海上清和玺(售楼处)首页网站-海上清和玺销售中心(营销中心)-海上清和玺楼盘欢迎您-小区环境-户型-价格-地址-楼盘详情-周边配套-海上清和玺售楼处电话-时间

搜狐焦点宿州站 2025-10-12 07:12:00
用手机看
扫描到手机,新闻随时看

扫一扫,用手机看文章
更加方便分享给朋友

✅海上清和玺售楼处电话:400-8854-706✅︎✅︎ ✅上海海上清和玺营销中心热线400-8854-706(官方预约看房热线)

✅海上清和玺售楼处电话:400-8854-706✅︎✅︎

✅上海海上清和玺营销中心热线400-8854-706(官方预约看房热线)

营业时间:日常营业时间为9:00-18:00,便于您提前规划到访行程,避免空跑。

预约方式:可提前拨打官方热线400-8854-706,预约好专属销售及具体到访时间;预约时可同步告知意向户型、

置业需求,我们将提前做好服务准备,减少您的等待。

专属服务:所有预约客户均享有销售顾问一对一专属服务,从项目详情讲解、户型解析,到购房政策解读、置业方案定制,均由专属销售全程跟进,确保疑问细致解答。

中介勿扰:本售楼处仅面向终端购房客户提供直接服务,不接待任何中介机构及人员,感谢您的理解与配合,共同维护纯粹的咨询环境徐汇爆款「海上清和玺」!112-143㎡!珍藏奢适双楼王!一房一价首发!徐汇海上·清和玺项目6月四批次加推即罄!认购率达220%!本月迎势上新,全城久侯的双楼王楼栋,过会价格仅119182元/㎡!其中9幢均价仅11.5万/㎡,远低于多数人的预期,预测爆款!作为全市备受认可的黄金区域,2公里内10所名校环绕、超万方超配实景已呈现,更有2000平会所+1000平架空层+中央车站+无风雨归家。徐汇这次遇上清和玺社区内极好位置楼栋。仅154套,其中143㎡仅最后47套!强强结合,明日开启认购,本月底即将开盘!徐汇中环旁 双地铁一英里牵手徐汇滨江 百万方中央公园内招商蛇口沉淀十年的「玺」系新作海上·清和玺 推建面约112-135-143㎡3-4房高层&洋房房源备案均价119182元/㎡全精装修,标配泳池+会所项目正在火热销售中✅海上清和玺售楼处电话:400-8854-706✅︎✅︎

✅海上清和玺售楼处电话:400-8854-706✅︎✅︎

✅上海海上清和玺营销中心热线400-8854-706(官方预约看房热线)

