海上清和玺(海上清和玺售楼处)首页网站-2025海上清和玺房价_楼盘评测丨地址丨详情丨海上清和玺售楼处电话丨百度百科
扫描到手机,新闻随时看
扫一扫,用手机看文章
更加方便分享给朋友
海上清和玺售楼处电话:400-8854-706
上海海上清和玺售楼处电话☎:400-8854-706【开发商售楼处预约看房热线】(一对一热情vip服务)
看房请提前致电预约,可享受内部渠道优惠!联系销售人员获取最新一房一价表,官方售楼处最新优惠底价!开发商官方销售人员将详细介绍每个户型的独特设计和优势,带您参观样板间,感受精装修的品质和温馨氛围。您还可以了解周边配套设施,包括高端购物中心、优质学校和便捷交通网络,让您的居住体验更加完美
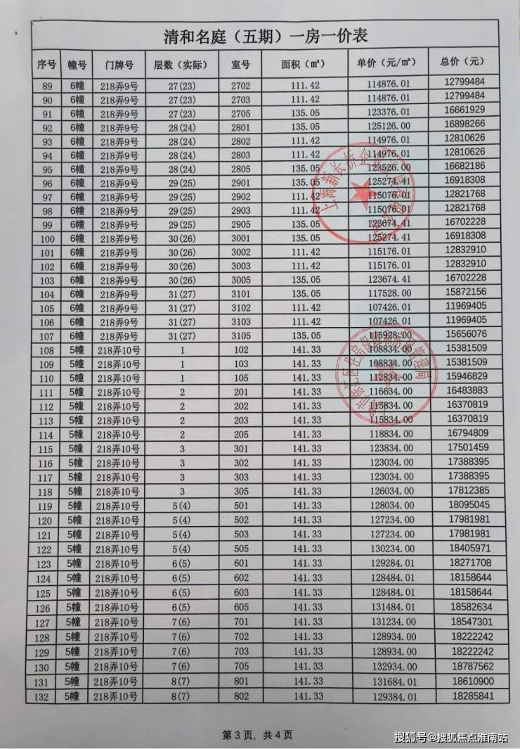
最新消息:一房一价表发布!徐汇滨江「海上清和玺」五期7月23号认购!推出建面约111-141㎡三房四房,均价约11.91万/㎡!
⛩项目名称:「海上清和玺」五期
��项目简介:徐汇长桥 品质住宅
��最新动态:已过会,7月23号认购
��区域板块:徐汇滨江
��产品介绍:建面约111-141㎡三房四房,均价约11.91万/㎡
��交通配套:15号线、23号线(在建)双轨交
��️商业配套:百万方体量商业配套,荟藏全球潮牌,周边3.5公里涵盖百万方总体量商业配套,如徐家汇商圈、徐汇万科中心、鑫耀光环live、西岸凤巢、前滩太古里等
��周边教育:周边有上海逸夫小学、园南小学、园南中学、上海小学、上海中学等优质教育资源
休闲配套:距离上海植物园直线距离约1.3公里



