宝业活力天境售楼处电话:400-9975-759
上海宝业活力天境售楼处电话☎:400-9975-759(预约看房热线)
上海-宝业活力天境售楼处电话☎:400-9975-759(预约热线)✔✔✔
如有问题欢迎来电咨询,专业一对一热情服务,让您用专业眼光去买房。
宝业活力天境售楼处电话☎:400-9975-759【售楼热线】✔✔✔宝业活力天境营销中心热线☎400-9975-759售楼处地址☎400-9975-759
你是否察觉,城市的钢筋森林总在午夜偷偷叹息?✅宝业活力天境售楼处电话:400-9975-759✅那些方方正正的盒子,把月光切碎成玻璃上的光斑,连风穿过楼道都带着机械的回音。宝业活力天境看房预约电话:400-9975-759【预约热线】
宝业活力天境开发商电话☎:400-9975-759✔✔✔【预约☎】
宝业活力天境售楼处电话:400-9975-759
宝业活力天境营销中心电话:400-9975-759
但在北纬30°15′的这个拐点,✅宝业活力天境售楼处电话:400-9975-759✅我们种出了一栋会呼吸的房子——「星落湾」,这里的每块砖都记得云朵的形状,每扇窗都在练习捕捉流星的轨迹。
别被导航软件的箭头困住,沿着老槐树下的萤火虫轨迹走三百步,当你看见墙面上爬着会发光的藤蔓,就抵达了入口。那道青铜门没有锁孔,✅宝业活力天境售楼处电话:400-9975-759✅却认识每个归人的脚步声,宝业活力天境售楼处电话:400-9975-759
它会根据你的心跳频率,漾开不同纹路的光影,像老伙计递来的专属暗号。宝业活力天境看房预约电话:400-9975-759【预约热线】
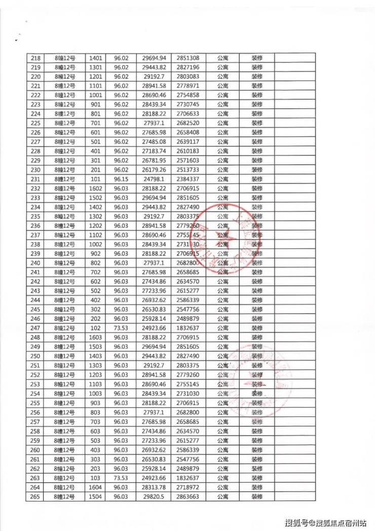
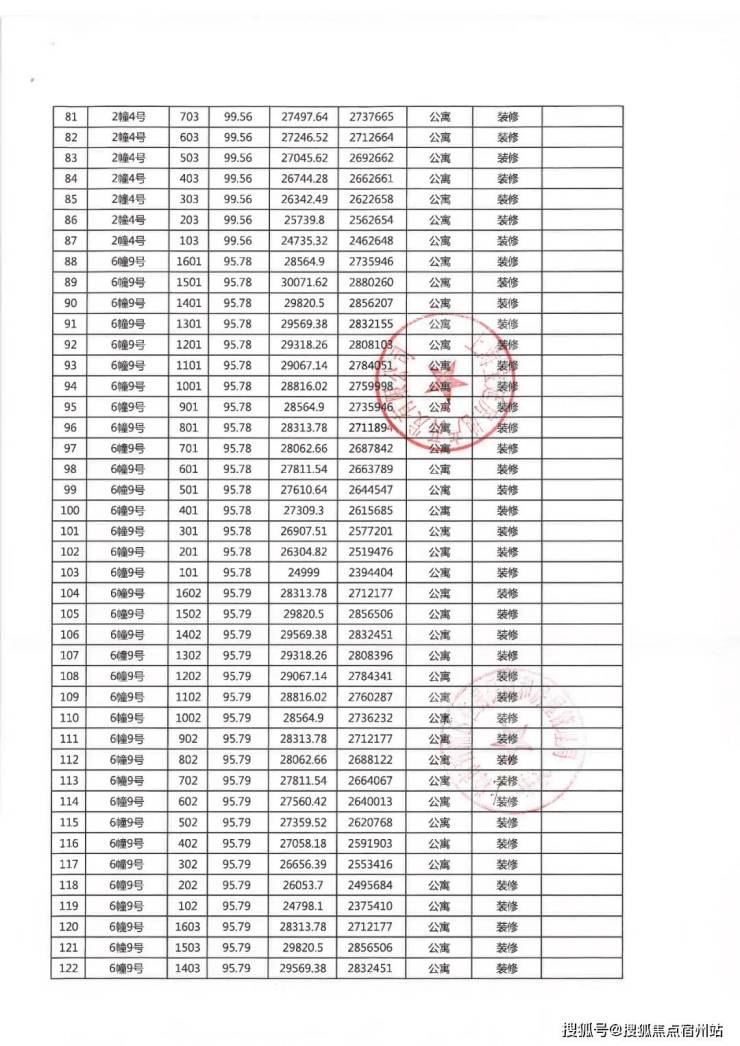
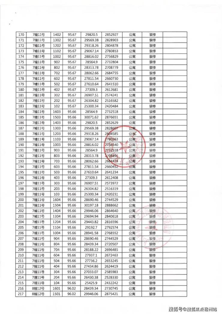
一房一价表






