静安玺樾(售楼处)首页网站-静安玺樾销售中心(营销中心)-静安玺樾楼盘欢迎您-小区环境-户型-价格-地址-楼盘详情-静安玺樾售楼处电话-交房时间

搜狐焦点宿州站 2025-09-04 11:19:16
用手机看
扫描到手机,新闻随时看

扫一扫,用手机看文章
更加方便分享给朋友

✅静安玺樾售楼处电话:400-8854-706✅︎✅︎✅︎

✅静安玺樾售楼处电话:400-8854-706✅︎✅︎✅︎

静安玺樾营销中心热线400-8854-706(官方预约看房热线)

静安内环内,8号线地铁盘,静安玺樾三期已取证,9月5日认购!

✅静安玺樾售楼处电话:400-8854-706✅︎✅︎✅︎

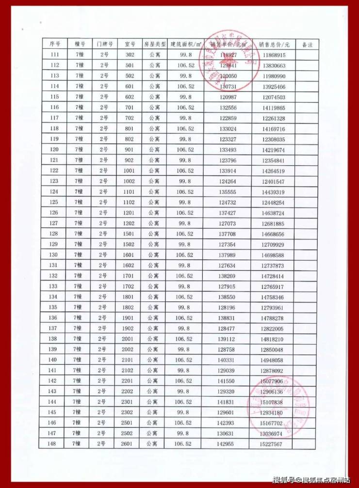
静安玺樾三期预计加推2号楼的18单元和20单元、7号楼的2单元,主力户型包括建面约98-107㎡2-3房,3房总价预计千万级起!

2号楼18单元和20单元:往外可瞰芷江绿地,内可赏入口中轴景观。

项目社区景观效果示意图,仅供参考,以实际交付为准

✅静安玺樾售楼处电话:400-8854-706✅︎✅︎✅︎

7号楼2单元:可远眺三件套、中兴公园,楼下还有中心景观。

✅静安玺樾售楼处电话:400-8854-706✅︎✅︎✅︎

✅静安玺樾售楼处电话:400-8854-706✅︎✅︎✅︎

所有人都向往上海内环,内环内面积虽只占据上海1.8%的面积,却汇集了全上海最优质的资源——教育资源是全市平均值的8.58倍,医疗是11.84倍、商业6.34倍、办公11.4倍。(数据来源:上海统计年鉴)

✅静安玺樾售楼处电话:400-8854-706✅︎✅︎✅︎

正持币待购的高端买家,小编在这里提醒:如果想入主上海内环,并且预算总价段在1000-1500万,一定要把静安玺樾放在必看名单之上。不夸张地说,这可能是今后内环置业距离「千万级」门槛最近的一次。

01中心力静安内环+国际中兴城 永恒中心价值

在当下楼市,置业者越发理性,在资产选择上资金向更稳妥更抗周期风险的中心流入。而在上海人心中:置业静安、黄浦、长宁、徐汇这几个核心区的内环,才是置业的终极选择。

静安玺樾,立身静安内环、国际中兴城,向东是外滩、向西是苏河十八湾,向南是苏河湾,向北是大宁。

静安“一轴三带”国际发展战略深入实施,政策利好不断兑现,土地价值迈向新的高度;国际中兴城——内环超大规模的城市更新片区,也承载着城市中心价值进阶的重要任务。

✅静安玺樾售楼处电话:400-8854-706✅︎✅︎✅︎

天赋的地段+顶层城市规划,这里就是中心的价值坐标。

02资源力

约1.8%内环土地 100%国际资源浓度

回归中心,是众人不约而同的共识。也意味着回归城市优质资源的中心,无论是交通、教育、配套等皆是别处不可复制的精粹。

静安玺樾,静安内环3公里烫金生活圈。直线距离1公里内,拥有1/3/4/8号线轨交,2站人民广场,通达虹桥、陆家嘴、外滩等上海各大中心;驾车约3公里范围内,南京路、静安寺等顶级商圈瞬达;五大权威三甲医院护航,市北高级中学、同济大学(沪北校区)等名校在侧,城市顶级资源,皆为业主而备。

✅静安玺樾售楼处电话:400-8854-706✅︎✅︎✅︎

03稀贵力不限价的上海土拍 限量的内环供应

上海发展日新月异,买房人价值观也在不断重塑:与其选择“已经成熟的价值”,不如选择“正在成长的价值”。

内环的房价一直处于楼市塔尖。截止至2024年的成交数据:上海内环成交均价已达约16.2万/㎡。同时2024年上海历经七次土拍,内环仅6幅地块供应,且最高楼面价已超过11万/㎡,静安玺樾均价12.5万/㎡,毫无疑问是当下置业内环最优解。