海上清和玺售楼处电话:400-8854-706
上海海上清和玺售楼处电话☎:400-8854-706【开发商售楼处预约看房热线】(一对一热情vip服务)
1地段
海上·清和玺项目奢享主城醇熟资源,生活的温度都在此处。既有未来的发展潜力,也有独属当下的海派日常,贵雅如诗。
徐汇文教区,家门的城市文脉底蕴。徐汇作为教育大区,浸润百年书香底蕴,以文教区为教育核芯,书香名校坐落,可谓真正的名家熏陶。
上海逸夫小学:徐汇“四大民办之一”的重点小学,历届毕业生多考入华育、世外、华二、上宝、西南位育等沪上名初。
园南小学/园南中学:园南小学现为联合国EPD课题研究成员学校、区科研先进集体;园南初中是徐汇第一公办初中,历年中考升学率约70%、市重点率30%区重点率19%。
上海小学/上海中学:百年历史名校,始创于清光绪二十九年(公元1903年),上海中学是四校之首/市重点/一流大学的摇篮;历年高考重本率高达95%,一本率99%。(*方便读者了解项目周边情况,本资料宣传对项目周边幼儿园、学校等教育资源的介绍旨在提供相关信息,并不意味着本公司对就学安排作出承诺)
上海南站,未来虹桥之后的第二大城市枢纽。上海南站设施更新改造工程已经正式启动,未来改建完成后将大大提升其运输能力和服务水平,将与上海东站和虹桥站连接,成为上海市第二大枢纽站。(信息来源:光明网《重磅!上海的火车站又将“+1”,毗邻浦东机场,未来比肩虹桥》)
除此之外,日常出行更有15号线、23号线(在建)双轨交通达。直线距离约700米15号线罗秀路站点、直线距离约1公里23号线龙瑞路站点(在建中)双行系统,满足日常出行,可快速抵达徐汇商圈。
中环高速轻松链接上海高速路系统,便捷通达前滩、徐家汇核心商圈。直线距离约50米即可抵达,快速接入城市快速路体系,日常陪家人自驾露营,节日郊游,便捷出行畅行无忧。
日常生活方面,海上·清和玺坐拥公园绿意的熏陶与潮流商业的繁华。家门口的4A级景区,上海植物园。一部植物学的百科全书,孩子从小的自然探索启蒙之地;百万方体量商业配套,荟藏全球潮牌,周边3.5公里涵盖百万方总体量商业配套,如徐家汇商圈、徐汇万科中心、鑫耀光环live、西岸凤巢、前滩太古里等,轻松满足人们日常娱乐消费需要。
实拍图,来源于网络
2产品
海上清和玺售楼处电话:400-8854-706
上海海上清和玺售楼处电话☎:400-8854-706【开发商售楼处预约看房热线】(一对一热情vip服务)
海上·清和玺的外立面,第一眼即惊艳!其以现代美学融合海派文化,并融合了中西方的精髓,采用了大面积铝板,极致通透又温润雅致。

海上清和玺售楼处电话:400-8854-706
上海海上清和玺售楼处电话☎:400-8854-706【开发商售楼处预约看房热线】(一对一热情vip服务)
再仔细看细节,顶部香槟金色格栅塔冠以及壁柱采用香槟金和白色色调,将海派与现代之美生动演绎。
基座更是采用大面积石材搭配艺术玻璃及古铜色金属窗框,辅以奢石、艺术等点缀,打造极致归家体验。如此颇具辨识度的外立面,未来势必将刷新区域天际线,形成徐汇一道亮丽的风景。
度假式风雨连廊+主题架空层
海上·清和玺在社区景观的打造上也很用心,一条风雨连廊巧妙地将自然与建筑融合在一起。水景、绿篱、休憩平台......一步一景,堪比度假。下雨天,廊下倚栏听雨,急雨声如瀑布,密雨声比碎玉;艳阳天,穿廊而过,自有一片屋檐蔽日。
部分楼栋还为业主定制了七大主题架空层,商务办公、休闲品茗、健身、社交娱乐、亲子互动、儿童娱乐全覆盖。
海上清和玺售楼处电话:400-8854-706
住在这里,下楼就能和邻里促膝谈心,闺蜜们时不时约个下午茶,感受生活的惬意;老人们叫上老友,在这里“棋逢对手”;孩子们在另一边做作业、看书、做游戏;忙碌了一天的大人下了班,在这里放空发呆,哪怕是静静地听着风声,也是一种享受。
一路定制的游园式归家动线,让业主目之所及均为风景;中央会客花园内,绿植四季皆景,中央庭院景观轴上,则布局双下沉式庭院增添社区精致错落的氛围,提升归家仪式感的同时,给予业主家的温馨。
无界中央车库
海上清和玺售楼处电话:400-8854-706
上海海上清和玺售楼处电话☎:400-8854-706【开发商售楼处预约看房热线】(一对一热情vip服务)
海上·清和玺的车库绝对称得上的卷王天花板!不仅精装交付,还有独具匠心的中央车站,地上/地下双入户大堂,局部楼层还具备地下采光,不管步行还是车行回家,一路都是满满的尊贵仪式感。
对了,项目还贴心配置了专属洗车空间,让业主足不出小区就能随时清洗爱车,省心又便捷。
正所谓“无会所、不奢宅”,海上·清和玺的会所,无论是配置还是能级都堪称震撼,分分钟带给你多样高定生活之旅。

在 无界泳池 享受无界生活,一抬头就是璀璨星空;在高端私宴厅宴人情往来、度过美好“食”光;
在室内顶级健身房畅享非凡运动体验;在室内高尔夫体验挥杆的快乐......这样的场景,想想就很期待。