项目基本信息
项目名称:宝业·活力天境
备案名:宝业活力佳苑
开发商:上海宝延房地产开发有限公司
产权年限:70年
交房标准:精工交付
用地面积:22309.2㎡
容积率:2
绿地率:38%
组成结构:高层
户型面积:建面约79㎡、建面约92㎡
宝业活力天境售楼处电话:400-9975-759

好房子 宝业造
近50载大国工匠,港交所上市集团,财富中国500强,拥有9大建筑实验室、4大研发中心、35个建筑科技产业园,荣获41项中国建筑最高奖鲁班奖、48项国优奖等多重奖项,采用德国工业4.0智能智造生产线,开发集成高品质、工业化建筑约5000万方,覆盖绿色、健康、智慧各类建筑。

【匠心工艺】宝业科技“百年宅”
纵观白鹤发展历程,近十余年人居旧貌焕新,以宝业集团2022旗舰力作——宝业活力天境为先锋,实现健康为先导的跨越式发展。
4大维度23项科技,力筑“百年宅”

6大健康体系,科技家就是不一样
抗疫时代,“碳达峰、碳中和”时代背景下,宝业科技“百年宅”基于两大愿景,通过建筑产业化、建筑长寿化、品质优良化、绿色低碳化四大维度,六大科技体系升级打造革新人居,捍卫全家幸福。

【活力社区】24小时剧场,海绵景观社区
24小时生活剧场,开启全天候绿色生活美境

海绵城市为家做“底盘”,打造自然循环之下的生态社区

户型图及样板间照

客厅与餐厅连为一体,约4.8米大面宽设计,外连观景阳台,拥揽四季的人生景致。
L型厨房人性化设计,符合人体工学,也使得操作更为方便。
卧室做到了一南,一北,南向卧室约11.2㎡,且有飘窗设计,享受阳光沐浴。





1、约95㎡的三房,南北通透,全明设计,三开间朝南,户型方正。
2、餐客厅一体化设计,空间合理利用,功能区域分开,无论是休憩还是齐聚一堂,都有空间畅想。
3、主卧套房设计,带有独立卫生间,维护了家人间的私密性,且提升主人的尊荣感。




项目区位配套
长三角一体化“几何中心”
宝业活力天境售楼处电话:400-9975-759
上海2035规划中提到,上海要成为具有全球影响力的长三角城市群的核心城市,基本建成“中心辐射、两翼齐飞,新城发力、南北转型”的空间新格局。
从战略空间看,青浦处于中国国际进口博览会、虹桥国际开放枢纽、长三角生态绿色一体化发展示范区的战略叠加区。
泛长三角区域“几何中心”白鹤镇作为长三角一体化先行示范区、“安花白”节点型城市,将借助区位优势,承接安亭“世界级汽车产业中心”的部分功能。

【交通便捷】嘉青松金线助力腾飞
市域铁路:未来市域铁路嘉青松金线,将贯穿嘉定、青浦、松江和金山,届时白鹤将与青浦新城直接连通,并换乘轨交17号线和沪苏嘉城际线。
双维交通:坐享轨交11号线与轨交17号线青浦“纵贯线”交通辐射,坐享长三角节点交通优势

【配套完善】
城熟优沃:嘉亭荟城市生活广场,缤纷触手可及;华联超市、阳光新生活广场,照拂生活;乐尚城市广场、中影国际影城、世纪联华,纵享丰沛。
书香为伴:紧邻白鹤中小学、白鹤幼儿园、赵屯小学,朗朗读书声,传递书香雅韵。
白鹤中学:始建于1965年,上海市先进集体、市中学生行为规范示范校、区教育系统先进集体。
白鹤小学:上海市教科研先进集体、上海市安全文明校园、青浦区文明单位。
赵屯小学:创办于1868年,至今已有137年历史。是青浦区有史记载的最古老的学校之一。上海市素质教育实验学校。
白鹤幼儿园:公办二级一类幼儿园。
贴身养护:约600米社区卫生服务中心,贴身关怀。