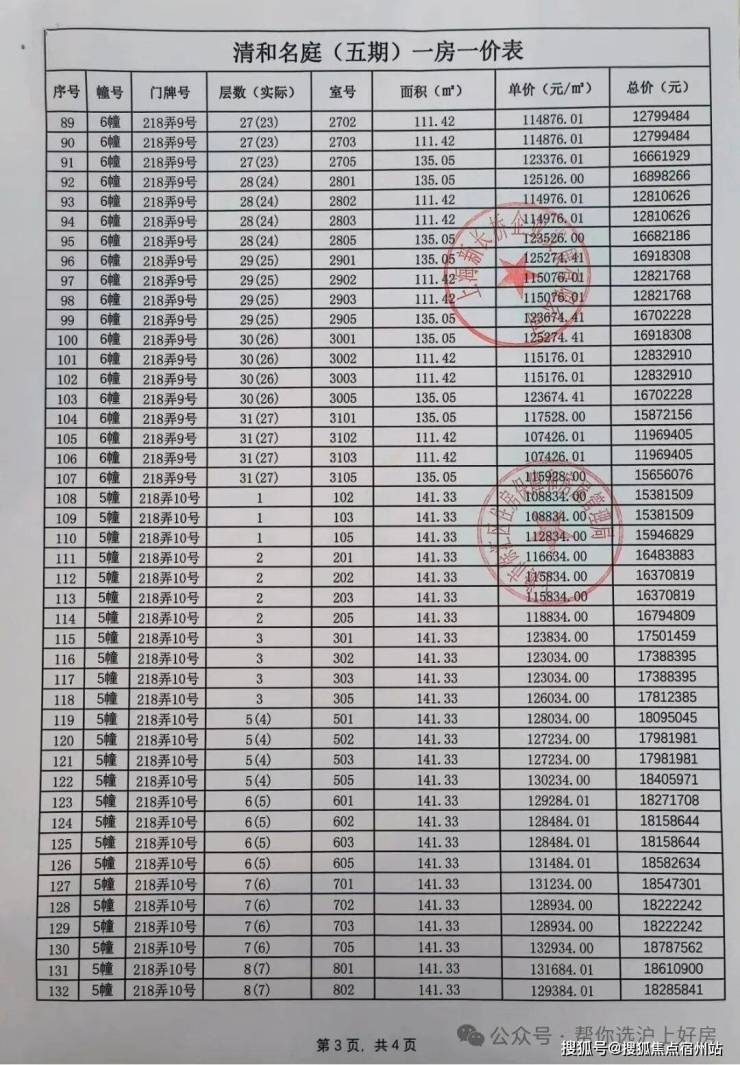
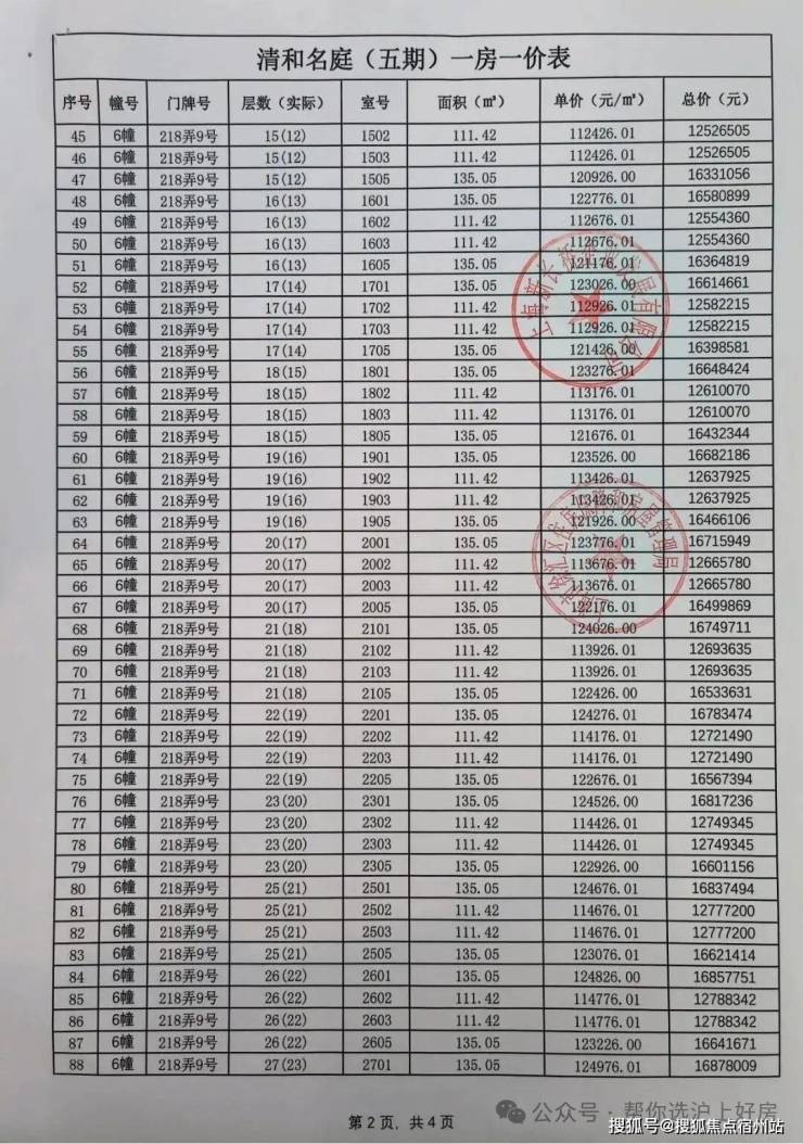
最新一房一价表公示 :

✅海上清和玺售楼处电话:400-8854-706✅︎✅︎

✅上海海上清和玺营销中心热线400-8854-706(官方预约看房热线)

✅海上清和玺售楼处电话:400-8854-706✅︎✅︎

✅上海海上清和玺营销中心热线400-8854-706(官方预约看房热线)

论总价,主力总价段控制在1100-1200万,1250万以内几乎随便挑选;

论单价,大多数房源控制在11万/㎡以内 , 海上·清和玺也是徐汇很长一段时间内仅有的千万级选择,你在对比将来要上市的龙华地块,性价比满满。 约134㎡大三房+约270°飘窗,是徐汇更为珍稀的三房产品, 徐汇后续未必有。即使有,价格大概率将远超现在,感兴趣的小伙伴机遇可能就这么一次,无论如何都要买到手!

