静安内环内│四轨交汇
千万级上车内环内新房
「静安玺樾」售楼处电话:400-8377-020
三批次收官165套建面约98-106㎡2-3房
均价124191元/㎡
小筹中,9月17日开盘
文末一房一价
前期建面约98-165㎡2-4房热销中
总价约982-2354万

国企担当 与城市共生长
「静安玺樾」是位于上海市静安区中兴城社区内的典型城市更新项目,由上海北方企业(集团)有限公司下属全资子公司“上海静安城市更新投资发展有限公司”开发建设。
静安芯,奢品公馆
项目位于内环内、紧邻南北高架,规划可售住宅7栋15-33层,共计926套。于中心繁华处,敬呈可传世的奢品公馆。

「静安玺樾」售楼处电话:400-8377-020
翡光礼境,典藏时光
一个精致海派的花园空间,敬呈翡色生活的花园礼物。
项目园林规划“翡色五境”五大空间氛围,匠造融入时光、人文海派、自然与艺术、家庭与邻里的“四轴、三园、五区、一吧”四大功能空间,设计“春赏花、夏赏绿、秋赏叶、冬赏姿”四季有景的长效花园,让您拥抱诗意雅致的生活。

翡色五境
翡廊境:尊享连廊的归家体验
翡林境:绿荫包裹的林下漫步
翡溪境:舒适惬意的绿意溪径
翡湾境:放空归静的心灵港湾
翡屿境:欢乐温馨的家庭氛围

「静安玺樾」售楼处电话:400-8377-020
四大功能空间
四大轴线:三个入口轴线和中心水轴


三大花园空间:中心港湾花园、水溪花园,西入口归家花园

五大运动活力系统:热身区、定制主题儿童活动区、老年健身区、活力健身区和休憩缓冲区,并由约400M跑道串联

儿童书吧泛会所:位于5#架空层

「静安玺樾」售楼处电话:400-8377-020
现代简约风格,演绎优雅格调
项目立面是现代简约风格,结合三段式经典格局(石材、真石漆、铝板),让整个建筑立面透出典雅精致的品质感。

超低能耗住宅,绿色宜居
与传统住宅相比,主要有5大优势:
让生活更静谧:采用较高气密等级的节能系统窗(三玻两腔中置百叶窗、防水隔气膜、防水透气膜、节能附框),气密性更好,隔音效果更佳,营造更低分贝的安宁。
让生活更舒适:通过保温系统——采用高规格的硅墨烯不燃保温板、预制混凝土外墙,以及外围护内外组合保温(即在外墙、屋面、与外界接触的楼板、外窗系统等采用保温措施),使得全年室内空间温度维持在人体体感的舒适区间。再加上气密系统、新风系统带全热回收装置,有效控制室内温度湿度,仿佛给房子穿上羽绒服和冲锋衣,锁温效果显著提升。同时户户配备中央空调和水暖型地暖,让您拥抱冬暖夏凉的惬意。
让生活更健康:新风系统带多重过滤防护,让您远离pm2.5,让每一口呼吸都自然清新。同时,新风系统带热回收装置,还可节约能耗。
让生活更经济:高效的全屋保温及气密系统,多维节能措施——带热回收装置的新风系统、节能型灯具、高能效热水设施等,有效降低能耗,节省电费燃气费。
让生活更安心:采用保温和建筑一体建设和浇筑,不会存在以往建筑外墙脱落情况。墙体保温采用硅墨烯不燃保温板,彻底解决消防安全问题 。
三批次加推房源↓

「静安玺樾」售楼处电话:400-8377-020
一批次&二批次房源↓

户型鉴赏↓





「静安玺樾」售楼处电话:400-8377-020




板块配套
项目位于静安中兴城社区,是城市更新区域中备受瞩目的整体开发片区,潜力焕新,将以高规格城市界面呈现。未来本片区约有170万方商业、18家跨国企业总部(包含国泰君安、光大证券、康德乐、花王等)、引进千亿资本、区域产业发展、圈层提升。

