大华公园柏翠(大华公园柏翠)楼盘详情-2025年最新房价-户型-容积率-小区环境

搜狐焦点宿州站 2025-10-07 13:39:57
用手机看
扫描到手机,新闻随时看

扫一扫,用手机看文章
更加方便分享给朋友

大华公园柏翠售楼处电话:400-8377-020

大华公园柏翠售楼处电话:400-8377-020 「大华·公园柏翠」

距离静安仅400米

大宁以北,中环公园大盘

加推约101-142㎡3-4房户型

均价65327元/㎡ 正在认筹中

样板房提前线上预约

大华公园柏翠售楼处电话:400-8377-020

大华公园柏翠售楼处电话:400-8377-020

升值潜力上

2024年9月14日上海迎来第五批次土地出让,备受关注的 “大宁灵石社区地块”,成交楼板价约68280元/㎡,刷新大宁板块纪录,除去办公,保守估计产品入市均价在 12-13万/㎡, 甚至有说高达16万/㎡。

内行人看门道,大宁土地价值再次得到印证和提升,接下来买到核芯地段、品质新房的门槛将大幅度的提高,而位处 大宁之上,距新地块咫尺距离的 大华·公园柏翠,四批次均价约6.24万/㎡,

居住属性上

“即使不做运动,只是在公园待上二十分钟,也能让自身状态更佳。”

这是《国际环境健康杂志》提出的“二十分钟公园效应”,可见自然对于人类的重要性。

在寸金寸土的城市里,公园变得愈发弥足珍贵。

大华公园柏翠售楼处电话:400-8377-020

公园是生活的自然入口,它诠释着都市人对于自然栖居的梦想,是人与人产生链接的重要场所,更是身心安顿的自然空间。

公园是天然的健康磁场,1棵树每天约能产生15kg鲜氧、1平米草地每天能制造约0.9kg鲜氧,并能降低7-8分贝噪音。一座公园,等同于一个造氧、静音、调节温湿度的「天然氧吧」。

公园是永恒的财富价值,从伦敦的海德公园(公园资产最高约合15.6亿人民币/套),到纽约的曼哈顿中央公园(公园资产最高约合16.5亿人民币/套),再到日本新宿的御苑(公园资产单价约6万人民币/㎡),公园旁一直都是豪宅诞生最密集的地方。大华公园柏翠售楼处电话:400-8377-020

大华公园柏翠,因其约 2公里范围内拥有总量约80万方的生态公园(相当于2个长风公园)而火爆于市场,成为公园生活的理想。大华公园柏翠售楼处电话:400-8377-020

其中,包含一个千亩绿境,是家门口的生态绿境,可以随时随地亲近自然。

以及,4大城市公园。例如,约3万方庙行公园、约4.2万方共和公园、约2.7万方三泉公园以及约9.3万方彭浦四季公园, 居住在此,可以尽情的享受公园生活。

(示意图,数据来源于网络)

大华公园柏翠售楼处电话:400-8377-020

项目凭借天然大氧吧旁,板块的价值、低密的规划以及轻奢的品质,都是爆火市场的理由。

大华公园柏翠售楼处电话:400-8377-020

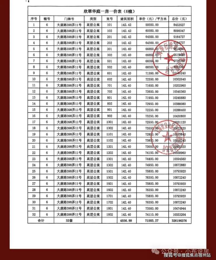
项目加推164套建面约101-142m²3-4房

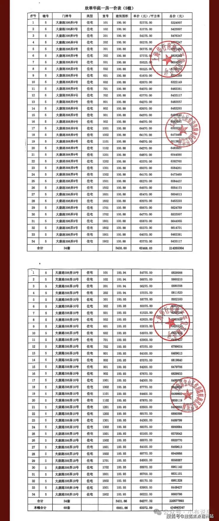
过会均价65327元/m²

三期少量房源在售

前期少量建面约101-124-142㎡3-4房

过会均价624805元/㎡,总价532万起

大华公园柏翠售楼处电话:400-8377-020

大华公园柏翠售楼处电话:400-8377-020

大华公园柏翠售楼处电话:400-8377-020

大华公园柏翠售楼处电话:400-8377-020

感兴趣的朋友赶紧来看吧

为避免大客流影响服务质量、影响到您的参观体验,

仅接受预约参观,感谢您的理解与支持!