✅海上清和玺售楼处电话:400-8854-706✅︎✅︎

✅上海海上清和玺营销中心热线400-8854-706(官方预约看房热线)

海上·清和玺公区从审美、选材用料到工艺等,都领先时代,这不是一个容易复制的产品,而是一个真正为高净值人群量身定制的高端美学作品,背后凝聚开发团队巨大的人力、时间成本。惠房宝总结几点,大家也跟着最新实景图,来看一下项目惊人的兑现力。

1、超50米的气派门庭,焕新徐汇归家仪式感的尺度。 2、社区含“奢材”量很高。

✅海上清和玺售楼处电话:400-8854-706✅︎✅︎

✅上海海上清和玺营销中心热线400-8854-706(官方预约看房热线)

门庭延街的外立面,以精工定制弧形 贝金米黄大理石 为主调,镶嵌典藏级 老虎玉大理石 , 点缀 古铜色现代海派艺术感 灯器,整体呈现出百年海派的贵雅气质。 在门庭的环岛空间,景墙面采用中轴对称的设计布局,定制了 奢石镶嵌装饰 ,将曲面艺术与经典石器之美圆融交融。 预接待厅地面瓷砖采用 威尼斯白 与 爵士白石材拼花 设 计,纯人工铺装保证花纹的奢华质感。

✅海上清和玺售楼处电话:400-8854-706✅︎✅︎

✅上海海上清和玺营销中心热线400-8854-706(官方预约看房热线)

甚至壁面装饰的水晶灯,都选用高规格的E9级进口水晶制作。 3、海上·清和玺的空间不是简单的功能间,而是化身艺术空间。

在酒店式归家环岛中心,海上·清和玺原创了艺术装置——海派漩心。

首创经典山茶花图腾设计,其灵感源于海派建筑中的山茶花图腾,其采用了 300余枚鳞片定制,超过2000次折叠锻造, 最终才营造出眼前这般美轮美奂的冰裂纹视觉图样。 中庭大门设计为“海派光厅”,其玻璃镜面由匠人手工绘制经典海派线条,邬达克经典的纹路设计嵌于表面,同时墙面定制 优雅的奢石装饰, 整个空间既奢华又富有底蕴。4、不仅是金钱上的奢侈,更是时间广度的奢侈。

比如,整个下沉式庭院材料选用 土耳其进口老虎玉,由匠人耗时60天手工打磨定制, 可见海上·清和玺对业主归家仪式感设计的用心与苛求。

海派光厅之外归家迎宾树木更是由设计师 辗转多个城市才寻到的、树龄超60年的福木“紫薇”。 地上空间的美学感受随着车行归家动线也延伸到了地下,海上清和玺的地下车库,不仅精装交付,还首次提出 “中央车站” 概念。 作为地下的驱车通道,本身也是整个空间的枢纽平台,连通海派会所、地下庭院,高效抵达的同时,保证了业主的私密性,营造独一份的尊崇体验。

✅海上清和玺售楼处电话:400-8854-706✅︎✅︎

✅上海海上清和玺营销中心热线400-8854-706(官方预约看房热线)

此外,海上·清和玺将奢宅的功能充分融入空间思考, 留有专属的访客车位,私人司机休憩室、VIP业主洗车等。 在场域设计中,空间展开成星级酒店式、可社交的中央场所,访客和业主可实现无界的会所观赏和交互。

“中央车站”的出现,打破了原有车行通道的理念,让空间更像一个可以短暂停留的开放式空间。

而在公区配置上, 我认为项目可以标上海顶级豪宅。

比如,全域风雨连廊!

海上·清和玺将风雨连廊扩容为一个完整的归家体系,将整个社区以约 500米全域连廊体系贯通, 真正做到全楼栋无风雨归家。 比如,垂直会所体系!

