
叠变空间 墅说美好
项目匠心打造舒适上下两叠户型:105㎡、123㎡星空上叠及118㎡、134㎡臻品下叠。多层空间格局,将理想生活场景融入多维空间中,每一层空间都可以自在规划,下为家庭烟火、休闲娱乐,上为私人空间,静谧休憩。叠墅多维空间,尽享百变乐趣。
△叠墅效果图
建面约105-134㎡岛居叠墅,打破一“层”不变的格局,为居者缔造怦然心动的生活方式。空间的叠加,带来的不仅是空间的开阔,更是墅式理想生活的享受。
✅中铁世纪尚城售楼处电话:400-8854-706✅︎✅︎✅
✅上海中铁世纪尚城营销中心热线400-8854-706(官方预约看房热线)
花园下叠 奢阔空间
臻品下叠,设计南向绿化空间,做到真正有天有地有花园。感受庭院深深之意境,感受四季变换与勃勃生机。
△下叠绿化空间示意图
多功能奢阔主卧套房,给予更自由的私密空间,全景飘窗、步入式衣帽间、独立阳台,品味优雅生活,惬享人生自在秘境。
△134㎡下叠衣帽间效果图
赠送全明地下室,以5.35米阔绰层高搭建夹层,充分体现小面积营造大空间的优势。赋予了生活第N+1种可能,学习、健身房、家庭影院、图书角......经过精心合理的打造,每一处空间都藏着惊喜,盛放更多闲情逸致。
△134㎡地下室效果图
✅中铁世纪尚城售楼处电话:400-8854-706✅︎✅︎✅
✅上海中铁世纪尚城营销中心热线400-8854-706(官方预约看房热线)
真正的经典历经时光凿磨,也不曾有任何褪色。中国中铁·世纪尚城臻品叠墅,上有星空为顶,下有花木同居。繁华与静谧共享,低密与奢阔共存。在此,尽情四季雅静时光,实现有天有地的墅居梦。
约134平下叠4房户型,紧邻贝港河畔,纯美水岸筑造诗意栖居,全房共有2层并附赠全明地下室,地上首层为生活区,设计南向绿化空间,做到真正的有天有地有花园!
超大面宽横厅,优越采光,餐厅+客厅形成宽阔的活动空间。
立体的空间设计,又可以让大家庭各个成员各得其所,顺畅交流的同时又能做到互不干扰。
庭前绿地,可以拾花种草,让孩子、萌宠亲近自然,趣味无穷;或者拓展兴趣空间,拾取生活中的热爱与乐趣,为自我留下一片宁静之地。
全明地下室,以阔绰高度约5.35米,赋予了生活第N+1种可能,学习、健身房、家庭影院、图书角,经过精心合理的打造,将成为主人精彩的私享领地,盛放更多闲情逸致。
✅中铁世纪尚城售楼处电话:400-8854-706✅︎✅︎✅
✅上海中铁世纪尚城营销中心热线400-8854-706(官方预约看房热线)
✅中铁世纪尚城售楼处电话:400-8854-706✅︎✅︎✅
✅上海中铁世纪尚城营销中心热线400-8854-706(官方预约看房热线)
以星空为顶,以自然为底,星空上叠宽境阳台,远眺是美景,仰望是星空。自然与生活无界交融,春饮茶、夏温书;枕水而眠,星河入梦。
全尺飘窗,延伸室内空间,更多采光与健康,进可文艺,退可居家。全明附赠空间,可根据需求个性化改造,小到儿童玩具房,大到阳光书房,让生活“大”有作为。择居于此,幸福刚刚好
△123㎡上叠效果图
约123平上叠3房户型,共上下两层,全明设计,格局开阔,宽景阳台,上承天空,下承生活。
四层为2间起居室,全南卧室,从容尽享和煦阳光与清风,主卧套房,私密有度,尽享舒适日常。
品质三卫,主客分明,起居互不打扰。
全尺飘窗,延伸空内空间尺度向阳光更进一步,让生活更多一重享受。
全明附赠空间,可根据需求个性化改造仰望是星空,远眺即美景!
✅中铁世纪尚城售楼处电话:400-8854-706✅︎✅︎✅
✅上海中铁世纪尚城营销中心热线400-8854-706(官方预约看房热线)
✅中铁世纪尚城售楼处电话:400-8854-706✅︎✅︎✅
✅上海中铁世纪尚城营销中心热线400-8854-706(官方预约看房热线)
✅中铁世纪尚城售楼处电话:400-8854-706✅︎✅︎✅
✅上海中铁世纪尚城营销中心热线400-8854-706(官方预约看房热线)
【中国中铁·世纪尚城】位于上海高速发展中的五大新城之一的奉贤新城南扩圈,柘林核心区。区域承接奉贤新城南拓发展任务,根据规划区域将建设成为生态、生产与现代生活有机结合的南上海“绿色规划”示范区。项目正位于此核心位置,一路之隔柘林镇政府。紧邻10万方贝港滨水公园,以央企品质、大国匠心,礼献生态宜居生活,盛启南上海时代墅居理想。
交通配套方面:周边拥有完善的交通路网,四纵三横立体路网。通过沪金高速、金海路自驾快速到达莘庄及市区各个区域;距离轨交5号线规划平庄西路站约3.5km(线路主体结构已建成);此外轨交奉贤线规划加快推进中;便捷、舒心、高效生活轻松启航。
商业配套方面:自持1.4万方社区底商,周边3.6万方邻里商业及综合配套中心已建成,即将投入使用。7km范围内包含爱企谷、南桥百联商圈、宝龙广场、人民路商圈、龙湖奉贤天街等商业体,举步都市璀璨生活a
教育资源资源:目前西侧有新寺学校,根据政府规划区域将再规划4所幼儿园2个小学1个初中1个高中。而紧临地块南侧即为一所幼儿园规划用地(新房不承诺对口学校,以后期主管部门划分为准)
✅中铁世纪尚城售楼处电话:400-8854-706✅︎✅︎✅
✅上海中铁世纪尚城营销中心热线400-8854-706(官方预约看房热线)
医疗资源方面:规划中社区医院举步可达;自驾可快速到达上海交通大学附属第六人民医院南院(奉贤中心医院)、国妇婴奉贤院区(已投入使用)、三甲新华医院(在建),为健康保驾护航
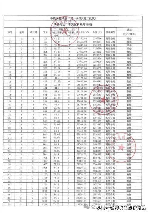
项目一房一价表
✅中铁世纪尚城售楼处电话:400-8854-706✅︎✅︎✅
✅上海中铁世纪尚城营销中心热线400-8854-706(官方预约看房热线)
声明:本文由入驻焦点开放平台的作者撰写,除焦点官方账号外,观点仅代表作者本人,不代表焦点立场。