大华公园柏翠售楼处电话:400-8377-020

即可预约 莅临品鉴

项目信息

3月26日,上海宝山区发布公示,拟以协议方式出让宝山区庙行镇N12-1001单元15-03地块(“城中村”改造项目-庙行镇康家村)。

根据现有的信息可以看到,此次推出的旧改地块,其实是在之前的新盘大华公园城市三期的南地块,两个地块紧挨着(四期:大华公园柏翠)。

为什么不叫大华公园城市四期了?因为此次推出的是大华高端系列产品。

大华公园柏翠售楼处电话:400-8377-020

项目四至范围:东至15-06地块(公共绿地)、南至15-04地块、西至大康路、北至共康路,占地面积43500㎡,总建筑面积140051.13㎡,容积率2.20。

大华公园柏翠售楼处电话:400-8377-020

根据项目规划设计方案, 拟建15幢建筑。其中,4幢16层、10幢17层、1幢18层保障房以及配套用房等建筑、其中18F的楼栋为保障房。 整个小区共计834户。可以看到,小区的排布比较传统,最大约70米开阔楼距,尊崇一梯两户,车位比也比较充足。

大华公园柏翠售楼处电话:400-8377-020

整个小区,南面规划了一大幅教育用地,其中规划了复旦附中旦华学校,西面原有的工业厂房,也进行了新的绿地规划。

大华公园柏翠售楼处电话:400-8377-020

项目社区秉承 “内外双公园、城市公园一体化”理念,打造出 “一轴、一带、一环、九大花园空间”的生态品质社区。

大华公园柏翠售楼处电话:400-8377-020

一轴:纵向公园归家轴

一带:横向精致花园带

一环:阳光有氧环形跑道

大华公园柏翠售楼处电话:400-8377-020

大华公园柏翠售楼处电话:400-8377-020

九园:潮汐花园(社区外围口袋花园)、浔湾秘境(会所式入户)、社交剧场、漫游森境、下沉会所、阅读花园、社交花园、自然博物馆。

大华公园柏翠售楼处电话:400-8377-020

约80米气派门面:非凡界面昭示,彰显大家门风。

大华公园柏翠售楼处电话:400-8377-020

星级酒店大堂:全T2设计,出入从容,悦享私密尊崇。

大华公园柏翠售楼处电话:400-8377-020

高感车库:引光入径,指引回家方向,营造明亮温馨的仪式感。

大华公园柏翠售楼处电话:400-8377-020

大华物业: 国家一级物业管理资质,中国物业服务百强企业,为逾百万家庭幸福生活保驾护航

大华公园柏翠售楼处电话:400-8377-020

约500万+起在中环旁买正3房

只有大华公园柏翠能满足你!

有一个前提大家一定要清楚:大华公园柏翠是整个中环线上,距 离市区更近的新房。

这个项目与很多千万以上的豪宅处于同一纬度:

大华公园柏翠售楼处电话:400-8377-020

中环的地段价值+总价约500万+起的价格,大华公园柏翠妥妥的价格洼地!

但在这样的洼地价格上,大华还为购房者带来了比肩千万级豪宅的产品力,真的是非常惊艳:

先来看户型:

建面约101㎡的3房!

大华公园柏翠售楼处电话:400-8377-020

稀缺属性上:

目前上海中小套配比已经改变了,小高层和高层产品未来的门槛将会是建面约110㎡起。

这意味着,未来不仅将增加10-20㎡置业成本,并且百平米左右的3房将成为市场臻稀产品。

大华公园柏翠售楼处电话:400-8377-020

产品力上:

如果你熟悉上海市场,你会发现目前市面上的户型普遍会面临:利用率低、有连廊、采光不足、卫生间少/功能性差、卧室太小不够等问题。

但大华公园柏翠的建面约101㎡3房2卫,却很好的解决了以上所有问题:

约5.3米的大横厅、整体约11.5米的巨型南向面宽!

