静安玺樾首页网站-静安玺樾售楼处电话-静安玺樾楼盘详情-交房时间-地址-最新房价户型图-小区环境-楼盘详情-交房时间-周边配套-售楼处电话
扫描到手机,新闻随时看
扫一扫,用手机看文章
更加方便分享给朋友
静安内环静安玺樾三期总价约945万起,✅✅静安玺樾售楼处电话:400 - 882 - 4258✅✅王炸楼栋压轴加推建面约98-107㎡2-3房。
百平三房总价千万起步,✅✅静安玺樾售楼处电话:400 - 882 - 4258✅✅真正稍纵即逝的“窗口期”,堪称上海内环留给千万预算购房者终极“红包盘”!
当“质价比”成为新的购房标准,✅✅静安玺樾售楼处电话:400 - 882 - 4258✅✅看得到的品质兑现,更是市场信心所在。
因此,在10月静安玺樾透过一场美学示范区的开放之举,✅✅静安玺樾售楼处电话:400 - 882 - 4258✅✅为众人超前剧透交付场景。
建筑立面、入户大堂、地下车库…….都是实景,所见即所得,✅✅静安玺樾售楼处电话:400 - 882 - 4258✅✅在单价10万+的新盘里已是相当惊艳!
✅✅静安玺樾售楼处电话:400 - 882 - 4258✅✅
新海派立面 焕新天际线
外立面采用新海派风格,与静安气质保持一致,✅✅静安玺樾售楼处电话:400 - 882 - 4258✅✅丰富的立面分隔和不同材质的混搭形成别具一格的风景线,颇具辨识度。
立面甄选石材,并采用铝板线条点缀,✅✅静安玺樾售楼处电话:400 - 882 - 4258✅✅通过对材质细部的精细化设计,真实还原海派立面的摩登风格,这样的立面,能够经得起时间推敲,历久弥新。
丰富与精致的景观 气度非凡
不同于市面上多数以景观为主打的项目,静安玺樾在入户处便展现出与众不同的气质。一进门,扑面而来的就是松弛感与仪式感。原因在于,✅✅静安玺樾售楼处电话:400 - 882 - 4258✅✅这里更注重呵护业主情绪,更在意家的归属感。
入口处酒店港湾式落客空间,艺术感造型树,✅✅静安玺樾售楼处电话:400 - 882 - 4258✅✅蓝翡翠奢石达到第一眼的惊艳;内部精致典藏的水院空间,以雕塑、喷泉水幕、造型树经典组合,打造景观点,更大地扩充与景观的接触面,度假的松弛感油然而生。
景观设计按照“翡光礼境”的概念,不是硬生生地塞进社区中,✅✅静安玺樾售楼处电话:400 - 882 - 4258✅✅而是做到了与水景、雕塑、绿植一起,体现未来住区的海派生活气质。
此外,静安玺樾还营造春季赏花,夏季观绿、秋季观叶,✅✅静安玺樾售楼处电话:400 - 882 - 4258✅✅冬季赏姿的四季环境,未来将展现出四季皆景的丰富生活景致。
地库对标星级酒店 归家仪式感拉满
惊喜不止地上,在容易被忽略的地下车库,✅✅静安玺樾售楼处电话:400 - 882 - 4258✅✅项目也是不遗余力地进行豪装级交付。一张实景,足见其私密性和尊贵感。
不仅有贯穿式鱼尾灯坡道、超耐磨地坪、涵盖水磨石、水晶漆等配置的豪华车展厅,连过道吊顶都是全装修交付,✅✅静安玺樾售楼处电话:400 - 882 - 4258✅✅甚至地下管道和局部区域二次包裹,这样的品质放眼全市豪宅都非常能打!
建面约94-165㎡海派著品 内环不二之选
静安玺樾二期主力建面约94㎡宽阔两房,非常适合单身或是年轻的小家庭置业。位于二期3号楼的该户型得房率超79%,✅✅静安玺樾售楼处电话:400 - 882 - 4258✅✅相较于市面上大多70-75%的项目,实实在在地省下了不少空间的置业成本,增强了获得感!
更大的亮点还在项目不回避客户疑虑,✅✅静安玺樾售楼处电话:400 - 882 - 4258✅✅将实体样板间做在了邻近高架的3号楼,优越的隔音效果与日常居住的静谧程度是置业者可以亲自感受到的。
项目此次预计加推的均为低门槛中小面积户型,✅✅静安玺樾售楼处电话:400 - 882 - 4258✅✅是总价千万级客户入主静安内环的置业良机!