04纯粹力国际中兴城上 值此在售纯社区

单从价格来看,静安玺樾不属于静安单价的一梯队,但它对高端买家的需求洞察和产品力的理解一直是顶级的。仅从社区的规划,即能看出静安玺樾的功力。

✅静安玺樾售楼处电话:400-8854-706✅︎✅︎✅︎

✅静安玺樾售楼处电话:400-8854-706✅︎✅︎✅︎

遍览静安内环新盘,大多地块因为规划要求,包含了一定的自持租赁或是保障房源,又或是配置商业裙楼,办公物业等。

但静安玺樾约9.6万方的规模,没有底商噪音气味干扰,也没有保障租赁等物业。在静安内环,值此一份纯粹。

05景观力

约5000㎡都心园林 为生活而设计

不止于此,静安玺樾更在寸土寸金的静安内环,打造约5000㎡的都心园林。提供归家的仪式感,与无处不在的度假主义。

✅静安玺樾售楼处电话:400-8854-706✅︎✅︎✅︎

社区户外会客厅呵护邻里社交温度,楼下的六大主题花园也是承载亲子时光、家人生活场的最佳空间。

✅静安玺樾售楼处电话:400-8854-706✅︎✅︎✅︎

「四轴、五色、六礼」——优秀的规划理念,打造优美的社区景观。你会发现城市中心的度假感真实存在。

06 品牌力

北方集团 上海城市更新共建者

众所周知,稳健的开发商,是置业最坚实的保障。

北方集团,静安本土实力国企,全程参与了包括苏河湾、中兴城等静安重点板块的城市更新。

强大的国企实力+品牌背书,这也是为什么静安玺樾能成为内环置业优选的深层动因。

07 顶奢力

雅 境 奢 艺四相 北方集团TOP级序列

值得一提的是,静安玺樾延承北方集团TOP级标准,从“雅、境、奢、艺”四相出发,构建建筑、景观、公区、用材、精装、户型、服务、圈层等多维品质体系。

雅 | 文化的传续

溯源海派文化精髓,不惜成本的投入,以筑、材、色、纹、饰超标准营造封面级著作,更新当代海派建筑样式。

✅静安玺樾售楼处电话:400-8854-706✅︎✅︎✅︎

✅静安玺樾售楼处电话:400-8854-706✅︎✅︎✅︎

境 | 绿意的蔓延

不止是场景的铺陈,更将生活的仪式感在潜移默化中赋予,引发人度假般的重重惊喜体验。

美学示范区实景,非交付标准

奢 | 时间的检阅

静安玺樾带着人性化与智慧化的思考,营造五大超低能耗体系、六大空间设计系统、全系奢适精工体系,苛求做到99%,并坚持探索最后1%的完美。

✅静安玺樾售楼处电话:400-8854-706✅︎✅︎✅︎

超星级车库,媲美豪车展厅级归家仪制,驾车归来的日常,就是一场不寻常之旅。

✅静安玺樾售楼处电话:400-8854-706✅︎✅︎✅︎

至高近80%得房率 聚焦全周期户型

静安玺樾的产品力,为高端买家的选择再添一份底气。

品质改善,是出现在静安玺樾业主们购买理由中的高频词。中产家庭倾心的建面约94-165㎡户型面积段,静安玺樾有着至高近80%得房率,内环奢宅极为罕见。

✅静安玺樾售楼处电话:400-8854-706✅︎✅︎✅︎

餐客厅、阳台一体贯通,创造家人更多相处场景;科学收纳空间,极大地减少家务时间;次卧灵动多变,可按需改造成儿童房、工作室,电竞空间等,全面满足不同家庭结构的需求。

✅静安玺樾售楼处电话:400-8854-706✅︎✅︎✅︎

09服务力

上海高端物业御用管家 万科物业

服务,也是购买理由的重要部分。静安玺樾,先于客户所想,引入连续10年蝉联行业百强TOP1、上海高端物业御用管家——万科服务,定制社区出入、环境保洁、入户维修、双重管家、业主定制增值等11大服务内容,拓展美好生活维度。

示意图

✅静安玺樾售楼处电话:400-8854-706✅︎✅︎✅︎

更轻松的置业成本 更好的质价比选择

关于优质资产,知名媒体人给出过一个CROSS公式:资产价值 = 城市能级(City)×产品品质(Residence)×业主群体(Owners)×物业服务(Service)×地段资源(Site),而公式所产出的答案,都指向一个所见即所得的置业目标:静安玺樾。

尤其是在楼市利好频发的时机,静安玺樾就是资产安全的压舱石与美好生活的优选样本。以更轻松的置业成本,入席静安玺樾,千万级置业内环,获得永恒的中心资产。

✅静安玺樾售楼处电话:400-8854-706✅︎✅︎✅︎

声明:本文由入驻焦点开放平台的作者撰写,除焦点官方账号外,观点仅代表作者本人,不代表焦点立场。