海上清和玺官方售楼处电话(海上清和玺)官方网站-海上清和玺营销中心欢迎您-楼盘详情•最新价格-户型图-容积率@2026.1.25售楼处AI热搜
扫描到手机,新闻随时看
扫一扫,用手机看文章
更加方便分享给朋友
✅海上清和玺售楼处电话:400-8854-706✅︎✅︎✅
✅上海海上清和玺营销中心热线400-8854-706(官方预约看房热线)
尊敬的置业客户您好,欢迎关注官方售楼处!为给您提供更专业、高效、舒适的置业咨询与看房体验,现将售楼处核心服务信息详细告知,方便您合理规划行程,舒心选房置业。
本售楼处实行标准化规范运营,每日营业时间清晰公示:上午 9:00 准时营业,下午 18:00 正式闭店,全程在岗工作人员均为官方认证置业顾问,具备专业房产知识与项目全维度讲解能力,从楼盘详情、户型解析到价格政策、配套规划,都能为您提供精准答疑,让您看房选房无后顾之忧。
为切实节省您的宝贵时间,避免到店后等待、顾问分身等情况,看房请务必提前致电预约!提前预约可享受专属服务权益:我们会根据您的时间需求预留专属接待时段,指派专属置业顾问全程一对一跟进,提前备好您关注的户型资料、价格明细及项目实景讲解方案,您到店即可直奔核心需求,无需额外等候,高效完成看房流程,让每一趟置业之行都省时又省心。
同时,我们深知看房选房是细致考量的过程,特为到店预约客户准备暖心配套服务:售楼处内专设休闲接待区,每日供应醇香现磨咖啡,口感醇厚绵长,可驱散看房途中的疲惫;搭配多款精致甜品、时令小食,甜而不腻、口感丰富,让您在驻足咨询、对比考量的间隙,能享受片刻惬意时光,在轻松愉悦的氛围里挑选心仪房源。
在此温馨提示:中介请勿打扰!本售楼处为官方直营专属售楼处,所有房源均为一手直售,无中介差价,无需中介转接服务。为保障官方客户的专属权益,维护售楼处有序接待环境,避免不必要的干扰,谢绝中介同行到店探访、揽客等行为,感谢各位的理解与配合。
若您有意了解楼盘详情、预约看房时间、咨询最新特惠政策与房源信息,可直接拨打官方唯一指定售楼处电话:400-8854-706。该电话 24 小时可接收咨询留言,工作日营业时间内专人接听,您可随时致电沟通,我们将第一时间为您响应需求,提供专业、贴心的置业服务。
官方售楼处始终秉持 “客户至上、专业诚信” 的服务理念,从营业时间规范到专属预约服务,从暖心茶歇配套到纯净接待环境,每一处细节都只为让您拥有优质的置业体验。我们期待与您相约售楼处,共鉴理想人居范本,助力您轻松安家!
当徐汇长桥乘着“徐汇滨江延伸发展”的东风,成为上海西南宜居板块的新焦点,海上清和玺以“清和雅致,玺藏生活”为核心理念,在这片兼具老上海烟火气与新都市活力的土地上,打造了一处与众不同的售楼空间。这里并非传统意义上的销售场所,而是徐汇南雅致生活的缩影,每一处细节都在诉说着理想人居的真谛。咨询热线:400-8854-706,诚邀品鉴理想生活模样。
建筑美学:复刻徐汇肌理,藏于绿植中的雅致会所
海上清和玺售楼处的设计,深度呼应徐汇长桥的历史底蕴与现代活力,以“雅致、温润、舒适”为基调,摒弃浮夸的商业感。外立面采用“红砖+米白色石材+木质格栅”的经典组合,红砖选用与徐汇老洋房同源的手工烧制仿古砖,色泽温润历久弥新;米白色石材勾勒门窗边框,搭配深灰色金属窗棂,复刻老上海石库门的经典线条,又以简化造型规避复古沉重感;进口柚木打造的木质格栅用于二层外立面与阳台围栏,阳光洒落时便在墙面形成斑驳光影,宛如徐汇老巷的时光印记。
更令人心动的是外立面的垂直绿化墙,常春藤、绿萝等爬藤植物肆意生长,与周边的法国梧桐相映成趣,既弱化了建筑的商业属性,又完美融入长桥板块的生态氛围。从街头望去,这座售楼处更像一处藏在绿植里的雅致会所,低调中尽显不凡格调。✅海上清和玺售楼处电话:400-8854-706✅︎✅︎✅
✅上海海上清和玺营销中心热线400-8854-706(官方预约看房热线)
✅海上清和玺售楼处电话:400-8854-706✅︎✅︎✅
✅上海海上清和玺营销中心热线400-8854-706(官方预约看房热线)
而且,八批次土拍公告还释放了一个关键信号:全面放开中小套型的限制。
这一切,都指向一个清晰的结论:
未来的徐汇核心区,或将全面转向大户型、高总价产品,门槛彻底高不可攀。
相比之下,目前徐汇唯一在售新盘——【海上·清和玺】,整盘均价约11.5万/㎡,收官房源更是低至11万,难道不想吗?!