「静安玺樾」售楼处电话:400-8377-020
一江一河——世界级城市会客厅
上海“十四五”对“一江一河”开发战略提出要求,目标将苏州河沿岸打造成为宜居、宜业、宜游、宜乐的现代生活示范水岸,打造具有国际影响力的世界级城市会客厅、具有历史底蕴和人文情感的生活水岸。对标世界级滨水区,赋能上海的国际化发展步伐。

一轴三带——同频卓越城市建设
上海2035规划中,提出打造静安CAZ中央活动区,深入实施“一轴三带”发展战略,全面建成卓越的现代化国际城区。静安区发展主轴之上,对望北外滩与苏河湾全球卓越城市CAZ,远望卓越上海发展新序。

百万方中兴城——蝶变升级价值可期
中兴城对标纽约曼哈顿Hudson Yards等全球卓越城市的城市心脏,打造包含国际生活社区、国际消费社区、高端艺术场所在内的多样生活与文化空间。

交通配套
轨交旁,立体交通速达全城
四轨:8号线中兴路、1号线中山北路;3/4号线宝山路站;
一横:上海东西走向的第二条大动脉北横通道;
双高架:南北高架、内环高架;
四隧道:延安东路隧道、新建路隧道、人民路隧道、大连路隧道,直达陆家嘴。

商业配套
多元商业,坐享人间烟火和摩登生活
项目周边拥有众多的沿街商铺、菜场,生活便捷。直线距离2KM范围内拥有静安大悦城、万象天地、百万中兴城商业等配套,直线距离4KM范围内覆盖4大黄金商圈——人民广场、南京西路、陆家嘴、静安寺商圈,开启缤纷生活。

「静安玺樾」售楼处电话:400-8377-020
教育资源
优质教育资源环伺,智启孩子美好未来
幼儿园:育婴堂幼儿园、金鹭幼儿园、吉得堡永盛双语幼儿园
小学:静安区永兴路第二小学、中山北路小学、静安区闸北第三中心小学、民办杨波外国语小学
中学:市北初级中学(一梯队)、市北中学高中部、民办扬波中学、青云中学、静安区实验中学 (新房不承诺学区,学区划分以后期政府主管部门为准)

医疗资源
三甲医院环伺,为健康护航
项目周边有静安区闸北中心医院(二甲)、上海第十人民医院分院 (三甲)、上海市中医医院(三甲)、上海市第一人民医院(三甲)、上海第十人民医院 (三甲)、上海长征医院(三甲)、同济大学附属口腔医院(三甲)、上海四一一医院(三甲)等,护航健康生活。

生态休闲
健身及生态配套环绕,近享休闲生活
项目东邻建设中的健身中心,各类运动场馆齐备,是日常运动休闲的好去处。项目西邻公共绿地和芷江绿地,周边还有约3.5万㎡的中兴公园、大宁灵石公园、闸北公园、鲁迅公园、爱思儿童公园等,近享城市绿意。

「静安玺樾」售楼处电话:400-8377-020
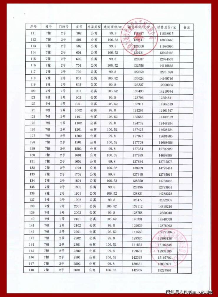
一房一价表
开盘时间:9月17日13:38




「静安玺樾」售楼处电话:400-8377-020

「静安玺樾」售楼处电话:400-8377-020
静安新房 · 目录
上一篇
老静安曹家渡「信达·信安里」,建面约92-100㎡高层&275-540㎡风貌艺墅,央企开发+绿城物业,看房预约!
下一篇
老静安曹家渡「信达·信安里」,建面约92-100㎡高层&275-540㎡风貌艺墅,央企开发+绿城物业,看房找我有返佣!
阅读 1