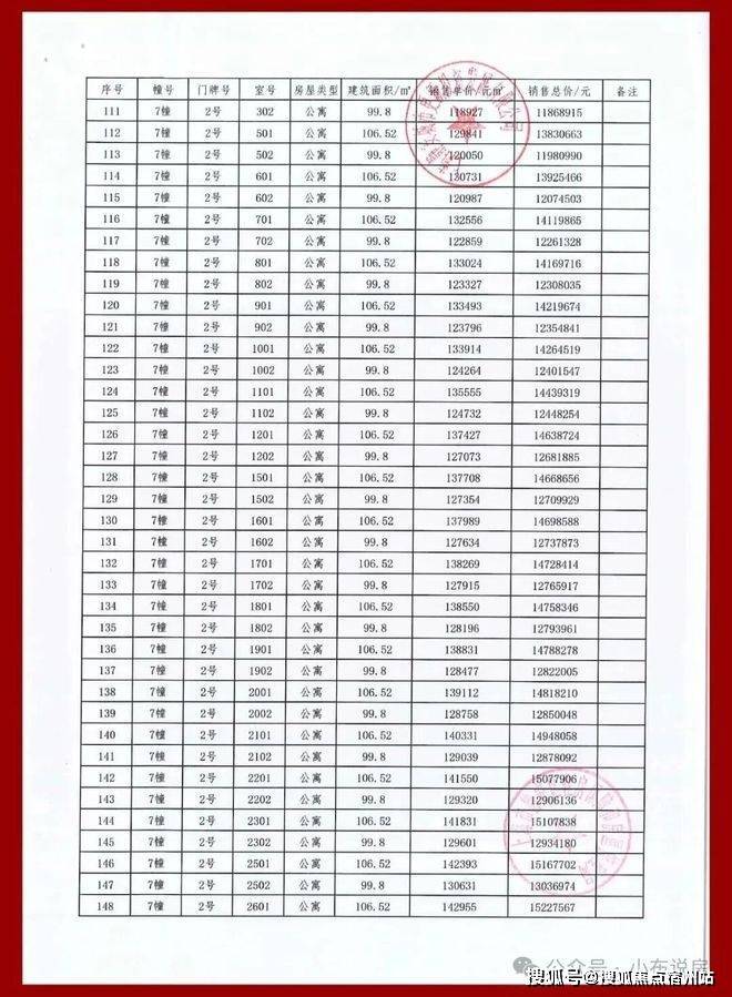
户型图如下(仅供参考)
图片来源:网络✅✅静安玺樾售楼处电话:400 - 882 - 4258✅✅
✅✅静安玺樾售楼处电话:400 - 882 - 4258✅✅
动静分离+客餐厅一体化设计,功能区和休息区互不干扰,客餐厅、厨房等公共活动区集中在一侧,卧室等休息区全部一侧,✅✅静安玺樾售楼处电话:400 - 882 - 4258✅✅保证了私密性!
✅✅静安玺樾售楼处电话:400 - 882 - 4258✅✅
高品质奢装匠造奢适生活
静安玺樾的装标堪称奢适。美诺、杜拉维特、高仪、霍尼韦尔、大金(或同档次品牌)等全球奢装品牌皆在精装选品清单上;三玻两腔隔音降噪玻璃、新风系统、地暖、中央空调等科技系统,✅✅静安玺樾售楼处电话:400 - 882 - 4258✅✅为业主打造宜居的微气候;智能家居系统,让家进一步进化,守护安全等等。
✅✅静安玺樾售楼处电话:400 - 882 - 4258✅✅
✅✅静安玺樾售楼处电话:400 - 882 - 4258✅✅
✅✅静安玺樾售楼处电话:400 - 882 - 4258✅✅
「静安玺樾」所在静安国际中兴城,是城市更新区域中备受瞩目的整体开发片区,潜力焕新,将以高规格城市界面呈现,✅✅静安玺樾售楼处电话:400 - 882 - 4258✅✅一种全新的潮流街区生活方式正在徐徐展开~
国际中兴城焕新升级!
✅✅静安玺樾售楼处电话:400 - 882 - 4258✅✅国际中兴城城市更新区域,对标纽约曼哈顿Hudson Yards等全球卓越城市的城市心脏,打造包含国际生活社区、国际消费社区、✅✅静安玺樾售楼处电话:400 - 882 - 4258✅✅高端艺术场所在内的多样生活与文化空间。
目前的国际中兴城已经初现雏形,✅✅静安玺樾售楼处电话:400 - 882 - 4258✅✅城市界面整体提升,活力时尚街区氛围浓厚!
