2025招商林屿湖畔售楼处电话-招商林屿湖畔销售中心(售楼处)招商林屿湖畔欢迎您-地址-价格-户型-小区环境-楼盘详情-交房时间-周边配套-售楼处电话
扫描到手机,新闻随时看
扫一扫,用手机看文章
更加方便分享给朋友
上海-招商·林屿湖畔售楼处电话:400-833-6309(官方售楼处电话)
招商·林屿湖畔售楼处电话☎:400-833-6309(预约看房热线)
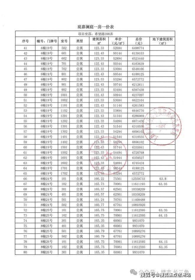
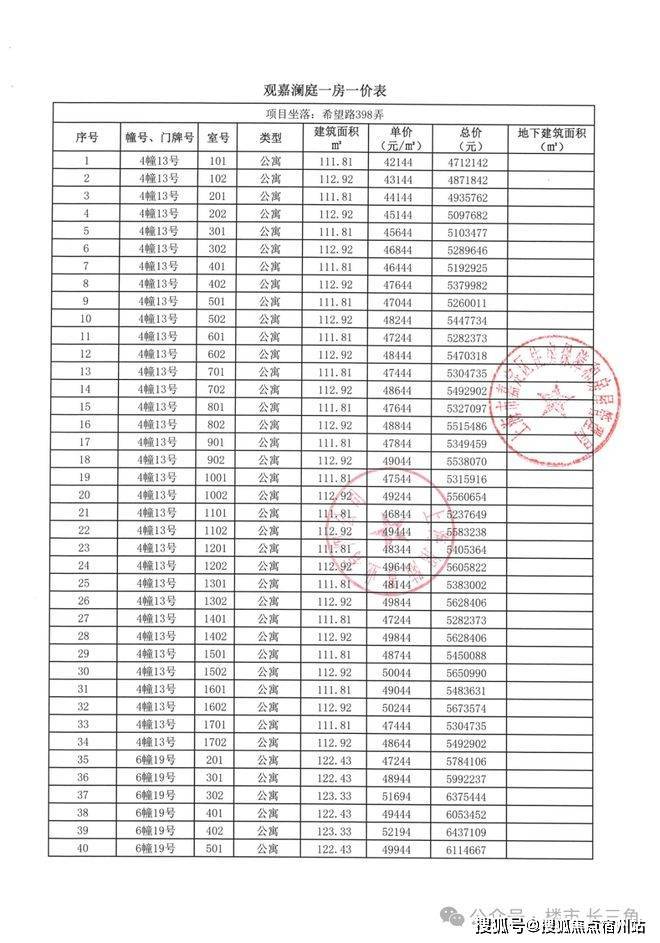
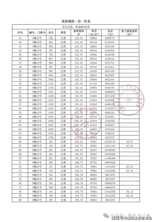
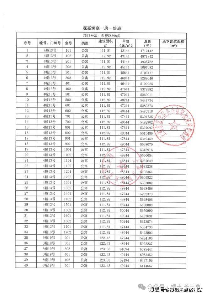
嘉定积分红盘——招商·林屿湖畔三批次正式取证!24日启动认筹,本月底正式开盘!本批次最值得期待的建面约160-165㎡叠墅产品新品首开,同时下叠的创意展示空间也将在24日(周五)开放亮相,纯正湖岸生活的叠墅空间千呼万唤始出来!同时,还有34席建面约112㎡及31席建面约122㎡ 改善三房加推。
林屿湖畔,登场即高光,首开34分钟130套热罄!二开30分钟62套告罄!二开二罄的抢购热势,远香湖4.0湖居奢宅,不断刷新嘉定板块新房市场!
封藏远香湖头排湖居,三批次再度高燃返场!建面约160-165㎡叠墅、建面约112-122㎡三房,三大产品线迭代嘉定改善,共沐荣光,共赴诗意生活!