大华公园柏翠售楼处电话:400-8377-020

一方面,在整个中环甚至是整个上海, 百平米3房能做到约11.5米面宽的新房,只有大华公园柏翠。

另外一方面,这个南向采光面带来的居住舒适度是MAX级的。

尤其是 约5.3米的大横厅+超大阳台的设计,撑起气场的同时,也能为家庭带来更多的生活想象。

大华公园柏翠售楼处电话:400-8377-020

实景图

小高层+飞机户型造就真3房的实用性!

大华公园柏翠售楼处电话:400-8377-020

小高层的天然高得房率+飞机户型带来的0走道优势,让这个百平米户型做到了真正的3房!

相比竞品户型的2房+1个功能房 ,其功能性天壤之别。

大华公园柏翠售楼处电话:400-8377-020

大华公园柏翠售楼处电话:400-8377-020

实景图

南北通透带来极为宜居的居住环境!

大华公园柏翠售楼处电话:400-8377-020

大华公园柏翠的客餐厅以及厨房一脉相连,中间套也能实现完全的南北通透,出色的空气流动性能为业主带来更加舒适、宜居的居住氛围。

LDKB的设计,在撑起气场的同时,也增加了更多的生活想象!

还有细节方面的设计,例如:次卫的干湿分离保证室内的干燥;入户的玄关、主卧的套房,保证了主人的私密空间...

这个户型拥有一个“好户型”的所有特质,上车必看的首选户型!

样板间看房视频独家首发!

建面约142㎡类一梯一户顶奢4房:

大华公园柏翠售楼处电话:400-8377-020

稀缺属性上:

2021年至今,整个上海140-145㎡新房仅供应532套,占比 不足5%。光这个产品在整个市场中就已经足够稀缺了。

产品力上:

说实话,到建面约142㎡的维度,各个项目的户型设计都很不错。

但有几点真的是大华公园柏翠独有的。

类一梯一户,享独立电梯厅 ,在入户仪式感和私密性拉满的同时, 增加了实际使用面积 ,变相提高了“得房率”。

四开间朝南南向面宽达约15.4米,其中三卧朝南。 一般来说,4房户型中2房朝北是逃不掉的问题,但大华公园柏翠长面宽短进深的设计,让这个户型的 得房率、采光度 更上一层楼。

约5.9米面宽的巨幕横厅 ,加上同样面宽的宽绰阳台,为业主带来更多的生活想象。

这个户型拥有一个好户型应该拥有的所有特质!

大华公园柏翠售楼处电话:400-8377-020

大华公园柏翠售楼处电话:400-8377-020

大华公园柏翠售楼处电话:400-8377-020

大华公园柏翠售楼处电话:400-8377-020

实景图

这两个产品,真的是如今上海市面上,同级别户型中设计感最强的户型。

最后,还有一点: 项目将标配国际家装大牌、臻选精奢材质

大华公园柏翠售楼处电话:400-8377-020

大华公园柏翠售楼处电话:400-8377-020

大华公园柏翠售楼处电话:400-8377-020

大宁市北高新产业区辐射

距离市区更近的约500万+起新房

一个好房子除了优质的产品外,地段也是非常关键的因素。

而大华公园柏翠的地段,有几个关键词:

静安400米!

大华公园柏翠距离静安区只有约400米左右的直线距离,是整个宝山距离中心城区最近的新房。

加上周边1号线、18号线、南北高架等城市主动脉的加持,整个大华公园柏翠去哪儿都方便。

大华公园柏翠售楼处电话:400-8377-020

大宁市北高新产业区外溢首站!

市北高新以数字经济全生态+数据要素创新等产业形态,与张江科学城 (硬科技) 、漕河泾 (电子信息) 形成错位竞争.