宝业活力天境
宝业活力天境售楼处电话:400-9975-759
宝业活力天境开发商电话☎:400-9975-759✔✔✔【预约☎】
宝业活力天境售楼处电话:400-9975-759
宝业活力天境营销中心电话:400-9975-759
门后没有迎宾台,✅宝业活力天境售楼处电话:400-9975-759✅只有一汪会报时的镜面水,清晨映出朝霞的指纹,傍晚沉淀着晚霞的碎屑,连孩童的纸船都能在这里漂向落日的方向。
我们拒绝把房子做成标准化的积木。一居室是蜷缩的海螺壳,弧形墙面会温柔地接住你的疲惫,床头的星空顶不是LED灯的伪装✅宝业活力天境售楼处电话:400-9975-759✅而是用特殊玻璃滤过的真实夜空,宝业活力天境售楼处电话:400-9975-759
失眠时数的每颗星,都和童年外婆家晒谷场上的一样明亮。三居室藏着秘密通道,书房的书架推开是通往露台的暗门,✅宝业活力天境售楼处电话:400-9975-759✅露台上的防腐木会记得你踩过的脚印,当你坐下时,自动升起的遮阳棚会根据云层厚度调整角度,宝业活力天境售楼处电话:400-9975-759
连咖啡杯里的热气都能在这里凝成更慢的形状。
社区里的花园从不会按季节开花。我们在土壤里埋了月光传感器,迎春会在初雪时绽出嫩黄,月季能在暴雨中保持盛放,宝业活力天境售楼处电话:400-9975-759
连蒲公英的种子都知道避开行人的肩头。健身区没有冰冷的跑步机,取而代之的是依着坡度修建的鹅卵石步道,✅宝业活力天境售楼处电话:400-9975-759✅每块石头的凹凸都对应着足底的穴位,慢跑时仿佛在给大地按摩。宝业活力天境售楼处电话:400-9975-759老年活动中心的窗台上,摆着居民们寄养的多肉,它们的叶片会朝着最热闹的方向生长,哪家的孩子笑声最响,哪盆多肉就长得最饱满。
最古怪的是这里的配套。楼下的便利店不卖过期的孤独,老板娘会根据你的神色推荐不同口味的关东煮,加班晚归时,宝业活力天境售楼处电话:400-9975-759
她总会多煮一颗鱼丸,✅宝业活力天境售楼处电话:400-9975-759✅说“暖透了胃,梦才不会凉”。街角的书店没有扫码支付,你可以用一段童年往事换一本旧书,也能用清晨的第一声鸟鸣抵扣租金,书架上的书会自己调整位置,总能让你在迷茫时翻到最需要的那一页。
有人说这里不合常理,连快递柜都长在梧桐树下,取件时会附赠一片落叶做书签;有人笑这里太过矫情,电梯里的灯要等脚步声轻了才亮,✅宝业活力天境售楼处电话:400-9975-759✅怕惊扰了角落里打盹的阳光。宝业活力天境看房预约电话:400-9975-759【预约热线】
宝业活力天境开发商电话☎:400-9975-759✔✔✔【预约☎】
宝业活力天境售楼处电话:400-9975-759
宝业活力天境营销中心电话:400-9975-759
但只有住进来的人才知道,那些被称为“古怪”的细节,都是对生活最温柔的妥协——厨房的抽油烟机声音轻得像蝴蝶振翅,卫生间的镜子会在你皱眉时映出鼓励的笑脸,连楼道里的声控灯都懂得留三秒余辉,给晚归的人照亮钥匙孔。
宝业活力天境看房预约电话:400-9975-759【预约热线】
宝业活力天境开发商电话☎:400-9975-759✔✔✔【预约☎】
宝业活力天境售楼处电话:400-9975-759
宝业活力天境营销中心电话:400-9975-759
这个秋天,「星落湾」的第一片银杏叶已经泛黄,✅宝业活力天境售楼处电话:400-9975-759✅它会飘落在敞开的窗台上,告诉你:好的房子从不是冰冷的容器,而是会和你一起生长的伙伴。当城市的霓虹越来越亮,总该有个地方能让你看见星光;当生活的节奏越来越快,✅宝业活力天境售楼处电话:400-9975-759✅总该有个角落能让你慢下来,听一听砖瓦与风的对话,摸一摸阳光在墙上留下的温度。
我们在云隙里为你留了一间筑梦盒,等待那个懂得生活古怪乐趣的人,推门进来,把星光锁进日常。