招商·林屿湖畔售楼处电话☎:400-833-6309(预约看房热线)
林屿湖畔建面约160-165㎡叠拼户型,堪称湖居生活的真正范本。不论是外观立面、采光视野,或者空间格局、拓展使用率,均体验了招商蛇口对新一代墅境生活的考究。招商·林屿湖畔售楼处电话☎:400-833-6309(预约看房热线)
游艇风建筑立面湖畔美学地标
建筑外观以全流线“游艇风设计”为灵感,通过L形与C形线条交织,勾勒出多层级玻璃立面与香槟金铝板基座。招商·林屿湖畔售楼处电话☎:400-833-6309(预约看房热线)南向视野平权设计打破传统叠墅视野壁垒,令上、中、下叠均享无遮挡南向景观,更通过多面采光井将阳光与景致引入地下,实现“光感空间革命”。招商·林屿湖畔售楼处电话☎:400-833-6309(预约看房热线)
奢阔楼间距最佳观景视野
本次推出的8号楼叠墅房源占位社区核心位置,拥有优质景观界面,紧邻公共绿地与蜿蜒河道。通过“高低配”布局实现独立墅区规划,与会所、儿童活动区等动态功能互不干扰。招商·林屿湖畔售楼处电话☎:400-833-6309
叠墅区享有约23米的超阔楼间距,尺度甚至媲美市场其他小高层项目,确保了极致的私密、采光与视野。
招商·林屿湖畔售楼处电话☎:400-833-6309
领先级户型设计罕见空间尺度
多面宽+多套房+多飘窗+多拓展!林屿湖畔湖前叠墅,高窗墙比让视野更通透。更大的面宽和更多飘窗,让观景视野更加朗阔。
上叠拥有高实用的顶楼露台,品茗阅读、儿童娱乐,夜晚看向满天星光,为生活提升更多美好想象。招商·林屿湖畔售楼处电话☎:400-833-6309
中叠享有难得一见的5面宽奢阔尺度,是嘉定乃至整个上海都少有的宽幕尺寸。飘窗与阳台,为室内创造更多阳光与清风。在舒适的格局下,享受更多空间的探索。招商·林屿湖畔售楼处电话☎:400-833-6309
下叠户型,比同类产品更多飘窗,南向开阔尺度,更多采光面拓展;地下自由拓展区域,依托采光井设计实现良好采光,实现未来家庭的影音室、健身房、儿童活动区等功能空间,拓展居住使用场景。
大幅可拓展空间给生活更多可能
林屿湖畔叠加产品的可拓展空间,是献给墅居玩家的高进阶选择。
·建面约160㎡上叠 | 瞰景露台的宽境生活
上叠户型预计使用率最高约145%,拥有双阳台双露台、南北通透主卧套房。(非得房率,最终房屋得房率以实测报告为准)
建面约160㎡上叠户型预计使用率最高约145%。(非得房率,最终房屋得房率以实测报告为准)招商·林屿湖畔售楼处电话☎:400-833-6309
最大约5.9m双阳台阔厅;首层拥有约3.3米层高,南北双露台、南北通透主卧套房。
顶楼半坡空间,最高层高约2.2m。拥有独立玄关和观景外廊双重归家礼序。
招商·林屿湖畔售楼处电话☎:400-833-6309
·建面约165㎡中叠 | 扩尺面宽的适逸人生
中叠户型预计使用率最高约95%,罕见5面宽、尊享通透双套房,最大18.4米南向面宽。(非得房率,最终房屋得房率以实测报告为准)
建面约165㎡中叠户型预计使用率最高约95%。(非得房率,最终房屋得房率以实测报告为准)
罕见5面宽、全景画框式开间,最大面宽约18.4米(边套),横厅约8.5米。双阳台与大飘窗,朗阔视野满足瞰景。
约3.1m层高优越空间,独立前厅归家。尊享通透双套房,边套享270°主卧转角视野。
招商·林屿湖畔售楼处电话☎:400-833-6309
·建面约165㎡下叠 | 通透采光的垂直空间革命
下叠户型预计使用率最高约148%,拥有地下室三面采光、LDKG双入户流线、南北通透主卧套房。(非得房率,最终房屋得房率以实测报告为准)
建面约165㎡下叠户型预计使用率最高约148%。(非得房率,最终房屋得房率以实测报告为准)
LDKG一体化格局,约5.9m横厅搭配270°全景飘窗,最大约10.9米三面宽采光。