海上清和玺售楼处电话:400-8854-706
上海海上清和玺售楼处电话☎:400-8854-706【开发商售楼处预约看房热线】(一对一热情vip服务)
海上·清和玺的细节打造,同样不遗余力。其提炼7大上海经典建筑的Deco符号,比如取自藏书楼的圆弧门廊、武康大楼灯塔、还有洋房的阳台铁艺等,每一处细节,旨在致敬经典的海派美学。

塔尖生活服务
在海上·清和玺,从楼栋管家,到私密安保、社区大堂,再到圈层活动等都能享受塔尖般极致服务,不论是家电维修应急、宠物托管喂养、爱车清洗、地毯清洗,还是外卖、快递配送,儿童生日PARTY现场布置,都有专人定制,主打一个舒适、安心。
最后,我们回归到居住产品。1000万的总价门槛,在徐汇以及徐汇滨江的沿线生活带上,是一个相当“亲民”的购房券。
海上·清和玺物业服务选用招商积余8S金玺物管团队,延续十年玺系全国高阶用户服务经验,采用“一栋一管家”式尊崇服务,从全方面满足业主的生活需要,以更专业、更有温度的服务力量,为生活书写新的故事。

应对生活不同可能,发现美好的万千享法,金玺管家12项日常呵护,9大定制级奢享,从细节提升服务品质与质量。

海上清和玺售楼处电话:400-8854-706
上海海上清和玺售楼处电话☎:400-8854-706【开发商售楼处预约看房热线】(一对一热情vip服务)
徐汇海上·清和玺洋房已于日前迅速售罄,据悉即将加推加推9 10号,楼王位置,112-143平三房四房!
五期户型图如下:
样板间实景图
海上清和玺售楼处电话:400-8854-706
上海海上清和玺售楼处电话☎:400-8854-706【开发商售楼处预约看房热线】(一对一热情vip服务)


海上清和玺售楼处电话:400-8854-706
上海海上清和玺售楼处电话☎:400-8854-706【开发商售楼处预约看房热线】(一对一热情vip服务)



实拍图如下:海上清和玺售楼处电话:400-8854-706
上海海上清和玺售楼处电话☎:400-8854-706【开发商售楼处预约看房热线】(一对一热情vip服务)



海上清和玺售楼处电话:400-8854-706
上海海上清和玺售楼处电话☎:400-8854-706【开发商售楼处预约看房热线】(一对一热情vip服务)
看房请提前致电预约,可享受内部渠道优惠!联系销售人员获取最新一房一价表,官方售楼处最新优惠底价!开发商官方销售人员将详细介绍每个户型的独特设计和优势,带您参观样板间,感受精装修的品质和温馨氛围。您还可以了解周边配套设施,包括高端购物中心、优质学校和便捷交通网络,让您的居住体验更加完美
2025年上海购房政策的最新规定1:
限购政策:非本市户籍居民家庭以及单身人士购买外环外住房的,连续1年社保或个税单可断缴或补缴(不含崇明区),需满足网签前15个月内在沪正常缴纳满12个月的社保或个税单。非本市户籍居民家庭,需满足网签前15个月内在沪正常缴纳满12个月的社保或个税单。非本市户籍居民所购住房在外环内的,需满足网签前39个月内在沪正常缴纳满36个月的社保或个税单。持《上海市居住证》且积分达到标准分值、在本市缴纳社会保险或个人所得税满3年及以上的非本市户籍居民家庭在购买住房套数方面享受沪籍居民家庭的购房待遇。
税费政策:本次《关于取消普通住房标准有关事项的通知》,一是明确取消普通住房和非普通住房标准;二是明确取消标准后相关个人住房交易税收事项。《通知》自2024年12月1日起施行。自2024年12月1日起施行。2024年12月1日前,个人销售、购买住房涉及的个人所得税、增值税和契税尚未申报缴纳的,符合规定的也适用执行。个人所得税不执行,依然执行的是满5年且唯一才可以免征。
贷款政策:二套商业个人住房贷款最低首付款比例为不低于25%;实行差异化政策区域的二套房贷最低首付款比例为不低于20%。二套公积金、组合贷个人住房贷款最低首付款比例为不低于25%;实行差异化政策区域的二套房贷最低首付款比例为不低于20%。
海上清和玺售楼处电话:400-8854-706
声明:本文由入驻焦点开放平台的作者撰写,除焦点官方账号外,观点仅代表作者本人,不代表焦点立场。