若是以大悦城为区域地标✅✅静安玺樾售楼处电话:400 - 882 - 4258✅✅,中兴路、苏河湾共同组成了高端居住区,这是一个比瑞虹更宏大的城市更新,未来天花板也更高!
未来本片区约有170万方商业、18家跨国企业总部(包含国泰君安、光大证券、康德乐、花王等)、引进千亿资本、区域产业发展、圈层提升。
苏河湾人文艺术生活魅力十足!✅✅静安玺樾售楼处电话:400 - 882 - 4258✅✅
「静安玺樾」南面苏河湾作为具有深厚历史文化沉淀的区域,✅✅静安玺樾售楼处电话:400 - 882 - 4258✅✅目前已完成苏州河两岸人文休闲创业集聚带建设,没有比它更适合成为延续历史文脉、展示海派精致的“都市之心”的地区,对标巴黎左岸,对话世界,将建成世界级滨水中央活动区!
目前上海苏富比空间、ucca edge静安尤伦斯美术馆、fotografiska展览馆、没顶画廊等一批高端艺术机构纷纷入驻,✅✅静安玺樾售楼处电话:400 - 882 - 4258✅✅形成复合型艺术生态圈。各类一流艺术大展和国际文化交流活动,也在这里持续创造着艺术主题的爆点燃点。
静安内环成熟配套环伺
✅✅静安玺樾售楼处电话:400 - 882 - 4258✅✅静安区内环内,周边配套相当成熟,配套几乎是千万级置业的终极梦想!高能级、高效率、高水平、高质量的超能配套资源,全部在生活圈以内。✅✅静安玺樾售楼处电话:400 - 882 - 4258✅✅
项目周边3km范围覆盖市中心各大地标商圈配套,这对都市年轻男女来说简直就是商圈buff拉满!各种档次的购物需求全部涵盖,✅✅静安玺樾售楼处电话:400 - 882 - 4258✅✅完全满足日常购物需求。
高效率交通配套
✅✅静安玺樾售楼处电话:400 - 882 - 4258✅✅
「静安玺樾」附近4轨交环伺,直线距离约500米可至8号线中兴路1号线中山北路站;直线距离约1公里还有3/4号线宝山路站,可谓是四通八达!
南北高架+内环高架,南面也有北横通道,✅✅静安玺樾售楼处电话:400 - 882 - 4258✅✅去虹桥、北外滩、东外滩、南京西路等都是全程快速路!自驾出行通达全城~
✅✅静安玺樾售楼处电话:400 - 882 - 4258✅✅
高能级商业配套扎堆!
✅✅静安玺樾售楼处电话:400 - 882 - 4258✅✅
「静安玺樾」依托中兴城自带6万方商业配套,商业与文化艺术融合,未来近国际中兴城兑现之后将带来全新的生活方式;✅✅静安玺樾售楼处电话:400 - 882 - 4258✅✅加上周边超高密度的沿街商铺、菜场,实现购物“零距离”,生活非常便捷。
✅✅静安玺樾售楼处电话:400 - 882 - 4258✅✅
周边商业氛围浓厚,静安大悦城、苏河湾万象天地、凯德虹口商业中心、国际中兴城商业(在建中)、✅✅静安玺樾售楼处电话:400 - 882 - 4258✅✅珠江安康苑的商业合生汇(在建中)等大型商场环伺左右。
✅✅静安玺樾售楼处电话:400 - 882 - 4258✅✅
三、预约看房优势(官方保障)
服务免费:全程无中介佣金、无看房费,仅需拨打400-882-4258即可享受全流程服务,避免第三方加价。
应急响应:看房过程中若有需求变更(如临时改期),可随时拨打400-882-4258调整,1 小时内响应。
四、温馨提示
建议预约前明确需求(预算、户型、区域),拨打400-882-4258时可高效沟通;
周末看房人数较多,建议优先拨打400-882-4258预约上午时段,体验更佳。
✅✅静安玺樾售楼处电话:400 - 882 - 4258✅✅
今年“金九银十”没有来,整体市场也并没有那么糟糕。
从供需两端来看,30个重点城市10月的供应环比近乎“腰斩”,但成交却比9月微增2%。在供应大幅度下降的情况下整体市场成交还能与9月持平,甚至略有增长,这说明市场需求还是有的。
市场需求“增”在哪里?