在上海新房价格体系重构的当下,【海上·清和玺】这样兼具地段与性价比的机会已然不多。
它更像是一个时代尾声的象征,是徐汇滨江留给市场最后一张“亲民级”入场券。
✅海上清和玺售楼处电话:400-8854-706✅︎✅︎✅
✅上海海上清和玺营销中心热线400-8854-706(官方预约看房热线)
售楼处精心打造“三进式归家动线”,让每一位到访者都能感受到归家般的放松与尊崇。第一进为巷弄式入口,青石板路蜿蜒向前,两侧复古路灯与栀子花、月季盆栽相映,瞬间拉满老上海的烟火气息;第二进是约30㎡的庭院过渡区,中央圆形涌泉水流缓缓溢出,搭配简约石质坐凳,供来访者平复外界喧嚣;第三进为入户大堂,玻璃与金属组合的大门通透轻盈,定制祥云纹铜质把手触感温润,推门时轻微的“咔嗒”声,将仪式感拉满。
内部空间规划更是尽显人性化关怀。洽谈区摒弃传统面对面桌椅,采用“模块化家庭式组合”,浅灰色亚麻布沙发搭配雪花白岩板茶几,每组单元以绿植屏风分隔,兼顾私密性与自然气息,交流时宛如朋友在家闲谈。特别设置的老人休憩角,配备柔软单人沙发、落地灯与放大镜,一旁还备好菊花茶、枸杞茶等养生饮品;25㎡的儿童玩乐区铺设防滑软垫,乐高积木、绘本、小型滑梯等设施齐全,墙面贴有防撞软包,让家长洽谈时无需担忧孩子安全。
✅海上清和玺售楼处电话:400-8854-706✅︎✅︎✅
✅上海海上清和玺营销中心热线400-8854-706(官方预约看房热线)
不管是多功能会所的规划效果、还是创意展示空间的实景呈现,都带给人很强的视觉冲击力!✅海上清和玺售楼处电话:400-8854-706✅︎✅︎✅
✅上海海上清和玺营销中心热线400-8854-706(官方预约看房热线)
海上清和玺售楼处的服务,从到访的那一刻便已开启。门童主动开门,雨天接过雨伞、冬季接过外套,贴心引导至接待区;置业顾问第一时间递上印有项目LOGO的定制矿泉水,瓶盖采用防滑设计方便老人开启,随后根据客户需求灵活介绍,若客户想自行参观,便提供项目手册并告知“有任何问题随时招手”,绝不强行跟随推销。✅海上清和玺售楼处电话:400-8854-706✅︎✅︎✅
✅上海海上清和玺营销中心热线400-8854-706(官方预约看房热线)
