保利虹桥和颂三期售楼处电话→保利虹桥和颂三期售楼中心电话→保利虹桥和颂三期→首页网站→楼盘测评→售楼中心电话→楼盘百科→首页网站→24小时热线电话

搜狐焦点宿州站 2025-09-01 06:00:00
用手机看
扫描到手机,新闻随时看

扫一扫,用手机看文章
更加方便分享给朋友

保利虹桥和颂三期售楼处热线400-1183-605

青浦:保利虹桥和颂三期,首付45万起上车大虹桥!新政落地,限购放开,再一次上演热销。附一房一价表。总价298~586万

☑️☑️保利虹桥和颂三期售楼处电话:400-1183-605☑️☑️

点击输入图片描述(最多30字)

8月25日,上海官宣外环外限购取消,政策闸门一开,让本就聚焦无数目光的大虹桥,瞬间涌入大批购房者,尤其首付45万起的保利虹桥和颂三期,成了外环外置业必看焦点。8月30号开盘,好楼层先到先得,此刻犹豫手慢即无。(信息来源:人民日报)☑️☑️保利虹桥和颂三期售楼处电话:400-1183-605☑️☑️

点击输入图片描述(最多30字)

☑️☑️保利虹桥和颂三期售楼处电话:400-1183-605☑️☑️

点击输入图片描述(最多30字)

好地段价值力

外环外置业必看焦点

☑️☑️保利虹桥和颂三期售楼处电话:400-1183-605☑️☑️

大虹桥再扩容,重固正式划入大虹桥商务区范围,从“大虹桥辐射区”边缘板块到“国际开放枢纽”发展重要支点,在此背景下,区域战略级资源的倾斜力度不断加大,兑现进程持续加速。☑️☑️保利虹桥和颂三期售楼处电话:400-1183-605☑️☑️

点击输入图片描述(最多30字)

总投资近120亿元,华为全球最大的研发中心,今年年底完成约30000员工进驻办公;虹桥无界百创城千亿级科创产业集群,已经收储了千余亩集中连片可出让产业净地,正成为越来越多企业发展的新空间。(信息来源:上海法制报、绿色青浦)☑️☑️保利虹桥和颂三期售楼处电话:400-1183-605☑️☑️

上海买房铁律永远就一句:跟着轨交走!示范区线重固站(在建)直线距离项目只有约600米,开通后3站虹桥枢纽,5站华为基地,7站抵达张江,这条串联多个科创高地的产业金线,彻底打破大虹桥房价体系:同半径3站内,徐泾单价7万+、华漕6万+,而重固还在3字头,保利虹桥和颂三期,总价300万级就能上车大虹桥央企精装三房,价差肉眼可见。(信息来源:上海市域铁路示范区线选线专项规划在建中、小胖看房)☑️☑️保利虹桥和颂三期售楼处电话:400-1183-605☑️☑️

这并不是保利发展首入重固,一期保利虹桥和颂以强劲实力一举打破板块沉寂,虹吸超10000人次流量,引发市场热烈关注。后续保利虹桥和颂・IN255首开即劲销4.68亿元,更是创下重固板块约60%的统治级市占率;一年多内连清两盘,成为区域首个快速清盘的开发商,且两个项目成交套数稳居大虹桥TOP1,销量与流速硬核背书,打开了板块知名度,获得市场认可。(信息来源:网上房地产)☑️☑️保利虹桥和颂三期售楼处电话:400-1183-605☑️☑️

点击输入图片描述(最多30字)

保利虹桥和颂三期自认购通道开启后,购房者纷至沓来,洽谈区座无虚席,沙盘区被层层围住,单日最高访客户200+人次,其中老业主更是变身“最佳推荐官”,推荐来访就达56组,不少老业主甚至亲自带着亲友实地探访,真诚分享缤纷配套、绿化环境、户型细节等带来的便捷与舒心,这份信赖转化为强劲购买力,截至目前累计认购已超100组,再一次上演“和颂式”热销。☑️☑️保利虹桥和颂三期售楼处电话:400-1183-605☑️☑️

点击输入图片描述(最多30字)

☑️☑️保利虹桥和颂三期售楼处电话:400-1183-605☑️☑️

点击输入图片描述(最多30字)

这份现象级热度的背后,从来不是偶然的流量眷顾,而是保利虹桥和颂三期,站在为大虹桥造一座国际生活大城与营造板块城市活力的高度,统筹片区发展,以好产品为基石、好生活为内核,不断自我迭代升级的必然结果。☑️☑️保利虹桥和颂三期售楼处电话:400-1183-605☑️☑️