首层约3.3米层高,南北双入户系统。
同时拥约5.4米,美术馆级别层高的地下室,三面透光界面,超高实用性的垂直空间资产。招商·林屿湖畔售楼处电话☎:400-833-6309
招商·林屿湖畔售楼处电话☎:400-833-6309
招商林屿湖畔叠墅,不仅是湖居的代表,更是一场关于“下一代墅居”的启示。
真湖墅生活,只此林屿湖畔。
2025嘉定首个积分红盘招商·林屿湖畔,凭借着无可比拟的远香湖CAZ占位,丰沛生活大境,城市嘉定改善家庭争相封藏的优质产品。
沪上网红图书馆、保利大剧院、招商·林屿湖畔售楼处电话☎:400-833-6309五星级凯悦酒店、宝龙广场、万达广场,在建的砂之船超级奥莱、瑞金医院北院(三甲)、嘉定妇幼保健院(二甲)、紫气东来公园等高等级公共服务设施。
还有备受关注的教育资源——上海市实验学校(嘉定新城分校)。这是位列三公之首的上海市实验学校,在外环外开的唯一一所分校,也是嘉定为数不多的九年一贯制公办,已于去年9月正式开学。
上海交大附属嘉定实验学校,嘉定最大规模名校,也于今年9月启用,办学规模为72班九年一贯制。招商·林屿湖畔售楼处电话☎:400-833-6309
除此之外,近期有曝出上实嘉定高中部也已宣布进入筹建阶段。(信息来自:南翔生活网)
除了浓郁的烟火气,林屿湖畔的核心优势还有很多。是真正嘉定最值得上车的改善产品:
·臻贵地脉:外环外唯一CAZ——远香湖CAZ核心区,大型商业、顶级教育、高端医疗、丰富烟火……生活配套资源丰盈堪比城心;
·最后宅地:远香湖十年留白的最后一块宅地,不可复制的地脉,不可复制的产品,封藏最后一席湖居宅邸;
·嘉定首见:招商“首席设计顾问制”,匠心营建的嘉定首见的产品力,实景兑现迭代墅境湖居生活;
·王牌改善:外环外仅有的建面约112㎡入门纯粹生活圈的初代改善户型,122㎡二开二罄的臻贵改善,三批次即将再度加推。
·建面约112㎡ 三室两厅两卫 | 拥有核芯CAZ的初代改善
约3.1米层高、约83%-85%使用率与三开间朝南的飞机户型,270°飘窗(边套)、LDBK一体化及全屋空间平权设计。(非得房率,最终房屋得房率以实测报告为准)招商·林屿湖畔售楼处电话☎:400-833-6309
招商·林屿湖畔售楼处电话☎:400-833-6309
【建面约112㎡户型亮点】
LDBK一体化:餐客厨与阳台相连,通透全明格局,聚纳生活欢愉
高拓空间:独立L型玄关柜,预留超长餐边柜,进阶生活尺度
U型厨房空间:厨房借飘窗位,操作台面的宽度,舒展生活的温度
行政级套卧:主卧奢享步入式衣帽间,独立沐浴,犒赏家族起居
多飘窗设计:灵动飘窗空间,给全家人奢适,升华起居品位
·建面约122㎡ 三室两厅两卫 | 满足家庭生长的全龄改善
约3.1米层高、约84-88%高使用率及全屋极致收纳系统,LDK一体化宽厅、270°转角飘窗及公私分区设计招商·林屿湖畔售楼处电话☎:400-833-6309(非得房率,最终房屋得房率以实测报告为准)
招商·林屿湖畔售楼处电话☎:400-833-6309
【建面约122㎡户型亮点】
开创式空间:层高跨代创新约3.1m,全飘窗与双门厅设计、可使用率(非得房率)约84-88%
高拓空间:全明户型,南北通透、客餐分离,能够容纳1.2m直径圆桌、餐边柜等家庭聚会需求
宽景视野:超长面宽,搭配大面积玻璃窗,营造环幕景观视野
奢尺宽厅:约5米开间LDK一体化设计,与阳台充分融合,双动线客厅,照顾家庭全龄段体验招商·林屿湖畔售楼处电话☎:400-833-6309
社交厨房:开放式U型厨房设计,宽奢尺度厨房操作台,让烹饪成为情感交流的舞台
套房主卧:约80cm宽飘窗,边套享270°转角飘,预留2个衣柜空间,满足奢华生活方式
极致收纳:122㎡户型全屋交付收纳量达8.2m³,约等于205个20寸行李箱的收纳空间
招商·林屿湖畔售楼处电话☎:400-833-6309