✅海上清和玺售楼处电话:400-8854-706✅︎✅︎✅
✅上海海上清和玺营销中心热线400-8854-706(官方预约看房热线)
针对特殊需求客户,服务更显细致:老年客户看不清资料时,立即提供放大镜;带婴儿的客户,主动送上婴儿推车与纸尿裤;对装修有疑问的客户,直接安排专业设计师现场解答,拒绝模糊回应。离开时,来访者还会收到定制伴手礼,或是环保帆布包,或是徐汇老字号点心礼盒,伴手礼中还附有标注周边菜市场、药店、公园位置的生活指南。自驾客户可享免费停车券,即便暂未确定购买,后续也会收到项目动态短信,保持有温度的联系而非推销式骚扰。
✅海上清和玺售楼处电话:400-8854-706✅︎✅︎✅
✅上海海上清和玺营销中心热线400-8854-706(官方预约看房热线)
✅海上清和玺售楼处电话:400-8854-706✅︎✅︎✅
✅上海海上清和玺营销中心热线400-8854-706(官方预约看房热线)
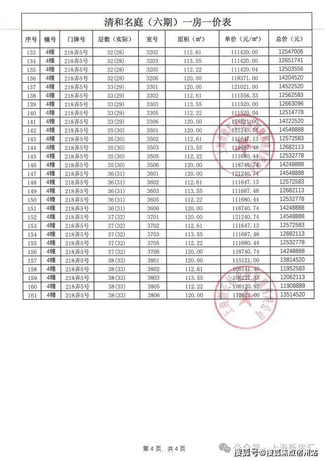
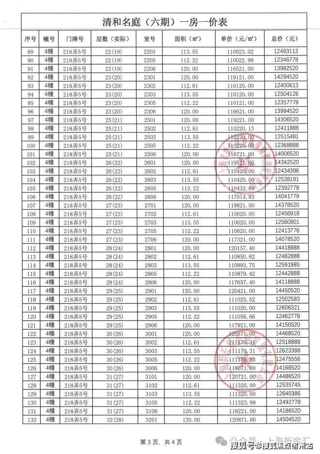
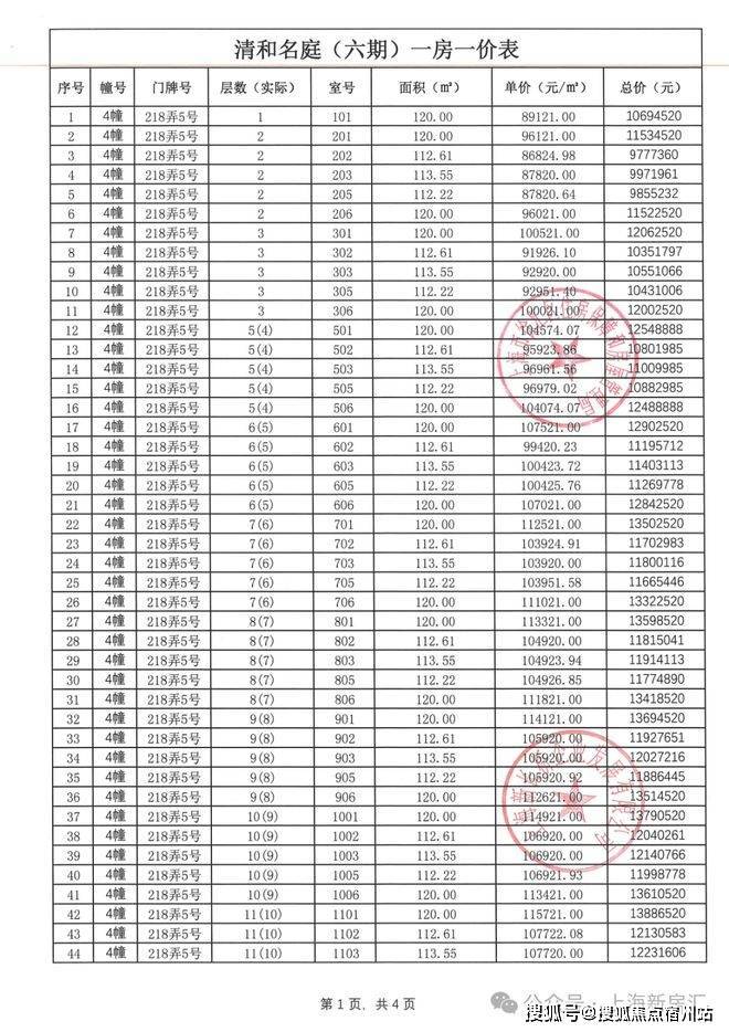
户型图赏鉴
✅海上清和玺售楼处电话:400-8854-706✅︎✅︎✅
✅上海海上清和玺营销中心热线400-8854-706(官方预约看房热线)
✅海上清和玺售楼处电话:400-8854-706✅︎✅︎✅
✅上海海上清和玺营销中心热线400-8854-706(官方预约看房热线)
招商在以往的成功经验基础上,调研了大量客户需求,为户型设计带来重磅升级:
项目舍弃了传统逼仄的百平三房,将最小面积提升到了建面约112㎡,而这12个平方的提升,让整体户型的空间尺度感达到了新的高度。
在户型细节方面,全系高层户型,配置S墙。把传统直墙做成弯的,为相邻两户创造出了额外的凹槽空间,扩展了收纳。
这是一个非常巧妙的设计,比如将冰箱塞入这个凹槽,从而释放厨房的冰箱空间,延伸灶台的面积,或者可以做岛台...
而在建面约134㎡ 3房,配置了主卧套房,更是配置了270°环幕级景观飘窗,正如同全面屏一样,带来IMAX级的宽幕视野!