点击输入图片描述(最多30字)

好生活超配力

开启活力日常的崭新期待

☑️☑️保利虹桥和颂三期售楼处电话:400-1183-605☑️☑️

每一个定居大虹桥重固的人,都渴望获得更便捷、更活力、更松弛的生活。

保利发展以实际行动践行央企责任与担当,不同于“建完即走”传统开发逻辑,秉承入则深耕的长期主义模式,在重固连番落子,进阶式开发了保利虹桥和颂、保利虹桥和颂·IN255、保利虹桥和颂三期品质住宅群,并洞察业主对日常配套的需求,将公园、商业、会所等城市活力配套都搬到家门口,为业主营造一座国际化宜居大城。☑️☑️保利虹桥和颂三期售楼处电话:400-1183-605☑️☑️

点击输入图片描述(最多30字)

社区入口处约2000㎡邻里商街,与双河水系形成前街后河漫步环,将便捷生活融入楼下日常,清晨的美味小食,傍晚的蔬果采买,将最后1公里的品质生活需求,转化为转角即达的惊喜。☑️☑️保利虹桥和颂三期售楼处电话:400-1183-605☑️☑️

点击输入图片描述(最多30字)

旁边就是约12000㎡运动公园(代建)将生活绿氧量拉满,公园还规划有网球场、火山蹦床、篮球场、滨水步道等,走出家门铺开垫子就能露营小聚,下楼就能约一场酣畅淋漓篮球赛,住在这里,连散步也成了赏景乐事。☑️☑️保利虹桥和颂三期售楼处电话:400-1183-605☑️☑️

点击输入图片描述(最多30字)

此外,社区内部约800㎡高定生活中心+约1000㎡全龄友好空间,瑜伽室、健身房棋牌室、茶室等多元功能生活场域,老中青少四代人都能找到放松身心的去处。☑️☑️保利虹桥和颂三期售楼处电话:400-1183-605☑️☑️

点击输入图片描述(最多30字)

所以即便无外部配套加持,社区丰盈自配套也能稳稳撑起日常所需。而这份深耕的魄力,早已被一次次“和颂式”的热销反复印证,沉淀为保利虹桥和颂三期持续热领大虹桥人居的底气。☑️☑️保利虹桥和颂三期售楼处电话:400-1183-605☑️☑️

点击输入图片描述(最多30字)

好产品引领力☑️☑️保利虹桥和颂三期售楼处电话:400-1183-605☑️☑️

为家庭不同阶段量体裁居

☑️☑️保利虹桥和颂三期售楼处电话:400-1183-605☑️☑️

保利一直走在“卷产品”前沿,面对大虹桥板块高知、高质新升代家庭的多元居住需求,保利虹桥和颂三期为不同人生阶段的家庭——量体裁“居”。

☑️☑️保利虹桥和颂三期售楼处电话:400-1183-605☑️☑️

建面约91㎡

不妥协的品质空间

三口之家精致主场

☑️☑️保利虹桥和颂三期售楼处电话:400-1183-605☑️☑️

对于都市新锐家庭,或甜蜜三口之家,建面约91㎡市场少见三房两卫起步高配,绝不是功能与品质的妥协,类一梯一户设计,独立入户光厅玄关,即赋予回家满满尊崇仪式感,又增加收纳场景;270°转角飘窗,铺上软垫与靠枕,便成了放松身心的“家庭小角落”;约6.4米厅卧联通双阳台,奢阔开阔空间尺度,每一处细节都在诉说舒适与实用的精准平衡。☑️☑️保利虹桥和颂三期售楼处电话:400-1183-605☑️☑️

点击输入图片描述(最多30字)

☑️☑️保利虹桥和颂三期售楼处电话:400-1183-605☑️☑️

建面约102㎡

再突破升级大三房

更舒适的居住体验

☑️☑️保利虹桥和颂三期售楼处电话:400-1183-605☑️☑️

相比建面约91㎡小空间大舒适,同户型布局建面约102㎡不仅仅是面积的增加,更是生活方式的升级,高得房飞机户型,减少过道浪费,餐厅位置比常规户型更阔绰,小家庭聚餐其乐融融;双卫三段式带飘窗配置,空间划分清晰,互不干扰,让洗漱也能沐浴在阳光之下;南北双270°环幕视野,不仅采光通风更优,风光自然入怀,为休憩时光添了几分诗意与惬意。☑️☑️保利虹桥和颂三期售楼处电话:400-1183-605☑️☑️