在海上·清和玺,招商蛇口首次提出 “垂直会所体系” 的空间布局设计,将原本扁平式的功能布局以立体的方式重新构建,实现复合空间的多元利用。

其中会所及架空层总体量约3000㎡ , 如此大规模的定制,在整个上海高阶产品中同样也是超前列的存在。 约2000㎡地下会所内含 璀璨星空顶泳池、私宴厅、室内高端健身器材 (沃特罗伦或同等档次品牌)甚至 高尔夫场所 (高尔夫尊或同等档次品牌) 。还有七大泛会所,作为业主生活的延伸。 甚至项目在软实力上也卷到了天际, 物业采用金玺服务 ,以8S至高玺系服务标准,一栋一管家,包含快递、外卖送上门,垃圾上门回收等服务细节。

✅海上清和玺售楼处电话:400-8854-706✅︎✅︎

✅上海海上清和玺营销中心热线400-8854-706(官方预约看房热线)

✅海上清和玺售楼处电话:400-8854-706✅︎✅︎

✅上海海上清和玺营销中心热线400-8854-706(官方预约看房热线)

02.推售信息

海上·清和玺预计3批将推出建面112㎡和134㎡的3房。

从定价来看, 约112㎡给足了诚意,严控价格!

论总价,主力总价段控制在1100-1200万,1250万以内几乎随便挑选;

论单价,大多数房源控制在11万/㎡以内 , 海上·清和玺也是徐汇很长一段时间内仅有的千万级选择,你在对比将来要上市的龙华地块,性价比满满。 约134㎡大三房+约270°飘窗,是徐汇更为珍稀的三房产品, 徐汇后续未必有。即使有,价格大概率将远超现在,感兴趣的小伙伴机遇可能就这么一次,无论如何都要买到手!

✅海上清和玺售楼处电话:400-8854-706✅︎✅︎

✅上海海上清和玺营销中心热线400-8854-706(官方预约看房热线)

整体而言,无论是三口之家还是三代同堂,都能在这里找到属于自己的幸福空间。

「约112㎡ 3房2厅2卫」

✅海上清和玺售楼处电话:400-8854-706✅︎✅︎

✅上海海上清和玺营销中心热线400-8854-706(官方预约看房热线)

先来看下建面约112㎡创意展示空间👇

入户这座铸铝门,质感厚重;通顶玄关柜,内置消毒精灵,奢石把手+奢石台面更显海派温润气质,玄关地面都铺上了海上·清和玺的logo拼花,小小玄关做到了既实用又美观。

进门可以看到经典的S墙设计,L型厨房操作台面,也是暗藏不少细节——玻璃移门采用完美系列夹丝玻璃+金属造型边框,顶部配置线性凉霸+LED嵌入式回形灯带+筒灯,灶台后侧采用大面积岩板铺设,方便清洁的同时显得厨房更加大气。厨电配置了德国厨房顶奢品牌博世(或同等档次)四件套抽烟机+燃气灶+洗碗机,带末端净水器,弗兰卡(或同等档次)大单槽+可抽拉龙头,冰箱也是交付的!柜门白色烤漆面板,抽屉分区也都是帮大家细致划分,如多功能调味拉篮+谷物抽+碗碟拉篮等。岛台上配置可升降插座,铝合金抽屉,石材背景板的金属开放格实用性很强。电视背景墙采用卡慕白的石材+皮革造型,弧形吊顶,相当讲究,连空调出风口的形状都打造为海上·清和玺logo山茶花的形状~~三大件为大金(或同等档次)中央空调和地暖,新风系统为百朗(或同等档次),南向阔景阳台,采光视野一级棒!

✅海上清和玺售楼处电话:400-8854-706✅︎✅︎

✅上海海上清和玺营销中心热线400-8854-706(官方预约看房热线)

主卧套房设计,皮革造型的床背景墙也是交付标准,台盆为唯宝(或同等档次)、龙头则为科勒(或同等档次)复古龙头,马桶为高仪智能马桶(或同等档次)。

✅海上清和玺售楼处电话:400-8854-706✅︎✅︎

✅上海海上清和玺营销中心热线400-8854-706(官方预约看房热线)

奢石台面,皮革饰面柜抽屉,侧端设置金属收纳开放格;定制镜柜,中间的透光玉石直接提升了高级感,镜柜内部配备了美妆冰箱+美妆灯条+轨道收纳!