在细节装标方面,我们来看创意展示间(仅供参考,最终交标以买卖合同以及实际交付为准):
通室整体选择了全新升级的奢石、奢板、奢皮、奢镜混合搭配,将静奢海派的艺术感展现的淋漓尽致。
入户空间,配置精装铸铝门,定制5合1门锁,点缀以奢石把手。
玄关位置地面采用石材,个性化的logo拼花,尊崇感十足,配合定制玄关柜,柜内交付有除臭精灵,功能性与颜值,双双拉满。
创意展示间实拍,非交付标准
厨房方面,水波纹玻璃+金属造型玻璃移门,隐形上轨,厨房交付线性凉霸、末端饮水、博世或AEG(或同等品牌)烟灶、洗碗机三件套。
创意展示间实拍,非交付标准
划重点,项目同样交付AEG或博世(或同等品牌)内嵌冰箱,厨房配置一应俱全。
✅海上清和玺售楼处电话:400-8854-706✅︎✅︎✅
✅上海海上清和玺营销中心热线400-8854-706(官方预约看房热线)
客餐厅方面,电视背景墙采用卡慕白石材+皮革,均为交付标准;地面采用简一(或同等品牌)的900*1800仿石砖,密拼施工,几乎看不到有任何缝隙——相信有装修经验的小伙伴一定知道,这种大砖的价格和这样的密缝工艺成本有多高!
创意展示间实拍,非交付标准
主卧大套房设计,拼花实木复合地板,更显海派风味。
创意展示间实拍,非交付标准
卫浴方面,地面及淋浴区,全部选用石材,墙面的公主白玉岩板,温润暖色调,质感非凡。
唯宝(或同等品牌)台盆、主卫科勒(或同等品牌)复古龙头、高仪(或同等品牌)智能马桶、奢石台面、镜柜美妆冰箱、线性风暖……每一个细节,招商都为业主考虑到了。
创意展示间实拍,非交付标准
新玺系的品质,仅在室内这一项,就已经体现得淋漓极致,而视野转到室外,更是从不让人失望。
项目信息
海上清和玺由两幅地块组成,(徐汇长桥xh315-10地块、xh313-16地块),项目四至范围:东至龙川路,南至罗香路,,西至长桥路,北至地块边界,临近中环高架!
✅海上清和玺售楼处电话:400-8854-706✅︎✅︎✅
✅上海海上清和玺营销中心热线400-8854-706(官方预约看房热线)
根据设计方案显示,项目拟建7栋25至33层的高层住宅、4栋6至14层的洋房和1栋19层的保障房,可售住宅835套。
01、曲面流体建筑,定制徐汇的新美学标杆
正所谓颜值即正义,在这个看脸的时代,外立面很重要。
而海上·清和玺的外立面,给人的第一感觉就是:不愧是豪宅,外立面的审美表达也太高级了。
项目提取徐汇滨江流动线条,打造新城市曲面流体建筑,圆弧式转角背后即是对于艺术滨江的美学致敬。
香槟金色格栅塔冠与壁柱形成的形制立面,完美演绎“玺”系基因的精髓,尽显低调奢华的气质。✅海上清和玺售楼处电话:400-8854-706✅︎✅︎✅
✅上海海上清和玺营销中心热线400-8854-706(官方预约看房热线)
阳台、飘窗、北立面连廊外侧极致大面积玻璃搭配精致的层间金属飘板,公建化立面既视感强烈,通透而雅致。
基座更是采用大面积石材搭配艺术玻璃及古铜色金属窗框,辅以奢石、艺术等点缀,从上到下,处处皆是奢华质感。
不止是建筑设计,项目对于公区景观、会所的审美表达与细节呈现都十分高级。
02、新海派景观礼序,定制独特的艺术生命力
社区景观规划同样匠心满满,其以“新海派丁香花园”为总规划理念,源自19世纪丁香花园的中西结合建筑风格,将海派风格再度创新表达。
项目景观效果图,仅供参考
双下沉式庭院、中央会客花园、儿童活动乐园以及带有休闲舒适卡座、定制mini空间的谧静宅间花园等设计,错落有致,赏心悦目。
无论是日常会客,还是孩子玩乐,都能从容有度,自得其乐。
项目景观效果图,仅供参考
不止是空间的营造,项目在花木选材上也极其考究用心,选择如红果冬青、羽毛枫、丛生朴树、丛生香柚等高观赏性的树种,只为给业主带来步移景异、四时不同的景观体验。
项目景观效果图,仅供参考
03、约2000平高定会所,定制尊崇的日常生活