其能级位居上海中心城区科技园区第一梯队,更是上海数字化转型的核心引擎之一。

要知道,在漕河泾的辐射下,像闵行七宝、徐汇长桥都已经是千万级的置业区了。

而大宁这两年不断加码,区域内的新房目前放风价已经来到了约16万+的水平, 作为大宁下一站,大华公园柏翠已经周边未来的发展,更是潜力十足!

大华公园柏翠售楼处电话:400-8377-020

商业、教育、生态不断落地!

当然,产业利好外溢是一方面,打铁还需自身硬,整个大华公园柏翠周边的居住价值,同样在不断升温。

商业方面,项目不仅近邻宝山万达,东侧一街之隔规划有约2.5万平方米商业综合体 ,繁华生活咫尺之间。

教育方面,大华公园柏翠南侧九年一贯制公办学校 已经在建,未来的学府氛围将非常浓厚。

免责声明: 以上教育资源整理仅代表楼盘与学校的距离,该房屋所在项目暂未划分学区,开发商不对项目交房后所属学区、学校做任何承诺。教育资源分配或学校/学区划分以及学校的具体招生规则等请以政府相关主管部门、教育机构公开的最新信息为准。

生态方面,西南两侧还有规划的大体量生态绿化 。

最后,大华公园城市前期千人摇号的一二三期均已交付入住,整个大社区的居住环境、氛围已经非常浓郁。四期大华公园柏翠这个王冠之上的作品一旦交付,即刻就能享受生活。

这个地段,不管是从交通、产业、配套还是生活环境来看,都是无懈可击的。是约500万+起能买到的,最好的地段!

三大利好加持

约500万+起的价格,真的错过就不再有

宝山其实从去年南北转型开始,就展现出了完全不同以往的发展势头来。

对于大华公园柏翠而言,周边更是三大利好加持:

中环北抬箭在弦上!

军工路快速路新建工程预计今年年内完工,意味中环北抬今年将迈出重要一步。

而长江西路快速路已被列入2025年上海市重大工程清单,预计即将开工。

一旦落地,大华公园柏翠就真的是中环内的新房了!

大华公园柏翠售楼处电话:400-8377-020

“一江两河”的城市脉络,正在孕育!

一江一河作为上海的顶层规划风光无限,但同样作为上海三大干河之一的蕴藻浜却一直默默无闻。

直到2024年,宝山公示了《吴淞江-蕰藻浜沿线地区专项规划》 ,上海北部这条主干河道的开发建设提上日程!

上海,有望从现在的“一江一河”,发展成为“一江两河”!

而蕰藻浜就在大华公园柏翠北侧 。

将规划整体打造一条蓝绿交织、清新明亮、连湖串链、通江达海和水韵特色鲜明、创新功能集聚、滨水活力彰显的上海大都市江南水廊发展带,体现中华风范、江南风光、创新风尚。

大华公园柏翠售楼处电话:400-8377-020

图片来源网络

蕰藻浜将于黄浦江、苏州河一同组成钻石三角,支撑起上海的顶层规划。

而大华公园柏翠所在的位置,正好是蕴藻浜和东茭泾组成的t字水网,步行范围内遍布公园、河道,生态居住氛围浓郁。

最后,还有一点,就是:大场机场的搬迁!

总结一下,以大华公园柏翠为核心,周边聚集了宝山最重要的科创产业、资源能级。

同时,项目又是整个北中环距离静安、大宁,以及上海主动脉南北高架更近的项目。

大华公园柏翠售楼处电话:400-8377-020

示意图

可以预想到,未来以项目为中心,周边未来聚集的高薪产业、高知人口以及城市菁英不计其数。

而大华公园柏翠遥遥领先的产品力,未来将吸引这些改善置业客户的不断追逐,直至将其顶上北境之王的价格和地位。

这样的潜力和未来预期,是其他单核发展的板块所无法比拟的。

声明:本文由入驻焦点开放平台的作者撰写,除焦点官方账号外,观点仅代表作者本人,不代表焦点立场。