✅海上清和玺售楼处电话:400-8854-706✅︎✅︎

✅上海海上清和玺营销中心热线400-8854-706(官方预约看房热线)

建面约134㎡3房2厅2卫,主力总价约1500-1700万,户型设计在上一个户型的基础上将各功能间尺度升级的同时,也做了一些更人性化的迭新。

主卧约270°L形飘窗设计,将窗外的美景尽收眼底,注重美观的同时,也兼顾了实用性与舒适性,让业主在繁忙的生活中也能享受到宁静与安逸。

客厅面宽约5.2米,横厅般的尺度及采光享受,使得整个空间显得格外宽敞明亮。

厨房与餐厅通过岛台相连,不仅实现了空间的流畅过渡,更彰显了豪宅的非凡尺度。

「约134㎡ 3房2厅2卫」

建面约134㎡大三房的整体空间感更强,客餐厅一体化设计,厨房也预留了岛台位置,客厅南向面宽超过5.2米,外接阔景阳台,尺度阔绰!

主卧面宽超3.6米,并别出心裁地打造了270°转角窗,拥有两面转角玻璃采光,带来奢阔的环景视野!

✅海上清和玺售楼处电话:400-8854-706✅︎✅︎

✅上海海上清和玺营销中心热线400-8854-706(官方预约看房热线)

城央核心区、百年海派人文、绝对的性价比优势......海上·清和玺,不仅仅是一座居所,更是一种生活方式的全方位升级。177m2艺术贵雅奢邸是海上·清和玺压轴力作,延续玺系经典的设计理念和思路,阔朗的四面大开间设计,客厅做到了大横厅设计,延续了曲面流体的阳台,并赠送了独具特色的阳台迷你花园。

整体动线依然选用了动静分离的高效率归家生活设计,双套房设计,保证家人居住的私密性,将用户居住的体验细节做到了更细微的层次。

前所未及的超大尺度,结合曲面的艺术设计,使得整个室内的居住品质得到了质的飞跃!功能区的设计也充满了人本的细节设计和思考,阔朗的超大厨房设计,定制岛台,升降式插座,实现大家族式的社交式烹饪。

03.版块信息

今年的高端住宅市场,价格可谓是一节更比一节高!

1. 同属于徐汇滨江板块内:

招商汇元玺,联动价13.4万,入围积分112.8;

中海项目,联动价14.2万/㎡,最新批次预估2600万起;

香港置地项目,联动价17.8万/㎡,戳破上海目前最高备案均价,仅2小时售罄;

而即将取证入市,同处徐汇滨江高质量滨江发展带的海上·清和玺联动价仅约11万+/㎡!

2. 从环线来看,新房成交总价也在逐步提高!

今年内环内成交套均总价已高达3100万/套,内中环也在2081万/套!(来源于中原地产研究)

而位处徐汇滨江,紧贴着中环的海上·清和玺总价仅约1000万起!实在是让人惊喜!

3. 更关键的是,这样的机遇未来再难有!

世界级滨水区 上海新“白月光”

回溯2020年至今,徐汇滨江的新房共有14次推盘,其中13次日光!10次认购都超250%!并出现5次“千人摇”!这样的战绩,放眼全市所有板块,都是独一份!

究其原因?

其一是其远瞻世界的战略规划!

从中华百年民族工业摇篮到“上海2035”中央活力区规划承载区!

10年前如果你提到上海的黄浦江S湾,所有人都知道你说的是黄浦滨江。

而现在如果你提到上海的黄江S湾,大部分人都认为你说的是徐汇滨江!

如果说过去所规划的六个百万方组团是以高能级产业为核心的“城市基底”!是徐汇滨江的1.0阶段!

✅海上清和玺售楼处电话:400-8854-706✅︎✅︎

✅上海海上清和玺营销中心热线400-8854-706(官方预约看房热线)

如今的第七大组团“中央公园”则是徐汇滨江真正跨向“世界级滨水区“的又一重要组成部分!

中央公园占地面积约105万㎡,未来,这里将打造大面积的生态公园、住宅及商业,龙吴路上或将建设一座观景桥梁,串联植物园与滨江地带,未来有望成为一大网红打卡点。

以上海植物园为卯点(未来或将围墙打开变身徐汇中央公园),未来第七大组团将无界链接城市生态资源,促进徐汇滨江与城区无界融合、兑现徐汇滨江的高质量发展!

海上·清和玺就在这第七大组团的核心位置!

最重要的是,这一规划离我们并不遥远!随着数智中心的出让完成,七大产业组团中的四个载体已完成了招商!一个上海前所未有的“西岸宇宙”已然形成!

只能说,徐汇区作为上海各区中的“尖子生”,兑现能力实在是太强了!

其二是因为这里是一个极其具备艺术气息且充满活力的精英社区!

这里是我心目中的,超越老静安的新“白月光”!

TA给我的感觉,真的很像美国纽约的长岛,同样的滨江,同样的拥有众多美术馆...