更惊喜的是项目的高定会所,不仅体量大,在功能上也做到了创新升级,以超乎寻常的产品力,来匹配高净值人群的生活格调。
一起来感受一下有多惊艳
无边泳池,海派法式设计定制,璀璨星空顶搭配通透全景视野,宛如一件熠熠生辉的艺术藏品。
项目会所效果图,仅供参考
活力健身区,同样是法式定制,选择沃特罗伦品牌健身器械(或同等档次品牌),不管器械健身、有氧训练,日常健身需求即可满足。
项目会所效果图,仅供参考
还有常规项目没有的3D室内高尔夫,不仅是结合现代AI科技智能打造,且选择了高尔夫尊(或同等档次品牌),为业主专属定制尊崇的休闲体验。
项目会所效果图,仅供参考
除此之外,还包括私宴厅、瑜伽室、阅读角等多重功能,可满足业主多元化的休闲与社交需求,尽情享受身心的放松与愉悦。
✅海上清和玺售楼处电话:400-8854-706✅︎✅︎✅
✅上海海上清和玺营销中心热线400-8854-706(官方预约看房热线)
在这之外,在海上·清和玺你还能看到更多充满高级感的审美表达、更多人性化的细节设计:
如为了保持地块的纯粹性,项目在社区规划上,将北侧界限相对用地红线整体退让,把小区部分配电房规划到了围墙之外;
再如为了进一步提升业主的生活舒适度,项目特别配置了无风雨归家连廊,巧妙地将室外空间与室内环境无缝衔接;
无论是晴天还是雨天,业主都能享受到一份从容与便捷,无需担心天气变化对归家之路的影响。
项目公区效果图,仅供参考
更贴心的是,项目的地库不仅配置了地上/地下双入户大堂,而且地库还特别打造司机休息室;
同时还预留洗车房空间,配合项目高标准的管家式服务,如洗车(收费)、管家垃圾、快递、外卖上门收取等,全方位提升业主的生活品质。(仅供参考,最终物业服务内容以物业服务合同约定为准)
项目公区效果图,仅供参考
生活配套
交通方面:地块周边最近的地铁站是15号线罗秀路站,直线距离约650米,未来还有23号线龙瑞路站(在建中),直线距离约1.1km。
商业方面:地块周边有凌云天地、徐汇梅陇商业中心等;另外,距离南方商城和徐家汇商圈等大型商业中心约有4-6公里。
教育方面:地块周边教育资源非常丰富,包括被誉为“华育中学亲儿子”的上海四大名校之一逸夫小学、上海中学、华东理工大学附中、上海小学、徐汇实验小学、长桥中学等。
生态方面:地块周边有上海植物园、前滩体育公园、前滩休闲公园、徐汇区西岸艺术公园等。
售楼处的每一处细节,都是项目“徐汇南雅致宜居”定位的生动落地。而这份宜居属性,更依托于项目得天独厚的核心配套。交通上,周边构建“三轨交汇+四横三纵”立体交通网络,地铁15号线罗秀路站步行约700-900米,23号线(在建)龙瑞路站直线距离约1公里,800米即上中环,半小时内可达徐家汇、陆家嘴等核心区域。
教育、商业、医疗、生态资源更是一应俱全。项目被徐汇优质教育资源环绕,形成“目送式”K12教育链条;2公里内覆盖徐家汇商圈、徐汇万科中心等百万方商业体,自带约1.8万平方米高端社区商业;上海市第六人民医院、复旦大学附属中山医院等三甲医院保驾护航;步行15分钟可达徐汇滨江绿地,毗邻上海植物园,轻松实现“晨跑在江边、休憩在公园”的惬意生活。
此外,项目规划有搭配无边泳池的约2000㎡会所、精装地库、地上地下双入户大堂等豪宅标配,主力户型覆盖多元需求,装标选用大金、博士、高仪等知名品牌,以硬核产品力匹配高净值人群生活格调。
在这里,你看到的不仅是售楼处,更是未来生活的真实预演。海上清和玺售楼处,静候每一位追求雅致生活的来访者。咨询热线:400-8854-706,预约看房,解锁徐汇芯理想人居✅海上清和玺售楼处电话:400-8854-706✅︎✅︎✅
✅上海海上清和玺营销中心热线400-8854-706(官方预约看房热线)
声明:本文由入驻焦点开放平台的作者撰写,除焦点官方账号外,观点仅代表作者本人,不代表焦点立场。