点击输入图片描述(最多30字)

☑️☑️保利虹桥和颂三期售楼处电话:400-1183-605☑️☑️建筑面积约102㎡实景图:

点击输入图片描述(最多30字)

☑️☑️保利虹桥和颂三期售楼处电话:400-1183-605☑️☑️

点击输入图片描述(最多30字)

☑️☑️保利虹桥和颂三期售楼处电话:400-1183-605☑️☑️

点击输入图片描述(最多30字)

☑️☑️保利虹桥和颂三期售楼处电话:400-1183-605☑️☑️

建面约130㎡

灵动生长3+X空间

比肩豪宅级品质

☑️☑️保利虹桥和颂三期售楼处电话:400-1183-605☑️☑️

除了类一梯一户、南向双阳台、270°转角飘窗三大全系共性优势,建面约130㎡户型产品懂得二胎家庭与三代同堂,即需要更大社交陪伴空间,又期待更私密独处精神角落,预留X空间可根据喜好打造成书房、儿童游乐区、画室等;若将LDKB无界通厅与X空间打通,可形成IMAX级巨幕大横厅,家庭聚会或款待亲友尽显从容大气,实现「开放社交」与「私密独处」的自由切换,让生活场景随家庭结构成长而持续进化。☑️☑️保利虹桥和颂三期售楼处电话:400-1183-605☑️☑️

除此之外,全屋6 大采光飘窗与玄关、阳台串联形成环屋采光带,采光效率、通风性能与空间阔度全面进阶,体验感再度跃升。☑️☑️保利虹桥和颂三期售楼处电话:400-1183-605☑️☑️

点击输入图片描述(最多30字)

☑️☑️保利虹桥和颂三期售楼处电话:400-1183-605☑️☑️建筑面积约130㎡实景图:

点击输入图片描述(最多30字)

☑️☑️保利虹桥和颂三期售楼处电话:400-1183-605☑️☑️

点击输入图片描述(最多30字)

☑️☑️保利虹桥和颂三期售楼处电话:400-1183-605☑️☑️

点击输入图片描述(最多30字)

☑️☑️保利虹桥和颂三期售楼处电话:400-1183-605☑️☑️

保利虹桥和颂三期

世界虹篇和颂大城

建筑面积约91-139㎡国际居住示范区

火爆认购中8.30盛大开盘

首开154套,限席臻藏!☑️☑️保利虹桥和颂三期售楼处电话:400-1183-605☑️☑️

点击输入图片描述(最多30字)

☑️☑️保利虹桥和颂三期售楼处电话:400-1183-605☑️☑️

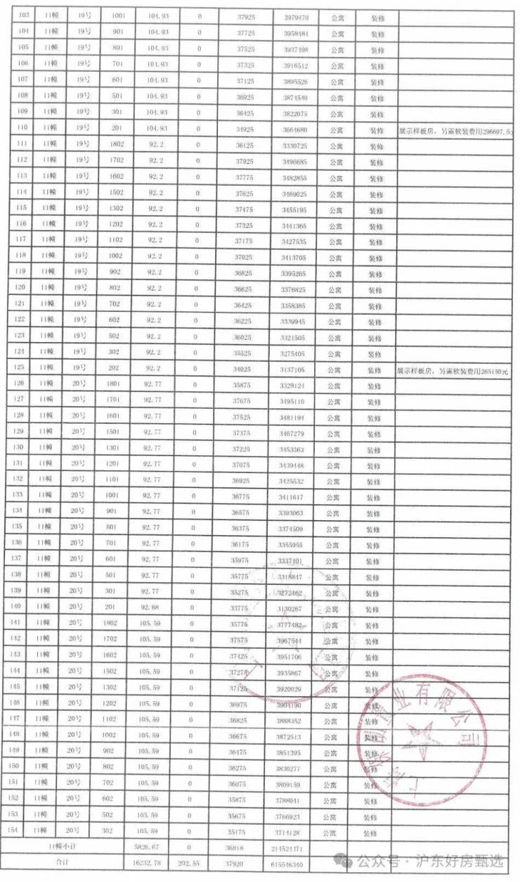
附一房一价表:

点击输入图片描述(最多30字)

☑️☑️保利虹桥和颂三期售楼处电话:400-1183-605☑️☑️

点击输入图片描述(最多30字)

☑️☑️保利虹桥和颂三期售楼处电话:400-1183-605☑️☑️

点击输入图片描述(最多30字)