抛开这里众多的亚洲超高密度艺术区的众多艺术场馆配套以及得天独厚的滨江公共配套,这里给我的感受更多是来自于居民本身的!

✅海上清和玺售楼处电话:400-8854-706✅︎✅︎

✅上海海上清和玺营销中心热线400-8854-706(官方预约看房热线)

数次到访徐汇滨江,喜欢这里的每一个人的活力,他们会滑板、遛狗、跑步,没有很夸张的造型且很有礼貌!

最重要的是,他们的这些行为并不是为了拍照发个朋友圈,而是他们真实的日常生活态度!

这是一个在我看来全上海范围内最独特、独立的板块!

也正因为这些物以类聚人以群分的板块,就算很多不是从小生活在这块土地上的新居民,他们、或是他们的孩子都给我一种“好人家教出来”的感受!

论板块潜力、实力,或是居住环境!

海上·清和玺所在板块是我认为上海所有板块中的第一梯队!

这也是为什么,早些年各大名流爱买陆家嘴、豫园板块的豪宅,而现在不少明星艺人都偏爱买徐汇滨江豪宅的原因!

✅海上清和玺售楼处电话:400-8854-706✅︎✅︎

✅上海海上清和玺营销中心热线400-8854-706(官方预约看房热线)

优质教育环绕 徐汇中央公园加持

作为整个徐汇滨江由北向南的中部关键节点和上海“公园城市”示范区,海上·清和玺所在的第七大组团有着众多优渥配套的“先天优势”!

项目紧邻徐汇中环,直线距离徐汇滨江约800多米,直线距离北杨人工智能小镇约700多米,直线距离上海植物园400多米,直线距离前滩约1.7公里。

✅海上清和玺售楼处电话:400-8854-706✅︎✅︎

✅上海海上清和玺营销中心热线400-8854-706(官方预约看房热线)

本身地理位置就足够优秀!

而最让人无法抗拒的是,这里还是优秀的“文教区”!

有多优秀呢?说出来有点夸张!

上海中学:创始于1865年,上海NO.1学府!四校之首!清北复交梦中情校!

身边一个朋友,就是上中→清华→哥大,现在看他朋友圈,每天不是在香港,就是在新加坡,要不然就在欧洲度假。

放眼上海,多少家庭的梦想就是上海中学?

【海上·清和玺】上海中学一街之隔,这种从小熏陶、激励的力量,不言而喻!

此外,周边上实附小、上海小学、逸夫小学等环伺,懂的都懂!

*本资料宣传对项目周边幼儿园、学校等教育资源的介绍旨在提供相关信息,并不意味着本公司对就学安排作出承诺。教育资源的名称、办学性质、办学规模、学位设置、开学(班)时间、招生条件、收费标准及招生区域存在调整的可能,应以政府教育主管部门及办学方颁布的政策规定为准。

有这样的优质教育资源环绕,海上·清和玺可谓是“赢在了起跑线上!”

除此之外,项目的交通配套也极为优秀!

上海南站,未来虹桥之后的第二大城市枢纽。未来改建完成后将与上海东站和虹桥站连接,成为上海市第二大枢纽站!(来源于:上观新闻)

日常出行更有15号线、23号线(在建)双轨交通达!快速来往于市区各核心商圈!

✅海上清和玺售楼处电话:400-8854-706✅︎✅︎

✅上海海上清和玺营销中心热线400-8854-706(官方预约看房热线)

也可通过中环高速轻松链接上海高速路系统,便捷通达前滩、徐家汇核心圈,直线距离约50米即可抵达!

商业及医疗配套方面,徐汇万科广场、前滩太古里、华之门等高端商业综合体环绕周边,还有上海市第六人民医院、第八人民医院等三甲医院!

中环旁,徐汇滨江板块!徐汇中央公园旁!是项目成为市区火热板块的底气!

徐汇中环旁 双地铁一英里牵手徐汇滨江 百万方中央公园内招商蛇口沉淀十年的「玺」系新作

海上·清和玺 推建面约112-135-143㎡3-4房高层&洋房房源备案均价119182元/㎡全精装修,标配泳池+会所项目正在火热销售中✅海上清和玺售楼处电话:400-8854-706✅︎✅︎

✅上海海上清和玺营销中心热线400-8854-706(官方预约看房热线)

声明:本文由入驻焦点开放平台的作者撰写,除焦点官方账号外,观点仅代表作者本人,不代表焦点立场。