居于林屿湖畔,不仅居住在标定嘉定新一代人居标准的空间,一座诗意静谧的嘉定首见的峡谷意境立体庭院,更将湖居墅境的至臻生活慢慢铺设。
社区入口设计了约87米超长全弧形艺术门庭,归家大堂采用约13.7米的双层挑空设计,灵感源自豪华游艇的甲板,营造出强烈的归家仪式感和尊贵体验。
招商·林屿湖畔售楼处电话☎:400-833-6309
招商·林屿湖畔售楼处电话☎:400-833-6309
招商·林屿湖畔售楼处电话☎:400-833-6309
峡谷式垂直庭院,拥有约420㎡的立体下沉庭院和4.3米高的飞瀑悬池,形成一座兼具视觉震撼与心灵疗愈的“漂浮绿洲”。招商·林屿湖畔售楼处电话☎:400-833-6309
招商·林屿湖畔售楼处电话☎:400-833-6309
招商·林屿湖畔售楼处电话☎:400-833-6309
招商·林屿湖畔售楼处电话☎:400-833-6309
项目规划了约1200㎡的下沉式会所和约1700㎡的架空层空间,共同构成“双引擎圈层主场”。内部引入了嘉定首个国标壁球馆和美国沃特罗伦主题健身房,还配备了私宴厅、瑜伽室等多元空间,满足业主的健身和社交需求招商·林屿湖畔售楼处电话☎:400-833-6309
招商·林屿湖畔售楼处电话☎:400-833-6309
招商·林屿湖畔售楼处电话☎:400-833-6309
招商·林屿湖畔售楼处电话☎:400-833-6309
招商·林屿湖畔售楼处电话☎:400-833-6309
林屿湖畔,嘉定积分红盘,自招商·林屿湖畔售楼处电话☎:400-833-6309登场即备受瞩目。二开二罄的热绩是卓越产品与人气所向的最好印证。
三批次推出房源89套,建面约112-122㎡湖居三房及建面约160-165㎡湖畔叠墅,其中8#叠墅楼王首度面世!
10月24日,三批次认购盛启暨叠墅创意展示空间开放!
不是所有湖墅都叫林屿!封藏远香湖头排墅境奢宅,不可错过的湖前生活,只此湖墅!
进行官方线上预约通道尊享团购优惠
招商·林屿湖畔售楼处电话☎:400-833-6309
上海-招商·林屿湖畔售楼处电话:400-833-6309(官方售楼处电话)
招商·林屿湖畔售楼处电话☎:400-833-6309(预约看房热线)
嘉定积分红盘——招商·林屿湖畔三批次正式取证!24日启动认筹,本月底正式开盘!本批次最值得期待的建面约160-165㎡叠墅产品新品首开,同时下叠的创意展示空间也将在24日(周五)开放亮相,纯正湖岸生活的叠墅空间千呼万唤始出来!同时,还有34席建面约112㎡及31席建面约122㎡ 改善三房加推。
林屿湖畔,登场即高光,首开34分钟130套热罄!二开30分钟62套告罄!二开二罄的抢购热势,远香湖4.0湖居奢宅,不断刷新嘉定板块新房市场!
封藏远香湖头排湖居,三批次再度高燃返场!建面约160-165㎡叠墅、建面约112-122㎡三房,三大产品线迭代嘉定改善,共沐荣光,共赴诗意生活!
招商·林屿湖畔售楼处电话☎:400-833-6309(预约看房热线)
林屿湖畔建面约160-165㎡叠拼户型,堪称湖居生活的真正范本。不论是外观立面、采光视野,或者空间格局、拓展使用率,均体验了招商蛇口对新一代墅境生活的考究。招商·林屿湖畔售楼处电话☎:400-833-6309(预约看房热线)
游艇风建筑立面湖畔美学地标
建筑外观以全流线“游艇风设计”为灵感,通过L形与C形线条交织,勾勒出多层级玻璃立面与香槟金铝板基座。招商·林屿湖畔售楼处电话☎:400-833-6309(预约看房热线)南向视野平权设计打破传统叠墅视野壁垒,令上、中、下叠均享无遮挡南向景观,更通过多面采光井将阳光与景致引入地下,实现“光感空间革命”。招商·林屿湖畔售楼处电话☎:400-833-6309(预约看房热线)
声明:本文由入驻焦点开放平台的作者撰写,除焦点官方账号外,观点仅代表作者本人,不代表焦点立场。