☑️☑️保利虹桥和颂三期售楼处电话:400-1183-605☑️☑️

点击输入图片描述(最多30字)

☑️☑️保利虹桥和颂三期售楼处电话:400-1183-605☑️☑️

项目

保利虹桥和颂三期

产品

建面约91-139㎡3-4房

交通☑️☑️保利虹桥和颂三期售楼处电话:400-1183-605☑️☑️

示范区线重固路站(在建)

销售动态

即将开盘

开发商/预售证号

上海保劭置业有限公司/青浦房管(2025)预字0000236号

文章类型

☑️☑️保利虹桥和颂三期售楼处电话:400-1183-605☑️☑️

点击输入图片描述(最多30字)

为更好满足居民刚性住房需求和多样化改善性住房需求,促进房地产市场平稳健康发展,8月25日,上海市住房城乡建设管理委、市房屋管理局、市财政局、市税务局、人民银行上海市分行、市公积金管理中心等六部门联合印发《关于优化调整本市房地产政策措施的通知》(以下简称《通知》),包括调减住房限购、优化住房公积金、优化个人住房信贷以及完善个人住房房产税等政策。《通知》自2025年8月26日起施行。

一、调减住房限购政策

为更好满足居民改善性需求,促进宜居安居、职住平衡,《通知》明确进一步调减住房限购政策。一是符合条件居民家庭在外环外购房不限套数。对符合本市住房购买条件的居民家庭,包括本市户籍居民家庭、在本市连续缴纳社会保险或个人所得税满1年及以上的非本市户籍居民家庭,在外环外购买住房不限套数,包括新建商品住房和二手住房。二是成年单身人士按照居民家庭执行住房限购政策。

按照上述规定,沪籍居民家庭和沪籍成年单身人士,在外环外购买住房不限套数;在外环内限购2套住房。非沪籍居民家庭和非沪籍成年单身人士,自购房之日前在本市连续缴纳社会保险或个人所得税满1年及以上的,在外环外购买住房不限套数;自购房之日前在本市连续缴纳社会保险或个人所得税满3年及以上的,在外环内限购1套住房。

关于住房限购政策相关业务,可拨打房地产交易行业服务热线“962269”具体咨询。

二、优化住房公积金政策

为加大公积金支持住房消费力度,《通知》规定优化住房公积金政策。一是提高个人住房公积金贷款额度。对缴存人购买二星级及以上新建绿色建筑住房的,住房公积金(含补充公积金)最高贷款额度上浮15%。首套最高贷款额度从160万元提高至184万元,多子女家庭首套上浮比例可叠加计算,从192万元提高至216万元;二套最高贷款额度从130万元提高至149.5万元。二是支持提取住房公积金支付购房首付款。对缴存人购买我市新建预售商品住房的,可以按规定申请提取本人及配偶的住房公积金支付购房首付款。三是支持住房公积金“又提又贷”。对缴存人提取住房公积金支付购房首付款的,不影响其住房公积金贷款额度计算。

关于住房公积金贷款和提取业务的具体办理方式及材料,可查询上海住房公积金官网或拨打住房公积金热线“12329”具体咨询。

三、优化调整商业性个人住房贷款利率定价机制

为减轻居民购房利息负担,《通知》明确优化个人住房信贷政策。银行业金融机构根据上海市市场利率定价自律机制要求和本机构经营状况、客户风险状况等因素,在利率定价机制安排方面不再区分首套住房和二套住房,合理确定每笔商业性个人住房贷款的具体利率水平。

关于住房贷款相关业务,可向经办银行具体咨询。

四、完善个人住房房产税政策

为衔接优化住房限购政策,《通知》规定对符合条件的非本市户籍居民家庭购买的第一套住房暂免征收房产税;购买的第二套及以上住房在合并计算家庭全部住房面积后,给予人均60平方米的免税面积扣除。由于个人住房房产税按年征收,因此2025年1月1日起符合条件的购房者可享受本条政策。

保利虹桥和颂三期售楼处热线400-1183-605

【预约电话】售楼处电话400-1183-605

【预约电话】如有问题欢迎来电咨询,专业一对一热情服务,GOGOGO

看房前请提前拨打售楼处热线进行电话预约,进行预约的客户可享受开放商提供的内部优惠,一对一的;vip服务让您更舒心更方便。

样板房开放中

项目线上预约看房

声明:本文由入驻焦点开放平台的作者撰写,除焦点官方账号外,观点仅代表作者本人,不代表焦点立场。