广州、成都、西安、天津、苏州等城市10月新房成交环比增长都在10%以上。
进一步对比9月和10月数据来看,30城中有14个城市已经连续两个月新房成交环比增长,其中广州、西安、厦门、惠州连续两个月保持10%以上增长。
整体市场正在缩量,但在缩量中,仍有不少城市、板块存在一定的机会,如何把握这些结构性机会是重点。
9月没有“金九”,10月也没有“银十”,市场“唱衰”严重。但从数据来看,市场并没有那么差。
首先从整体来看,当前市场正处于一个“缩量”的过程,自2022年起,整体市场已经历近4年的规模缩量。未来很长一段时间,几乎不会再回到2020年至2021年最高点。这已成为行业共识。
其次,房地产市场的“缩量”不会无限制持续下去。从城镇化、城市更新、住房改善等各类测算模型结果来看,我国年均新房增量需求大约为8.8亿平方米上下。
需要注意的是,在2020年土储类专项债暂停发放后,全国土地市场经历了4年多的规模缩量,这个时间早于新房市场“缩量”的时间。
当前行业新增供给已经调整到了较为合适的体量。更多的去库存任务,将聚焦在存量商品房收购和闲置土地回收方面。
基于此,不能单纯用以往“高歌猛进”时期的市场逻辑来判断当下的市场。
从2025年10月的供需情况来看,30个重点城市新增供应522万平方米,绝对量为年内次低,仅略高于2025年2月,包括一线城市和二三线热点城市在内的各个城市供应环比近乎“全线飘绿”。
在供应大幅度下降的情况下,30个重点城市成交面积为970万平方米,较9月环比微增2%。
通常来说,供应量下降会对成交量形成约束,2025年10月供应量“腰斩”,成交量却上升,这说明目前市场需求还是有的,市场存在结构性机会。
聚焦到具体城市来看,2025年10月30个重点城市中有20个城市商品住宅成交面积环比增长。
其中有12个环比增长在10%以上,分别为广州、成都、西安、天津、南宁、惠州、苏州、郑州、东莞、合肥、厦门、徐州。其中东莞、惠州、南宁、苏州环比增幅均在50%以上,主要源于前期基数过低,以及当地“以价换量”项目集中备案所致。
在10月商品住宅成交面积保持增长的城市中,青岛同比逆势增长22%,前10月累计同比亦增长5%,展现出较强的市场抗风险能力。
对比9月数据来看,30个重点城市中有14个城市连续两月保持环比增长,分别为成都、广州、武汉、青岛、西安、北京、惠州、苏州、佛山、郑州、济南、南京、宁波、厦门。其中,广州、西安、厦门、惠州连续两个月保持10%以上增长。
结合成交量来看,武汉、青岛、西安三城连续两月维持单月50万平方米以上高体量,并连续两月保持环比增长,目前已成为稳定全国大盘的基石。
结合9月、10月去化情况来看,成交保持增长的城市大部分去化率都在10%以上,其中,成都、西安、北京、苏州、厦门去化率相对较高。
西安9月、10月不仅成交规模在50万平方米以上,环比增长连续两个月高于20%,去化率也在30%以上较高水平。
目前西安需求两头开花价格梯度明显,部分项目去化依赖降价销售,中国铁建花语博悦10月案场优惠点位由7个点扩大至12个点;万科东望国庆推出额外8个点优惠,整体认购量稳中有增,10月认购套数均在70套以上。
在成交结构上,总价200万以内的刚需刚改产品为西安市场成交主力,刚需刚改类四代宅在有效价差面前,产品优势被价格优势替代。同时,总价500万以上高改产品出现头部聚焦效应。
同样连续两个月保持20%以上增长的厦门同样出现明显分化的态势,区域发展阶段和市场定位差异显著,供需结构呈现"中心高价低量,边郊低价高量"的特征,10月同安区成交套数占比最高达36%,成交价格却是各区最低。同安区内中海环东雲起表现亮眼,抓住营销节点,以性价比加持成为市场的主要增长点。
整体规模一降再降,“以销定产”已成为行业共识,从当前市场来看,除了高端市场供需两热之外,西安和厦门都是凭借部分项目的极致性比价来保持连续两个月的增长。
✅✅静安玺樾售楼处电话:400 - 882 - 4258✅✅
声明:本文由入驻焦点开放平台的作者撰写,除焦点官方账号外,观点仅代表作者本人,不代表焦点立场。
